Nighttime sleep duration and dual management of blood pressure and glycemia in Chinese with comorbid hypertension and diabetes.

IF 3.9 2区 综合性期刊 Q1 MULTIDISCIPLINARY SCIENCES
Binglin Chen, Haifeng Xu, Yan Shi, Minna Cheng, Jia Chen, Xuyan Su, Haiying Tang, Danying Pan, Qinghua Yan
{"title":"Nighttime sleep duration and dual management of blood pressure and glycemia in Chinese with comorbid hypertension and diabetes.","authors":"Binglin Chen, Haifeng Xu, Yan Shi, Minna Cheng, Jia Chen, Xuyan Su, Haiying Tang, Danying Pan, Qinghua Yan","doi":"10.1038/s41598-025-12567-6","DOIUrl":null,"url":null,"abstract":"<p><p>To characterize the associations between nighttime sleep duration and control of blood pressure (BP) and glycemia in individuals with comorbid hypertension and diabetes, we conducted a cross-sectional analysis of 2794 participants aged ≥ 50 years with confirmed diabetes and hypertension. Participants were categorized into five self-reported nighttime sleep duration groups: < 6 h, 6-7 h, 7-8 h, 8-9 h, and > 9 h. Multivariable logistic regression models were used to evaluate associations between sleep duration and BP/glycemic control, with adjustment for demographic, clinical, and behavioral confounders. We observed that prolonged sleep duration (> 9 h) was independently associated with uncontrolled BP after confounder adjustment. Subgroup analyses revealed that short sleep duration (< 6 h and 6-7 h) was linked to uncontrolled BP among males, whereas prolonged sleep duration was associated with uncontrolled BP among females, participants under 65 years, those with regular medication adherence, and non-nappers. For glycemic control, prolonged sleep duration conferred a protective effect among normal-weight individuals, but this association was not evident in the overall sample. Our results suggested that BP regulation may play a dominant role in competitive metabolic regulation demands compared to glycemic regulation. We recommended that individualized interventions aimed at modifying the habitual sleep duration of patients with comorbidities may be a crucial strategy to enhance BP and blood glucose management.</p>","PeriodicalId":21811,"journal":{"name":"Scientific Reports","volume":"15 1","pages":"27017"},"PeriodicalIF":3.9000,"publicationDate":"2025-07-25","publicationTypes":"Journal Article","fieldsOfStudy":null,"isOpenAccess":false,"openAccessPdf":"https://www.ncbi.nlm.nih.gov/pmc/articles/PMC12289864/pdf/","citationCount":"0","resultStr":null,"platform":"Semanticscholar","paperid":null,"PeriodicalName":"Scientific Reports","FirstCategoryId":"103","ListUrlMain":"https://doi.org/10.1038/s41598-025-12567-6","RegionNum":2,"RegionCategory":"综合性期刊","ArticlePicture":[],"TitleCN":null,"AbstractTextCN":null,"PMCID":null,"EPubDate":"","PubModel":"","JCR":"Q1","JCRName":"MULTIDISCIPLINARY SCIENCES","Score":null,"Total":0}
引用次数: 0

Abstract

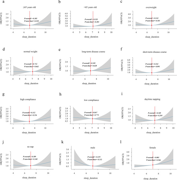
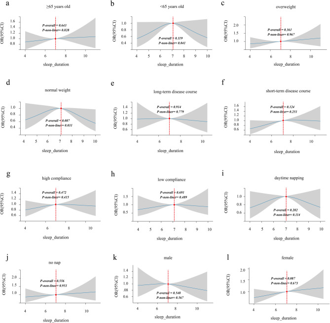
To characterize the associations between nighttime sleep duration and control of blood pressure (BP) and glycemia in individuals with comorbid hypertension and diabetes, we conducted a cross-sectional analysis of 2794 participants aged ≥ 50 years with confirmed diabetes and hypertension. Participants were categorized into five self-reported nighttime sleep duration groups: < 6 h, 6-7 h, 7-8 h, 8-9 h, and > 9 h. Multivariable logistic regression models were used to evaluate associations between sleep duration and BP/glycemic control, with adjustment for demographic, clinical, and behavioral confounders. We observed that prolonged sleep duration (> 9 h) was independently associated with uncontrolled BP after confounder adjustment. Subgroup analyses revealed that short sleep duration (< 6 h and 6-7 h) was linked to uncontrolled BP among males, whereas prolonged sleep duration was associated with uncontrolled BP among females, participants under 65 years, those with regular medication adherence, and non-nappers. For glycemic control, prolonged sleep duration conferred a protective effect among normal-weight individuals, but this association was not evident in the overall sample. Our results suggested that BP regulation may play a dominant role in competitive metabolic regulation demands compared to glycemic regulation. We recommended that individualized interventions aimed at modifying the habitual sleep duration of patients with comorbidities may be a crucial strategy to enhance BP and blood glucose management.

