Subsurface Gaseous Hydrocarbons and Carbon Dioxide Recorded During the Trans-Amazon Drilling Project (TADP) in the Acre Basin, Western Amazon

IF 1.2 4区 地球科学 Q3 GEOCHEMISTRY & GEOPHYSICS
Geofluids Pub Date : 2025-07-29 DOI:10.1155/gfl/6658750
Angela Ethelis Jimenez Martinez, André Oliveira Sawakuchi, Dailson José Bertassoli Júnior, Thomas Wiersberg, Siu Mui Tsai, Kleiton Rabelo de Araújo, Larissa Natsumi Tamura, Marcos Bolognini Barbosa, Tácio Cordeiro Bicudo, Alderlene Pimentel de Brito, Ingo Daniel Wahnfried, Isaac Salém Azevedo Bezerra, Anders Noren, Cleverson Guizan Silva, Sherilyn Fritz, Paul Baker
{"title":"Subsurface Gaseous Hydrocarbons and Carbon Dioxide Recorded During the Trans-Amazon Drilling Project (TADP) in the Acre Basin, Western Amazon","authors":"Angela Ethelis Jimenez Martinez,&nbsp;André Oliveira Sawakuchi,&nbsp;Dailson José Bertassoli Júnior,&nbsp;Thomas Wiersberg,&nbsp;Siu Mui Tsai,&nbsp;Kleiton Rabelo de Araújo,&nbsp;Larissa Natsumi Tamura,&nbsp;Marcos Bolognini Barbosa,&nbsp;Tácio Cordeiro Bicudo,&nbsp;Alderlene Pimentel de Brito,&nbsp;Ingo Daniel Wahnfried,&nbsp;Isaac Salém Azevedo Bezerra,&nbsp;Anders Noren,&nbsp;Cleverson Guizan Silva,&nbsp;Sherilyn Fritz,&nbsp;Paul Baker","doi":"10.1155/gfl/6658750","DOIUrl":null,"url":null,"abstract":"<p>The Trans-Amazon Drilling Project (TADP) drilled a sequence of claystones, siltstones, and sandstones in the Acre sedimentary basin, reaching a final depth of 923 m. This study characterizes the occurrence and compositional variation of light gaseous hydrocarbons detected using the online gas analysis (OLGA) monitoring system deployed during drilling, along with methane (CH<sub>4</sub>) and carbon dioxide (CO<sub>2</sub>) concentrations measured in discrete gas samples extracted from cores during drilling operations. The gaseous hydrocarbons detected by the OLGA system are predominantly CH<sub>4</sub> but with the regular presence of ethane (C<sub>2</sub>H<sub>6</sub>), propane (C<sub>3</sub>H<sub>8</sub>), isobutane (i-C<sub>4</sub>H<sub>10</sub>), and n-butane (n-C<sub>4</sub>H<sub>10</sub>). Zones with higher CH<sub>4</sub>, C<sub>2</sub>H<sub>6</sub>, and C<sub>3</sub>H<sub>8</sub> concentrations were observed at depth intervals of 250–380 and 420–588 m. These higher concentrations of CH<sub>4</sub>, C<sub>2</sub>H<sub>6</sub>, and C<sub>3</sub>H<sub>8</sub> occur in siltstone or sandstone layers capped by claystones, suggesting that these lithological associations act as stratigraphic gas traps. The Bernard parameter (CH<sub>4</sub>/C<sub>2</sub>H<sub>6</sub> + C<sub>3</sub>H<sub>8</sub>) varied from a low value of 2 at 466 m depth to a maximum value of 1904 at 621 m depth. Stable carbon isotope ratios of CH<sub>4</sub> show <i>δ</i><sup>13</sup>C values between −35‰ and −25‰, suggesting the nearly ubiquitous presence of thermogenic gas. The discrete gas samples from cores exhibited CO<sub>2</sub> concentrations between 230 and 1400 ppm in claystones, 850 and 950 ppm in siltstones, and 240–820 ppm in sandstones, indicating higher concentrations in fine-grained sediments. The CH<sub>4</sub> concentration ranges from 2 to 6 ppm in sandstone layers and from 2 to 4 ppm in siltstone and claystone layers. There is no significant correlation between CH<sub>4</sub> and CO<sub>2</sub> concentrations. These results provide evidence of light hydrocarbon migration from deeper thermally mature source rocks, with entrapment in sandstone layers capped by fine-grained sedimentary rock layers. The high concentration of CO<sub>2</sub> relative to CH<sub>4</sub> in fine-grained rock layers points to restricted conditions for microbial gas generation in the drilled sediments, possibly due to a combination of low organic carbon content and oxidizing conditions. This is in accordance with the abundance of reddish fine-grained paleosols in the drilled sedimentary units. The combination of online gas monitoring and discrete sampling methods allowed the comparison between gas collected during drilling and in situ gas, contributing to a better understanding of the processes of the subsurface carbon cycle.</p>","PeriodicalId":12512,"journal":{"name":"Geofluids","volume":"2025 1","pages":""},"PeriodicalIF":1.2000,"publicationDate":"2025-07-29","publicationTypes":"Journal Article","fieldsOfStudy":null,"isOpenAccess":false,"openAccessPdf":"https://onlinelibrary.wiley.com/doi/epdf/10.1155/gfl/6658750","citationCount":"0","resultStr":null,"platform":"Semanticscholar","paperid":null,"PeriodicalName":"Geofluids","FirstCategoryId":"89","ListUrlMain":"https://onlinelibrary.wiley.com/doi/10.1155/gfl/6658750","RegionNum":4,"RegionCategory":"地球科学","ArticlePicture":[],"TitleCN":null,"AbstractTextCN":null,"PMCID":null,"EPubDate":"","PubModel":"","JCR":"Q3","JCRName":"GEOCHEMISTRY & GEOPHYSICS","Score":null,"Total":0}
引用次数: 0

