Higher fat-soluble vitamin and phosphorus intake are associated with less dental caries among children and adolescents in the United States, NHANES 2011-2018.

IF 3.1 Q1 DENTISTRY, ORAL SURGERY & MEDICINE
Frontiers in oral health Pub Date : 2025-07-09 eCollection Date: 2025-01-01 DOI:10.3389/froh.2025.1617695
Durdana Khan, Ixel Hernandez-Castro, Doreen Y Larvie, Seth M Armah, Andres Cardenas, Ashley J Malin
{"title":"Higher fat-soluble vitamin and phosphorus intake are associated with less dental caries among children and adolescents in the United States, NHANES 2011-2018.","authors":"Durdana Khan, Ixel Hernandez-Castro, Doreen Y Larvie, Seth M Armah, Andres Cardenas, Ashley J Malin","doi":"10.3389/froh.2025.1617695","DOIUrl":null,"url":null,"abstract":"<p><strong>Introduction: </strong>Historic research shows that a diet rich in calcium, phosphorus, fat-soluble vitamins, and vitamin C, and low in phytates may help to prevent and arrest dental caries; however, current research on this topic is scarce. We examined associations of dietary intake of these nutrients with dental caries prevalence in the United States among youth 1-19 years old.</p><p><strong>Methods: </strong>The study included 2,676 young children (1-5 years), 3,214 older children (6-11 years) and 3,701 adolescents (12-19 years) from the National Health and Nutrition Examination Survey (NHANES 2011-2018). Daily nutrient intake was ascertained via two 24 h recalls. We assessed the number and presence (yes/no) of decayed and/or filled teeth (DFT) among young children and decayed, missing and/or filled teeth (DMFT) among older children and adolescents. Covariate-adjusted survey-weighted negative binomial regression was used to examine associations of nutrient quartiles with DFT or DMFT scores. We examined joint associations of nutrients with the probability of caries using the probit extension of Bayesian Kernel Machine Regression.</p><p><strong>Results: </strong>Mean (SD) DFT or DMFT scores were 0.82 (2.23) for young children, 2.08 (2.81) for older children and 2.51 (3.35) for adolescents. Higher phosphorus and vitamin A intake was associated with fewer DFT among young children [incident rate ratio (IRR) = 0.52, 95% CI: 0.29-0.94, <i>p</i> = 0.03, and IRR = 0.60, 95% CI: 0.37-0.95, <i>p</i> = 0.03, respectively]. Unexpectedly, higher intake of phytates was also associated with lower DFT scores among young children (IRR = 0.37, 95% CI: 0.21-0.65, <i>p</i> = 0.001). Higher phosphorus and vitamin E intake was associated with fewer DMFT among older children (IRR = 0.58, 95% CI: 0.40-0.84, <i>p</i> = 0.003 and IRR = 0.73, 95% CI: 0.54-0.97, <i>p</i> = 0.03, respectively). For adolescents, higher phosphorus and vitamin K intake was associated with fewer DMFT (IRR = 0.72, 95% CI: 0.53-0.99, <i>p</i> < 0.05; IRR = 0.82, 95% CI: 0.68-0.97, <i>p</i> = 0.02, respectively). The joint effect of nutrients was also associated with lower odds of DMFT. Setting all nutrients at their 75th relative to 50th percentiles was associated with 0.87 [95% credible interval (CrI): 0.81, 0.94] and 0.92 (95% CrI: 0.85, 0.99) lower odds of DMFT in older children and adolescents, respectively. Phosphorus and vitamin K contributed most to these associations.</p><p><strong>Conclusion: </strong>Fat-soluble vitamins and phosphorus may have systemic dental benefits that warrant further investigation.</p>","PeriodicalId":94016,"journal":{"name":"Frontiers in oral health","volume":"6 ","pages":"1617695"},"PeriodicalIF":3.1000,"publicationDate":"2025-07-09","publicationTypes":"Journal Article","fieldsOfStudy":null,"isOpenAccess":false,"openAccessPdf":"https://www.ncbi.nlm.nih.gov/pmc/articles/PMC12283692/pdf/","citationCount":"0","resultStr":null,"platform":"Semanticscholar","paperid":null,"PeriodicalName":"Frontiers in oral health","FirstCategoryId":"1085","ListUrlMain":"https://doi.org/10.3389/froh.2025.1617695","RegionNum":0,"RegionCategory":null,"ArticlePicture":[],"TitleCN":null,"AbstractTextCN":null,"PMCID":null,"EPubDate":"2025/1/1 0:00:00","PubModel":"eCollection","JCR":"Q1","JCRName":"DENTISTRY, ORAL SURGERY & MEDICINE","Score":null,"Total":0}
引用次数: 0

Abstract

Introduction: Historic research shows that a diet rich in calcium, phosphorus, fat-soluble vitamins, and vitamin C, and low in phytates may help to prevent and arrest dental caries; however, current research on this topic is scarce. We examined associations of dietary intake of these nutrients with dental caries prevalence in the United States among youth 1-19 years old.