Abstract Image

Abstract Image

中国高血压和糖尿病患者夜间睡眠时间与血压和血糖的双重管理。
为了确定高血压和糖尿病患者夜间睡眠时间与血压和血糖控制之间的关系,我们对2794名年龄≥50岁、确诊为糖尿病和高血压的患者进行了横断面分析。参与者被分为5个自我报告的夜间睡眠时间组:< 6小时、6-7小时、7-8小时、8-9小时和10 -9小时。采用多变量logistic回归模型评估睡眠时间与血压/血糖控制之间的关系,并对人口统计学、临床和行为混杂因素进行调整。我们观察到,在混杂因素调整后,延长睡眠时间(bbbb9小时)与不受控制的血压独立相关。分组分析显示,睡眠时间短(
本文章由计算机程序翻译,如有差异,请以英文原文为准。
求助全文
约1分钟内获得全文 求助全文
来源期刊
Scientific Reports
Scientific Reports Natural Science Disciplines-
CiteScore
7.50
自引率
4.30%
发文量
19567
审稿时长
3.9 months
期刊介绍: We publish original research from all areas of the natural sciences, psychology, medicine and engineering. You can learn more about what we publish by browsing our specific scientific subject areas below or explore Scientific Reports by browsing all articles and collections. Scientific Reports has a 2-year impact factor: 4.380 (2021), and is the 6th most-cited journal in the world, with more than 540,000 citations in 2020 (Clarivate Analytics, 2021). •Engineering Engineering covers all aspects of engineering, technology, and applied science. It plays a crucial role in the development of technologies to address some of the world''s biggest challenges, helping to save lives and improve the way we live. •Physical sciences Physical sciences are those academic disciplines that aim to uncover the underlying laws of nature — often written in the language of mathematics. It is a collective term for areas of study including astronomy, chemistry, materials science and physics. •Earth and environmental sciences Earth and environmental sciences cover all aspects of Earth and planetary science and broadly encompass solid Earth processes, surface and atmospheric dynamics, Earth system history, climate and climate change, marine and freshwater systems, and ecology. It also considers the interactions between humans and these systems. •Biological sciences Biological sciences encompass all the divisions of natural sciences examining various aspects of vital processes. The concept includes anatomy, physiology, cell biology, biochemistry and biophysics, and covers all organisms from microorganisms, animals to plants. •Health sciences The health sciences study health, disease and healthcare. This field of study aims to develop knowledge, interventions and technology for use in healthcare to improve the treatment of patients.
×
引用
GB/T 7714-2015
复制
MLA
复制
APA
复制
导出至
BibTeX EndNote RefMan NoteFirst NoteExpress
×
提示
您的信息不完整,为了账户安全,请先补充。
现在去补充
×
提示
您因"违规操作"
具体请查看互助需知
我知道了
×
提示
确定
请完成安全验证×
copy
已复制链接
快去分享给好友吧!
我知道了
右上角分享
点击右上角分享
0
联系我们:info@booksci.cn Book学术提供免费学术资源搜索服务,方便国内外学者检索中英文文献。致力于提供最便捷和优质的服务体验。 Copyright © 2023 布克学术 All rights reserved.
京ICP备2023020795号-1
ghs 京公网安备 11010802042870号
Book学术文献互助
Book学术文献互助群
群 号:604180095
Book学术官方微信