Abstract

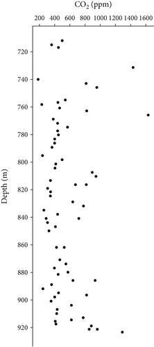
The Trans-Amazon Drilling Project (TADP) drilled a sequence of claystones, siltstones, and sandstones in the Acre sedimentary basin, reaching a final depth of 923 m. This study characterizes the occurrence and compositional variation of light gaseous hydrocarbons detected using the online gas analysis (OLGA) monitoring system deployed during drilling, along with methane (CH4) and carbon dioxide (CO2) concentrations measured in discrete gas samples extracted from cores during drilling operations. The gaseous hydrocarbons detected by the OLGA system are predominantly CH4 but with the regular presence of ethane (C2H6), propane (C3H8), isobutane (i-C4H10), and n-butane (n-C4H10). Zones with higher CH4, C2H6, and C3H8 concentrations were observed at depth intervals of 250–380 and 420–588 m. These higher concentrations of CH4, C2H6, and C3H8 occur in siltstone or sandstone layers capped by claystones, suggesting that these lithological associations act as stratigraphic gas traps. The Bernard parameter (CH4/C2H6 + C3H8) varied from a low value of 2 at 466 m depth to a maximum value of 1904 at 621 m depth. Stable carbon isotope ratios of CH4 show δ13C values between −35‰ and −25‰, suggesting the nearly ubiquitous presence of thermogenic gas. The discrete gas samples from cores exhibited CO2 concentrations between 230 and 1400 ppm in claystones, 850 and 950 ppm in siltstones, and 240–820 ppm in sandstones, indicating higher concentrations in fine-grained sediments. The CH4 concentration ranges from 2 to 6 ppm in sandstone layers and from 2 to 4 ppm in siltstone and claystone layers. There is no significant correlation between CH4 and CO2 concentrations. These results provide evidence of light hydrocarbon migration from deeper thermally mature source rocks, with entrapment in sandstone layers capped by fine-grained sedimentary rock layers. The high concentration of CO2 relative to CH4 in fine-grained rock layers points to restricted conditions for microbial gas generation in the drilled sediments, possibly due to a combination of low organic carbon content and oxidizing conditions. This is in accordance with the abundance of reddish fine-grained paleosols in the drilled sedimentary units. The combination of online gas monitoring and discrete sampling methods allowed the comparison between gas collected during drilling and in situ gas, contributing to a better understanding of the processes of the subsurface carbon cycle.

