Statistical optimization of crude oil bioremediation using Streptomyces aurantiogriseus isolated from Egypt’s Western Desert

IF 3.2 4区 生物学 Q2 BIOTECHNOLOGY & APPLIED MICROBIOLOGY
Sahar Y. Ibrahim, Eman A. Abdelhamid, Ali M. El-Hagrassi, Noha M. Kamal
{"title":"Statistical optimization of crude oil bioremediation using Streptomyces aurantiogriseus isolated from Egypt’s Western Desert","authors":"Sahar Y. Ibrahim,&nbsp;Eman A. Abdelhamid,&nbsp;Ali M. El-Hagrassi,&nbsp;Noha M. Kamal","doi":"10.1007/s10532-025-10154-0","DOIUrl":null,"url":null,"abstract":"<div><p>One of the most common soil pollutants on a global scale is fuel, which is fundamental for daily activities. Biodegradation has been regarded as an ideal remediation technique for hydrocarbon pollution. We investigated the potential of 28 <i>Streptomyces</i> species inhabiting different hydrocarbon-polluted soils for the biodegradation of petroleum. The tested isolates were cultured on mineral salts broth containing 2% crude oil as the sole carbon source. Gravimetric analysis of residual crude oil was performed, and the samples that showed the highest percentage of biodegradation were also analyzed via gas chromatography. Among the isolated actinobacteria, <i>Streptomyces aurantiogriseus</i> strain NORA7 (EMCC 28565) stood out for its ability to degrade crude oil (66.28 ± 6.25%). Gas chromatography revealed that docosane, nonadecane, pentacosane, and 7-methylpentadecane were the major compounds detected in the residual treated crude oil. Plackett–Burman design (PB) was used to determine the critical factors impacting the biodegradation process. Response surface methodology (RSM) through Central Composite Design (CCD) was subsequently conducted, and the predicted optimum point of crude oil biodegradation was at 3% crude oil concentration, 0.15 g/L yeast extract, and 25 mm inoculum size. The experimental value after optimum conditions was 70% after 3 weeks, which was close to the predicted value. A pot experiment was performed to investigate the outcomes of ex situ soil bioremediation, and the results were consistent with those of the flask-scale biodegradation experiment with enhanced removal of crude oil (92%). The results revealed that the ability of <i>S. aurantiogriseus</i> NORA7 to biodegrade crude oil could significantly contribute to the eco-friendly recovery of oil-polluted ecosystems and reduce the long-term environmental impact of crude oil pollution.</p><h3>Graphical abstract</h3>\n<div><figure><div><div><picture><source><img></source></picture></div></div></figure></div></div>","PeriodicalId":486,"journal":{"name":"Biodegradation","volume":"36 4","pages":""},"PeriodicalIF":3.2000,"publicationDate":"2025-07-25","publicationTypes":"Journal Article","fieldsOfStudy":null,"isOpenAccess":false,"openAccessPdf":"https://www.ncbi.nlm.nih.gov/pmc/articles/PMC12296995/pdf/","citationCount":"0","resultStr":null,"platform":"Semanticscholar","paperid":null,"PeriodicalName":"Biodegradation","FirstCategoryId":"5","ListUrlMain":"https://link.springer.com/article/10.1007/s10532-025-10154-0","RegionNum":4,"RegionCategory":"生物学","ArticlePicture":[],"TitleCN":null,"AbstractTextCN":null,"PMCID":null,"EPubDate":"","PubModel":"","JCR":"Q2","JCRName":"BIOTECHNOLOGY & APPLIED MICROBIOLOGY","Score":null,"Total":0}
引用次数: 0

