Factors associated with hospitalization from a geriatric short-stay unit (OBI-GER): a retrospective cohort study

IF 3.4 3区 医学 Q2 GERIATRICS & GERONTOLOGY
Laura Orlandini, Benedetta Maisano, Alice Margherita Ornago, Elena Pinardi, Alberto Finazzi, Andrea Bonini, Maurizio Corsi, Giacomo Mosca, Ernesto Contro, Andrea Staglianò, Martina Manna, Antonio Piscitelli, Aida Andreassi, Maria Cristina Ferrara, Chukwuma Okoye, Giuseppe Bellelli
{"title":"Factors associated with hospitalization from a geriatric short-stay unit (OBI-GER): a retrospective cohort study","authors":"Laura Orlandini,&nbsp;Benedetta Maisano,&nbsp;Alice Margherita Ornago,&nbsp;Elena Pinardi,&nbsp;Alberto Finazzi,&nbsp;Andrea Bonini,&nbsp;Maurizio Corsi,&nbsp;Giacomo Mosca,&nbsp;Ernesto Contro,&nbsp;Andrea Staglianò,&nbsp;Martina Manna,&nbsp;Antonio Piscitelli,&nbsp;Aida Andreassi,&nbsp;Maria Cristina Ferrara,&nbsp;Chukwuma Okoye,&nbsp;Giuseppe Bellelli","doi":"10.1007/s40520-025-03125-1","DOIUrl":null,"url":null,"abstract":"<div><h3>Background</h3><p>Geriatric Short-Stay Observation Units (G-SSU) are specialized units designed to improve care for older adults within the emergency department (ED). At our hospital, the Osservazione Breve Intensiva Geriatrica (OBI-GER) was established as a dedicated G-SSU.</p><h3>Aims</h3><p>This study aims to characterize the clinical profile of older adults admitted to OBI-GER and identify factors associated with hospitalization within the first 24 h of admission.</p><h3>Methods</h3><p>Retrospective, single-center study including individuals aged ≥ 75 years, admitted to OBI-GER between August 2023 and August 2024, with frailty and/or delirium during ED stay. Multivariable logistic regression model with stepwise selection was used to assess associations between hospitalization and clinical, functional, laboratory, and organizational variables.</p><h3>Results</h3><p>Overall, 353 patients (mean age 86.8 <i>±</i> 5.5 years, 47.9% male) were included, of whom 109 (30.8%) required hospitalization. The cohort exhibited moderate frailty (median Clinical Frailty Scale = 6, IQR 6–7) and a considerable comorbidity burden (median Charlson Comorbidity Index [CCI] = 6, IQR 5–8), along with a high prevalence of dementia (45%) and polypharmacy (mean 7.1 <i>±</i> 3.4 medications). Independent risk factors for hospitalization included higher CCI (OR 1.19, 95% CI 1.05–1.35), delirium on the first day of OBI-GER (OR 2.03, 95% CI 1.13–3.64), frequent faller profile (OR 2.66; 95% CI 1.38–5.12), and lower hemoglobin levels at ED admission (OR 0.89, 95% CI 0.79–0.99).</p><h3>Conclusions</h3><p>Despite their clinical complexity, only one-third of patients admitted to OBI-GER required hospitalization. CCI, delirium, fall history, and hemoglobin levels may serve to stratify hospitalization risk and optimize patient selection for G-SSU.</p></div>","PeriodicalId":7720,"journal":{"name":"Aging Clinical and Experimental Research","volume":"37 1","pages":""},"PeriodicalIF":3.4000,"publicationDate":"2025-07-25","publicationTypes":"Journal Article","fieldsOfStudy":null,"isOpenAccess":false,"openAccessPdf":"https://www.ncbi.nlm.nih.gov/pmc/articles/PMC12296983/pdf/","citationCount":"0","resultStr":null,"platform":"Semanticscholar","paperid":null,"PeriodicalName":"Aging Clinical and Experimental Research","FirstCategoryId":"3","ListUrlMain":"https://link.springer.com/article/10.1007/s40520-025-03125-1","RegionNum":3,"RegionCategory":"医学","ArticlePicture":[],"TitleCN":null,"AbstractTextCN":null,"PMCID":null,"EPubDate":"","PubModel":"","JCR":"Q2","JCRName":"GERIATRICS & GERONTOLOGY","Score":null,"Total":0}
引用次数: 0

Abstract

Background

Geriatric Short-Stay Observation Units (G-SSU) are specialized units designed to improve care for older adults within the emergency department (ED). At our hospital, the Osservazione Breve Intensiva Geriatrica (OBI-GER) was established as a dedicated G-SSU.