Abstract Image

在亚马逊西部Acre盆地的跨亚马逊钻井项目(TADP)中记录的地下气态碳氢化合物和二氧化碳
跨亚马逊钻井项目(TADP)在Acre沉积盆地钻探了一系列粘土岩、粉砂岩和砂岩,最终深度达到923米。本研究利用钻井过程中部署的在线气体分析(OLGA)监测系统,分析了轻质气态碳氢化合物的分布和组成变化,以及钻井过程中从岩心中提取的离散气体样本中测量的甲烷(CH4)和二氧化碳(CO2)浓度。OLGA系统检测到的气态烃主要是CH4,但也有乙烷(C2H6)、丙烷(C3H8)、异丁烷(i-C4H10)和正丁烷(n-C4H10)的存在。CH4、C2H6和C3H8浓度较高的区域分布在深度250 ~ 380和420 ~ 588 m。这些较高浓度的CH4、C2H6和C3H8出现在粘土覆盖的粉砂岩或砂岩层中,表明这些岩性组合起着地层气圈闭的作用。Bernard参数(CH4/C2H6 + C3H8)从466 m处的低值2到621 m处的最大值1904不等。CH4的稳定碳同位素δ13C值在−35‰~−25‰之间,表明热成因气体几乎普遍存在。岩心分离气体样品显示,粘土中CO2浓度在230 ~ 1400 ppm之间,粉砂岩中CO2浓度在850 ~ 950 ppm之间,砂岩中CO2浓度在240 ~ 820 ppm之间,表明细粒沉积物中CO2浓度较高。砂岩层CH4浓度在2 ~ 6ppm之间,粉砂岩层和粘土层CH4浓度在2 ~ 4ppm之间。CH4和CO2浓度之间没有显著的相关性。这些结果提供了轻烃从较深的热成熟烃源岩中运移的证据,这些烃源岩在砂岩层中被细粒沉积岩层覆盖。细粒岩层中CO2相对于CH4的高浓度表明,钻孔沉积物中微生物生气的条件受到限制,可能是由于低有机碳含量和氧化条件的共同作用。这与钻孔沉积单元中丰富的红色细粒古土壤相一致。在线气体监测和离散采样方法相结合,可以将钻井过程中收集的气体与现场收集的气体进行比较,有助于更好地了解地下碳循环过程。
本文章由计算机程序翻译,如有差异,请以英文原文为准。
求助全文
约1分钟内获得全文 求助全文
来源期刊
Geofluids
Geofluids 地学-地球化学与地球物理
CiteScore
2.80
自引率
17.60%
发文量
835
期刊介绍: Geofluids is a peer-reviewed, Open Access journal that provides a forum for original research and reviews relating to the role of fluids in mineralogical, chemical, and structural evolution of the Earth’s crust. Its explicit aim is to disseminate ideas across the range of sub-disciplines in which Geofluids research is carried out. To this end, authors are encouraged to stress the transdisciplinary relevance and international ramifications of their research. Authors are also encouraged to make their work as accessible as possible to readers from other sub-disciplines. Geofluids emphasizes chemical, microbial, and physical aspects of subsurface fluids throughout the Earth’s crust. Geofluids spans studies of groundwater, terrestrial or submarine geothermal fluids, basinal brines, petroleum, metamorphic waters or magmatic fluids.
×
引用
GB/T 7714-2015
复制
MLA
复制
APA
复制
导出至
BibTeX EndNote RefMan NoteFirst NoteExpress
×
提示
您的信息不完整,为了账户安全,请先补充。
现在去补充
×
提示
您因"违规操作"
具体请查看互助需知
我知道了
×
提示
确定
请完成安全验证×
copy
已复制链接
快去分享给好友吧!
我知道了
右上角分享
点击右上角分享
0
联系我们:info@booksci.cn Book学术提供免费学术资源搜索服务,方便国内外学者检索中英文文献。致力于提供最便捷和优质的服务体验。 Copyright © 2023 布克学术 All rights reserved.
京ICP备2023020795号-1
ghs 京公网安备 11010802042870号
Book学术文献互助
Book学术文献互助群
群 号:604180095
Book学术官方微信