Upregulation of PCAT1, PCAT2, and PCAT3 LncRNAs in cervical cancer patients and their diagnostic value.

IF 1.7 Q2 MULTIDISCIPLINARY SCIENCES
Hadi Bazmi, Asma Alizadeh Asghari, Mahya Barzgar Jalali, Leila Rezvan, Fateme Panahi Zang Malek, Reza Safaralizadeh
{"title":"Upregulation of PCAT1, PCAT2, and PCAT3 LncRNAs in cervical cancer patients and their diagnostic value.","authors":"Hadi Bazmi, Asma Alizadeh Asghari, Mahya Barzgar Jalali, Leila Rezvan, Fateme Panahi Zang Malek, Reza Safaralizadeh","doi":"10.1186/s13104-025-07401-1","DOIUrl":null,"url":null,"abstract":"<p><strong>Objective: </strong>Cervical cancer is one of the most common cancers among women. Despite advances in vaccination and screening, barriers to early detection and effective treatment remain. lncRNAs play an important role in cancer progression and therapeutic responses. New lncRNAs such as PCAT1, PCAT2, and PCAT3 have shown oncogenic activities in multiple cancers, but their role in cervical cancer is not understood. This study investigated the expression patterns of PCAT1, PCAT2, and PCAT3 in cervical cancer to evaluate their use as diagnostic markers and therapeutic targets.</p><p><strong>Results: </strong>The expression level of PCAT1, PCAT2, and PCAT3 was significantly (P value < 0.05) higher in tumor tissues.ROC analysis showed a moderate diagnostic biomarker value for PCAT1 (AUC 0.79, sensitivity 79%, specificity 69%). Spearman's analysis showed a positive correlation between PCAT1-PCAT2 and PCAT1-PCAT3. PCAT1, PCAT2, and PCAT3 lncRNAs significantly increase in cervical cancerous tissues and may play a role as novel oncogenes. Their use as clinical diagnostic markers requires further studies.</p>","PeriodicalId":9234,"journal":{"name":"BMC Research Notes","volume":"18 1","pages":"326"},"PeriodicalIF":1.7000,"publicationDate":"2025-07-25","publicationTypes":"Journal Article","fieldsOfStudy":null,"isOpenAccess":false,"openAccessPdf":"https://www.ncbi.nlm.nih.gov/pmc/articles/PMC12297771/pdf/","citationCount":"0","resultStr":null,"platform":"Semanticscholar","paperid":null,"PeriodicalName":"BMC Research Notes","FirstCategoryId":"1085","ListUrlMain":"https://doi.org/10.1186/s13104-025-07401-1","RegionNum":0,"RegionCategory":null,"ArticlePicture":[],"TitleCN":null,"AbstractTextCN":null,"PMCID":null,"EPubDate":"","PubModel":"","JCR":"Q2","JCRName":"MULTIDISCIPLINARY SCIENCES","Score":null,"Total":0}
引用次数: 0

Abstract

Objective: Cervical cancer is one of the most common cancers among women. Despite advances in vaccination and screening, barriers to early detection and effective treatment remain. lncRNAs play an important role in cancer progression and therapeutic responses. New lncRNAs such as PCAT1, PCAT2, and PCAT3 have shown oncogenic activities in multiple cancers, but their role in cervical cancer is not understood. This study investigated the expression patterns of PCAT1, PCAT2, and PCAT3 in cervical cancer to evaluate their use as diagnostic markers and therapeutic targets.