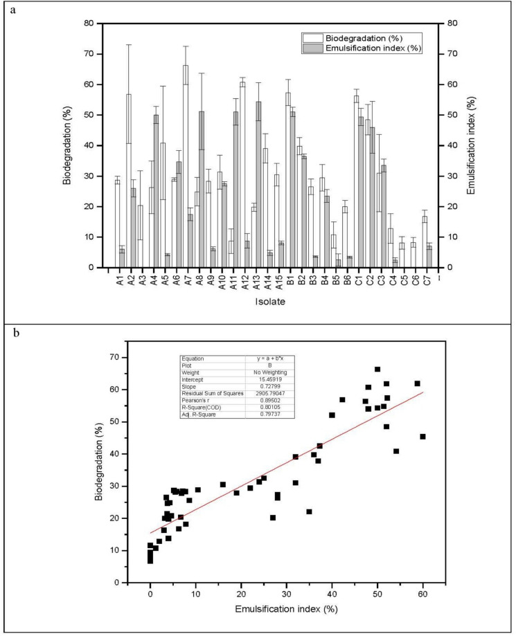
Abstract

One of the most common soil pollutants on a global scale is fuel, which is fundamental for daily activities. Biodegradation has been regarded as an ideal remediation technique for hydrocarbon pollution. We investigated the potential of 28 Streptomyces species inhabiting different hydrocarbon-polluted soils for the biodegradation of petroleum. The tested isolates were cultured on mineral salts broth containing 2% crude oil as the sole carbon source. Gravimetric analysis of residual crude oil was performed, and the samples that showed the highest percentage of biodegradation were also analyzed via gas chromatography. Among the isolated actinobacteria, Streptomyces aurantiogriseus strain NORA7 (EMCC 28565) stood out for its ability to degrade crude oil (66.28 ± 6.25%). Gas chromatography revealed that docosane, nonadecane, pentacosane, and 7-methylpentadecane were the major compounds detected in the residual treated crude oil. Plackett–Burman design (PB) was used to determine the critical factors impacting the biodegradation process. Response surface methodology (RSM) through Central Composite Design (CCD) was subsequently conducted, and the predicted optimum point of crude oil biodegradation was at 3% crude oil concentration, 0.15 g/L yeast extract, and 25 mm inoculum size. The experimental value after optimum conditions was 70% after 3 weeks, which was close to the predicted value. A pot experiment was performed to investigate the outcomes of ex situ soil bioremediation, and the results were consistent with those of the flask-scale biodegradation experiment with enhanced removal of crude oil (92%). The results revealed that the ability of S. aurantiogriseus NORA7 to biodegrade crude oil could significantly contribute to the eco-friendly recovery of oil-polluted ecosystems and reduce the long-term environmental impact of crude oil pollution.

Graphical abstract

Abstract Image

Abstract Image

Abstract Image

埃及西部沙漠金灰链霉菌生物修复原油的统计优化。
在全球范围内,最常见的土壤污染物之一是燃料,这是日常活动的基础。生物降解是一种理想的烃类污染修复技术。研究了28种链霉菌在不同烃污染土壤中生物降解石油的潜力。在含2%原油为唯一碳源的无机盐肉汤中培养分离菌。对残余原油进行了重量分析,并对生物降解率最高的样品进行了气相色谱分析。在分离的放线菌中,金黄色链霉菌NORA7菌株(EMCC 28565)对原油的降解能力最高(66.28±6.25%)。气相色谱分析结果显示,处理后的原油中检测到的主要化合物为十二烷、十六烷、五烷和7-甲基十五烷。采用Plackett-Burman设计(PB)确定影响生物降解过程的关键因素。通过中心组合设计(CCD)进行响应面法(RSM),预测原油生物降解的最佳点为原油浓度3%、酵母浸出物0.15 g/L、接种量25 mm。最佳条件下3周后的实验值为70%,与预测值接近。通过盆栽试验考察了非原位土壤生物修复的效果,结果与烧瓶尺度生物降解实验结果一致,提高了原油的去除率(92%)。结果表明,金黄色葡萄球菌(S. aurantiogriseus NORA7)对原油的生物降解能力可显著促进原油污染生态系统的生态恢复,降低原油污染对环境的长期影响。
本文章由计算机程序翻译,如有差异,请以英文原文为准。
求助全文
约1分钟内获得全文 求助全文
来源期刊
Biodegradation
Biodegradation 工程技术-生物工程与应用微生物
CiteScore
5.60
自引率
0.00%
发文量
36
审稿时长
6 months
期刊介绍: Biodegradation publishes papers, reviews and mini-reviews on the biotransformation, mineralization, detoxification, recycling, amelioration or treatment of chemicals or waste materials by naturally-occurring microbial strains, microbial associations, or recombinant organisms. Coverage spans a range of topics, including Biochemistry of biodegradative pathways; Genetics of biodegradative organisms and development of recombinant biodegrading organisms; Molecular biology-based studies of biodegradative microbial communities; Enhancement of naturally-occurring biodegradative properties and activities. Also featured are novel applications of biodegradation and biotransformation technology, to soil, water, sewage, heavy metals and radionuclides, organohalogens, high-COD wastes, straight-, branched-chain and aromatic hydrocarbons; Coverage extends to design and scale-up of laboratory processes and bioreactor systems. Also offered are papers on economic and legal aspects of biological treatment of waste.
×
引用
GB/T 7714-2015
复制
MLA
复制
APA
复制
导出至
BibTeX EndNote RefMan NoteFirst NoteExpress
×
提示
您的信息不完整,为了账户安全,请先补充。
现在去补充
×
提示
您因"违规操作"
具体请查看互助需知
我知道了
×
提示
确定
请完成安全验证×
copy
已复制链接
快去分享给好友吧!
我知道了
右上角分享
点击右上角分享
0
联系我们:info@booksci.cn Book学术提供免费学术资源搜索服务,方便国内外学者检索中英文文献。致力于提供最便捷和优质的服务体验。 Copyright © 2023 布克学术 All rights reserved.
京ICP备2023020795号-1
ghs 京公网安备 11010802042870号
Book学术文献互助
Book学术文献互助群
群 号:604180095
Book学术官方微信