Acetylenic Metabolites and a 2-Phenoxychromone Derivative from the Aerial Parts of Artemisia biennis.

IF 1.8 4区 医学 Q3 PHARMACOLOGY & PHARMACY
Iranian Journal of Pharmaceutical Research Pub Date : 2025-04-16 eCollection Date: 2025-01-01 DOI:10.5812/ijpr-160050
Maryam Najafi, Yalda Shokoohinia, Mahdi Mojarrab
{"title":"Acetylenic Metabolites and a 2-Phenoxychromone Derivative from the Aerial Parts of <i>Artemisia biennis</i>.","authors":"Maryam Najafi, Yalda Shokoohinia, Mahdi Mojarrab","doi":"10.5812/ijpr-160050","DOIUrl":null,"url":null,"abstract":"<p><strong>Background: </strong><i>Artemisia biennis</i> is a weed of several crops, but some valuable biological effects have been reported from its various extracts.</p><p><strong>Objectives: </strong>The present phytochemical study was carried out on the dichloromethane (DCM) extract of the aerial parts of <i>A. biennis</i>. The prominent cytotoxic and antifungal activities of this extract were previously reported.</p><p><strong>Methods: </strong>The DCM extract was fractionated using vacuum-liquid chromatography (VLC). The selected fractions were purified by VLC and semi-preparative high-performance liquid chromatography (HPLC). The structures of the isolated compounds were characterized by comprehensive spectroscopic analyses.</p><p><strong>Results: </strong>Two acetylenic metabolites [(E)-en-yn-dicycloether, (Z)-en-yn-dicycloether], and a 2-phenoxychromone derivative (6-demethoxy-4'-O-methylcapillarisin) were isolated from the DCM extract of <i>A. biennis</i> aerial parts.</p><p><strong>Conclusions: </strong>These two acetylenic metabolites have exhibited various effects on biological systems. The results of this study are in accordance with the reported cytotoxic and antifungal activities of the DCM extract of <i>A. biennis</i>. The chemotaxonomic significance of the isolated compounds is also notable.</p>","PeriodicalId":14595,"journal":{"name":"Iranian Journal of Pharmaceutical Research","volume":"24 1","pages":"e160050"},"PeriodicalIF":1.8000,"publicationDate":"2025-04-16","publicationTypes":"Journal Article","fieldsOfStudy":null,"isOpenAccess":false,"openAccessPdf":"https://www.ncbi.nlm.nih.gov/pmc/articles/PMC12285677/pdf/","citationCount":"0","resultStr":null,"platform":"Semanticscholar","paperid":null,"PeriodicalName":"Iranian Journal of Pharmaceutical Research","FirstCategoryId":"3","ListUrlMain":"https://doi.org/10.5812/ijpr-160050","RegionNum":4,"RegionCategory":"医学","ArticlePicture":[],"TitleCN":null,"AbstractTextCN":null,"PMCID":null,"EPubDate":"2025/1/1 0:00:00","PubModel":"eCollection","JCR":"Q3","JCRName":"PHARMACOLOGY & PHARMACY","Score":null,"Total":0}
引用次数: 0

Abstract

Background: Artemisia biennis is a weed of several crops, but some valuable biological effects have been reported from its various extracts.

Objectives: The present phytochemical study was carried out on the dichloromethane (DCM) extract of the aerial parts of A. biennis. The prominent cytotoxic and antifungal activities of this extract were previously reported.

Methods: The DCM extract was fractionated using vacuum-liquid chromatography (VLC). The selected fractions were purified by VLC and semi-preparative high-performance liquid chromatography (HPLC). The structures of the isolated compounds were characterized by comprehensive spectroscopic analyses.