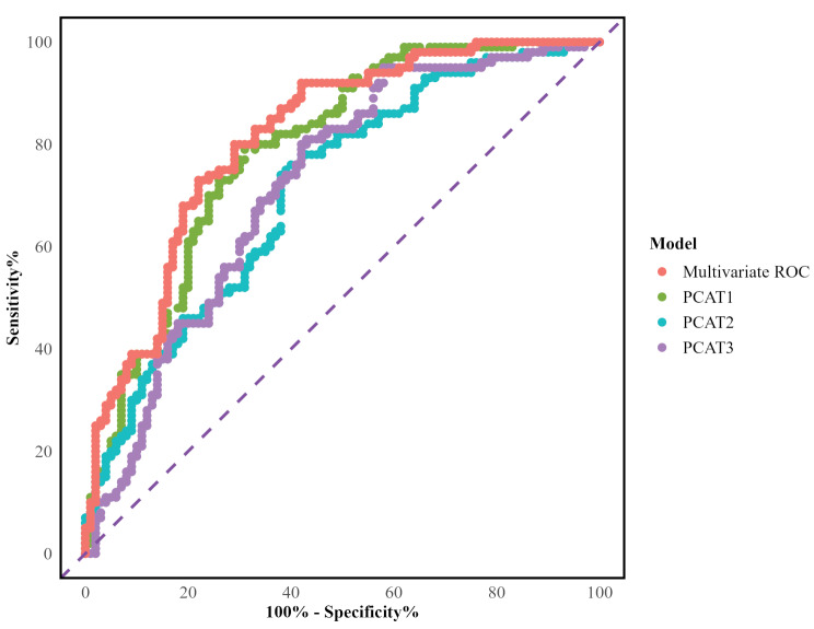
Results: The expression level of PCAT1, PCAT2, and PCAT3 was significantly (P value < 0.05) higher in tumor tissues.ROC analysis showed a moderate diagnostic biomarker value for PCAT1 (AUC 0.79, sensitivity 79%, specificity 69%). Spearman's analysis showed a positive correlation between PCAT1-PCAT2 and PCAT1-PCAT3. PCAT1, PCAT2, and PCAT3 lncRNAs significantly increase in cervical cancerous tissues and may play a role as novel oncogenes. Their use as clinical diagnostic markers requires further studies.

Abstract Image

Abstract Image

Abstract Image

宫颈癌患者PCAT1、PCAT2、PCAT3 lncrna表达上调及其诊断价值
目的:宫颈癌是女性中最常见的癌症之一。尽管在疫苗接种和筛查方面取得了进展,但早期发现和有效治疗的障碍仍然存在。lncrna在癌症进展和治疗反应中发挥重要作用。新的lncrna如PCAT1、PCAT2和PCAT3在多种癌症中显示出致癌活性,但它们在宫颈癌中的作用尚不清楚。本研究探讨了PCAT1、PCAT2和PCAT3在宫颈癌中的表达模式,以评估其作为诊断标志物和治疗靶点的价值。结果:PCAT1、PCAT2、PCAT3的表达水平显著高于对照组(P值
本文章由计算机程序翻译,如有差异,请以英文原文为准。
求助全文
约1分钟内获得全文 求助全文
来源期刊
BMC Research Notes
BMC Research Notes Biochemistry, Genetics and Molecular Biology-Biochemistry, Genetics and Molecular Biology (all)
CiteScore
3.60
自引率
0.00%
发文量
363
审稿时长
15 weeks
期刊介绍: BMC Research Notes publishes scientifically valid research outputs that cannot be considered as full research or methodology articles. We support the research community across all scientific and clinical disciplines by providing an open access forum for sharing data and useful information; this includes, but is not limited to, updates to previous work, additions to established methods, short publications, null results, research proposals and data management plans.
×
引用
GB/T 7714-2015
复制
MLA
复制
APA
复制
导出至
BibTeX EndNote RefMan NoteFirst NoteExpress
×
提示
您的信息不完整,为了账户安全,请先补充。
现在去补充
×
提示
您因"违规操作"
具体请查看互助需知
我知道了
×
提示
确定
请完成安全验证×
copy
已复制链接
快去分享给好友吧!
我知道了
右上角分享
点击右上角分享
0
联系我们:info@booksci.cn Book学术提供免费学术资源搜索服务,方便国内外学者检索中英文文献。致力于提供最便捷和优质的服务体验。 Copyright © 2023 布克学术 All rights reserved.
京ICP备2023020795号-1
ghs 京公网安备 11010802042870号
Book学术文献互助
Book学术文献互助群
群 号:604180095
Book学术官方微信