Aims

This study aims to characterize the clinical profile of older adults admitted to OBI-GER and identify factors associated with hospitalization within the first 24 h of admission.

Methods

Retrospective, single-center study including individuals aged ≥ 75 years, admitted to OBI-GER between August 2023 and August 2024, with frailty and/or delirium during ED stay. Multivariable logistic regression model with stepwise selection was used to assess associations between hospitalization and clinical, functional, laboratory, and organizational variables.

Results

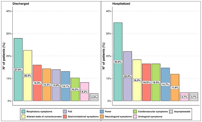
Overall, 353 patients (mean age 86.8 ± 5.5 years, 47.9% male) were included, of whom 109 (30.8%) required hospitalization. The cohort exhibited moderate frailty (median Clinical Frailty Scale = 6, IQR 6–7) and a considerable comorbidity burden (median Charlson Comorbidity Index [CCI] = 6, IQR 5–8), along with a high prevalence of dementia (45%) and polypharmacy (mean 7.1 ± 3.4 medications). Independent risk factors for hospitalization included higher CCI (OR 1.19, 95% CI 1.05–1.35), delirium on the first day of OBI-GER (OR 2.03, 95% CI 1.13–3.64), frequent faller profile (OR 2.66; 95% CI 1.38–5.12), and lower hemoglobin levels at ED admission (OR 0.89, 95% CI 0.79–0.99).

Conclusions

Despite their clinical complexity, only one-third of patients admitted to OBI-GER required hospitalization. CCI, delirium, fall history, and hemoglobin levels may serve to stratify hospitalization risk and optimize patient selection for G-SSU.

Abstract Image

Abstract Image

Abstract Image

与老年短期住院相关的因素(OBI-GER):回顾性队列研究
背景:老年短期住院观察单位(G-SSU)是专门设计的单位,旨在改善对急诊科(ED)老年人的护理。在我们医院,建立了老年重症监护观察(OBI-GER)作为专门的G-SSU。目的:本研究旨在描述入院的OBI-GER老年人的临床特征,并确定入院前24小时内住院的相关因素。方法:回顾性、单中心研究,纳入年龄≥75岁、在2023年8月至2024年8月期间入院的OBI-GER患者,在ED住院期间伴有虚弱和/或谵妄。采用逐步选择的多变量logistic回归模型评估住院与临床、功能、实验室和组织变量之间的关系。结果:共纳入353例患者(平均年龄86.8±5.5岁,男性47.9%),其中109例(30.8%)需要住院治疗。该队列表现出中度虚弱(临床虚弱量表中位数= 6,IQR 6-7)和相当大的合并症负担(Charlson合并症指数中位数[CCI] = 6, IQR 5-8),同时伴有高患病率的痴呆(45%)和多药(平均7.1±3.4种药物)。住院的独立危险因素包括较高的CCI (OR 1.19, 95% CI 1.05-1.35)、OBI-GER第一天的谵妄(OR 2.03, 95% CI 1.13-3.64)、频繁跌倒(OR 2.66;95% CI 1.38-5.12),入院时血红蛋白水平较低(OR 0.89, 95% CI 0.79-0.99)。结论:尽管其临床复杂性,只有三分之一的OBI-GER患者需要住院治疗。CCI、谵妄、跌倒史和血红蛋白水平可用于分层住院风险和优化G-SSU患者选择。
本文章由计算机程序翻译,如有差异,请以英文原文为准。
求助全文
约1分钟内获得全文 求助全文
来源期刊
CiteScore
7.90
自引率
5.00%
发文量
283
审稿时长
1 months
期刊介绍: Aging clinical and experimental research offers a multidisciplinary forum on the progressing field of gerontology and geriatrics. The areas covered by the journal include: biogerontology, neurosciences, epidemiology, clinical gerontology and geriatric assessment, social, economical and behavioral gerontology. “Aging clinical and experimental research” appears bimonthly and publishes review articles, original papers and case reports.
×
引用
GB/T 7714-2015
复制
MLA
复制
APA
复制
导出至
BibTeX EndNote RefMan NoteFirst NoteExpress
×
提示
您的信息不完整,为了账户安全,请先补充。
现在去补充
×
提示
您因"违规操作"
具体请查看互助需知
我知道了
×
提示
确定
请完成安全验证×
copy
已复制链接
快去分享给好友吧!
我知道了
右上角分享
点击右上角分享
0
联系我们:info@booksci.cn Book学术提供免费学术资源搜索服务,方便国内外学者检索中英文文献。致力于提供最便捷和优质的服务体验。 Copyright © 2023 布克学术 All rights reserved.
京ICP备2023020795号-1
ghs 京公网安备 11010802042870号
Book学术文献互助
Book学术文献互助群
群 号:604180095
Book学术官方微信