Isolation of Shiga toxin-producing Escherichia coli from sheep faecal samples: bacteriological findings.

Access microbiology Pub Date : 2025-07-21 eCollection Date: 2025-01-01 DOI:10.1099/acmi.0.001004.v3
Xhelil Koleci, Pëllumb Zalla, Majlind Sulçe, Tristan Russell, Gerald Muça, Egon Andoni, Séamus Fanning
{"title":"Isolation of Shiga toxin-producing Escherichia coli from sheep faecal samples: bacteriological findings.","authors":"Xhelil Koleci, Pëllumb Zalla, Majlind Sulçe, Tristan Russell, Gerald Muça, Egon Andoni, Séamus Fanning","doi":"10.1099/acmi.0.001004.v3","DOIUrl":null,"url":null,"abstract":"<p><p>Shiga toxin-producing <i>Escherichia coli</i> (STEC) poses a significant public health risk due to its zoonotic potential and association with foodborne outbreaks. This study investigates the presence of STEC in faecal samples collected from sheep, focusing on bacteriological methods for isolation and preliminary characterization. Growth on selective agar showed that 90 of 140 faecal samples were positive for STEC. The total average prevalence was 64.3% (95% CI 56.1-71.7%). The highest prevalence was 71.4% (54.9-83.7%), recorded in summertime, while the lowest was 51.4% (35.6-67%) in the autumn. Selected isolates were found to be resistant to commonly used antibiotics, with isolates expressing a resistant phenotype to two, three or more of the tested antibiotics. Based on the Biocheck.UGent system for risk-based assessment of farm biosecurity, the total, internal and exterior average farm biosecurity scores were substantially lower than the world average.</p>","PeriodicalId":94366,"journal":{"name":"Access microbiology","volume":"7 7","pages":""},"PeriodicalIF":0.0000,"publicationDate":"2025-07-21","publicationTypes":"Journal Article","fieldsOfStudy":null,"isOpenAccess":false,"openAccessPdf":"https://www.ncbi.nlm.nih.gov/pmc/articles/PMC12284411/pdf/","citationCount":"0","resultStr":null,"platform":"Semanticscholar","paperid":null,"PeriodicalName":"Access microbiology","FirstCategoryId":"1085","ListUrlMain":"https://doi.org/10.1099/acmi.0.001004.v3","RegionNum":0,"RegionCategory":null,"ArticlePicture":[],"TitleCN":null,"AbstractTextCN":null,"PMCID":null,"EPubDate":"2025/1/1 0:00:00","PubModel":"eCollection","JCR":"","JCRName":"","Score":null,"Total":0}
引用次数: 0

Abstract

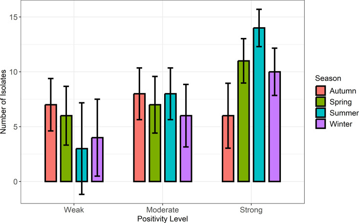
Shiga toxin-producing Escherichia coli (STEC) poses a significant public health risk due to its zoonotic potential and association with foodborne outbreaks. This study investigates the presence of STEC in faecal samples collected from sheep, focusing on bacteriological methods for isolation and preliminary characterization. Growth on selective agar showed that 90 of 140 faecal samples were positive for STEC. The total average prevalence was 64.3% (95% CI 56.1-71.7%). The highest prevalence was 71.4% (54.9-83.7%), recorded in summertime, while the lowest was 51.4% (35.6-67%) in the autumn. Selected isolates were found to be resistant to commonly used antibiotics, with isolates expressing a resistant phenotype to two, three or more of the tested antibiotics. Based on the Biocheck.UGent system for risk-based assessment of farm biosecurity, the total, internal and exterior average farm biosecurity scores were substantially lower than the world average.

Abstract Image

Abstract Image

Abstract Image

从绵羊粪便样本中分离出产志贺毒素的大肠杆菌:细菌学发现。
产志贺毒素的大肠杆菌(STEC)由于其人畜共患的潜力和与食源性暴发的关联,构成重大的公共卫生风险。本研究调查了绵羊粪便样本中产志贺毒素大肠杆菌的存在,重点研究了分离和初步鉴定的细菌学方法。在选择性琼脂上生长显示140份粪便样本中有90份产志贺毒素大肠杆菌阳性。总平均患病率为64.3% (95% CI 56.1-71.7%)。夏季患病率最高,为71.4%(54.9 ~ 83.7%),秋季最低,为51.4%(35.6 ~ 67%)。发现选定的分离株对常用抗生素具有耐药性,分离株对两种、三种或更多种测试抗生素表达耐药表型。基于Biocheck。在基于风险的农场生物安全评估系统中,农场生物安全总分、内部和外部平均得分均显著低于世界平均水平。
本文章由计算机程序翻译,如有差异,请以英文原文为准。
求助全文
约1分钟内获得全文 求助全文
来源期刊
CiteScore
2.00
自引率
0.00%
发文量
0
×
引用
GB/T 7714-2015
复制
MLA
复制
APA
复制
导出至
BibTeX EndNote RefMan NoteFirst NoteExpress
×
提示
您的信息不完整,为了账户安全,请先补充。
现在去补充
×
提示
您因"违规操作"
具体请查看互助需知
我知道了
×
提示
确定
请完成安全验证×
copy
已复制链接
快去分享给好友吧!
我知道了
右上角分享
点击右上角分享
0
联系我们:info@booksci.cn Book学术提供免费学术资源搜索服务,方便国内外学者检索中英文文献。致力于提供最便捷和优质的服务体验。 Copyright © 2023 布克学术 All rights reserved.
京ICP备2023020795号-1
ghs 京公网安备 11010802042870号
Book学术文献互助
Book学术文献互助群
群 号:604180095
Book学术官方微信