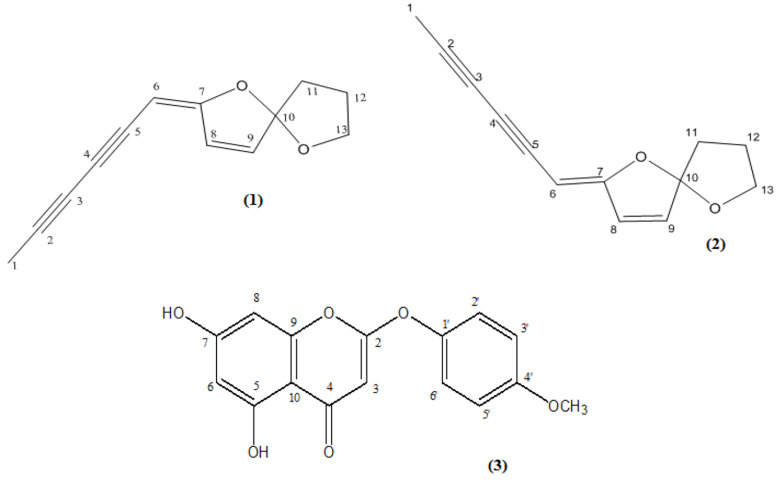
Results: Two acetylenic metabolites [(E)-en-yn-dicycloether, (Z)-en-yn-dicycloether], and a 2-phenoxychromone derivative (6-demethoxy-4'-O-methylcapillarisin) were isolated from the DCM extract of A. biennis aerial parts.

Conclusions: These two acetylenic metabolites have exhibited various effects on biological systems. The results of this study are in accordance with the reported cytotoxic and antifungal activities of the DCM extract of A. biennis. The chemotaxonomic significance of the isolated compounds is also notable.

Abstract Image

双叶蒿地上部乙酰代谢物和2-苯氧色素衍生物的研究。
背景:双叶蒿(Artemisia biennis)是一种多种作物的杂草,但其各种提取物已报道了一些有价值的生物学效应。目的:对双翅草地上部分的二氯甲烷(DCM)提取物进行植物化学研究。该提取物具有显著的细胞毒性和抗真菌活性,此前已有报道。方法:采用真空-液相色谱法(VLC)对DCM提取物进行分馏。采用液相色谱(VLC)和半制备高效液相色谱(HPLC)对所选组分进行纯化。对分离得到的化合物的结构进行了全面的光谱分析。结果:从冬青地上部位的DCM提取物中分离到2个乙酰代谢物[(E)-en-yn-dicycloether, (Z)-en-yn-dicycloether]和1个2-苯氧基色素衍生物(6-去甲氧基-4′- o -甲基毛细素)。结论:这两种乙炔代谢物对生物系统具有不同的作用。本研究结果与文献报道的双歧杆菌DCM提取物的细胞毒性和抗真菌活性一致。分离化合物的化学分类学意义也很显著。
本文章由计算机程序翻译,如有差异,请以英文原文为准。
求助全文
约1分钟内获得全文 求助全文
来源期刊
CiteScore
3.40
自引率
6.20%
发文量
52
审稿时长
2 months
期刊介绍: The Iranian Journal of Pharmaceutical Research (IJPR) is a peer-reviewed multi-disciplinary pharmaceutical publication, scheduled to appear quarterly and serve as a means for scientific information exchange in the international pharmaceutical forum. Specific scientific topics of interest to the journal include, but are not limited to: pharmaceutics, industrial pharmacy, pharmacognosy, toxicology, medicinal chemistry, novel analytical methods for drug characterization, computational and modeling approaches to drug design, bio-medical experience, clinical investigation, rational drug prescribing, pharmacoeconomics, biotechnology, nanotechnology, biopharmaceutics and physical pharmacy.
×
引用
GB/T 7714-2015
复制
MLA
复制
APA
复制
导出至
BibTeX EndNote RefMan NoteFirst NoteExpress
×
提示
您的信息不完整,为了账户安全,请先补充。
现在去补充
×
提示
您因"违规操作"
具体请查看互助需知
我知道了
×
提示
确定
请完成安全验证×
copy
已复制链接
快去分享给好友吧!
我知道了
右上角分享
点击右上角分享
0
联系我们:info@booksci.cn Book学术提供免费学术资源搜索服务,方便国内外学者检索中英文文献。致力于提供最便捷和优质的服务体验。 Copyright © 2023 布克学术 All rights reserved.
京ICP备2023020795号-1
ghs 京公网安备 11010802042870号
Book学术文献互助
Book学术文献互助群
群 号:604180095
Book学术官方微信