Methods: The study included 2,676 young children (1-5 years), 3,214 older children (6-11 years) and 3,701 adolescents (12-19 years) from the National Health and Nutrition Examination Survey (NHANES 2011-2018). Daily nutrient intake was ascertained via two 24 h recalls. We assessed the number and presence (yes/no) of decayed and/or filled teeth (DFT) among young children and decayed, missing and/or filled teeth (DMFT) among older children and adolescents. Covariate-adjusted survey-weighted negative binomial regression was used to examine associations of nutrient quartiles with DFT or DMFT scores. We examined joint associations of nutrients with the probability of caries using the probit extension of Bayesian Kernel Machine Regression.

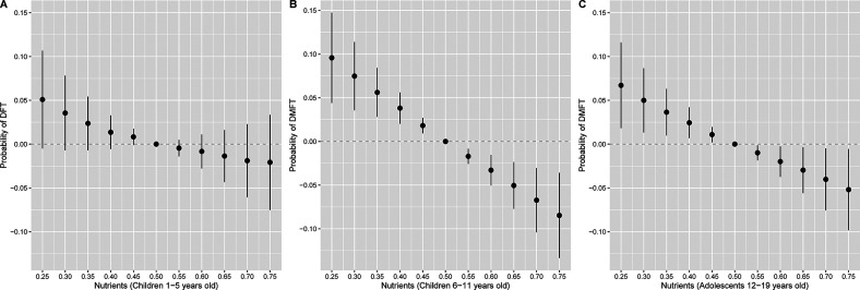
Results: Mean (SD) DFT or DMFT scores were 0.82 (2.23) for young children, 2.08 (2.81) for older children and 2.51 (3.35) for adolescents. Higher phosphorus and vitamin A intake was associated with fewer DFT among young children [incident rate ratio (IRR) = 0.52, 95% CI: 0.29-0.94, p = 0.03, and IRR = 0.60, 95% CI: 0.37-0.95, p = 0.03, respectively]. Unexpectedly, higher intake of phytates was also associated with lower DFT scores among young children (IRR = 0.37, 95% CI: 0.21-0.65, p = 0.001). Higher phosphorus and vitamin E intake was associated with fewer DMFT among older children (IRR = 0.58, 95% CI: 0.40-0.84, p = 0.003 and IRR = 0.73, 95% CI: 0.54-0.97, p = 0.03, respectively). For adolescents, higher phosphorus and vitamin K intake was associated with fewer DMFT (IRR = 0.72, 95% CI: 0.53-0.99, p < 0.05; IRR = 0.82, 95% CI: 0.68-0.97, p = 0.02, respectively). The joint effect of nutrients was also associated with lower odds of DMFT. Setting all nutrients at their 75th relative to 50th percentiles was associated with 0.87 [95% credible interval (CrI): 0.81, 0.94] and 0.92 (95% CrI: 0.85, 0.99) lower odds of DMFT in older children and adolescents, respectively. Phosphorus and vitamin K contributed most to these associations.

Conclusion: Fat-soluble vitamins and phosphorus may have systemic dental benefits that warrant further investigation.

Abstract Image

Abstract Image

Abstract Image

NHANES 2011-2018,在美国儿童和青少年中,高脂溶性维生素和磷的摄入量与较少的龋齿有关。
导读:历史研究表明,富含钙、磷、脂溶性维生素和维生素C的饮食,以及低植酸盐的饮食可能有助于预防和抑制龋齿;然而,目前关于这一主题的研究很少。我们研究了在美国1-19岁的青少年中,这些营养素的饮食摄入与龋齿患病率之间的关系。方法:该研究包括来自国家健康与营养检查调查(NHANES 2011-2018)的2676名幼儿(1-5岁)、3214名较大儿童(6-11岁)和3701名青少年(12-19岁)。通过两次24小时回忆确定每日营养摄入量。我们评估了幼儿中蛀牙和/或补牙(DFT)的数量和存在(是/否),以及年龄较大的儿童和青少年中蛀牙、缺牙和/或补牙(DMFT)的数量和存在。使用协变量调整调查加权负二项回归来检查营养四分位数与DFT或DMFT评分的关联。我们使用贝叶斯核机回归的概率扩展来检验营养物质与龋齿概率的联合关联。结果:幼儿DFT或DMFT平均(SD)评分为0.82(2.23),大龄儿童2.08(2.81),青少年2.51(3.35)。在幼儿中,高磷和维生素A摄入量与较少的DFT相关[发生率比(IRR) = 0.52, 95% CI: 0.29-0.94, p = 0.03, IRR = 0.60, 95% CI: 0.37-0.95, p = 0.03]。出乎意料的是,在幼儿中,较高的植酸盐摄入量也与较低的DFT评分相关(IRR = 0.37, 95% CI: 0.21-0.65, p = 0.001)。较高的磷和维生素E摄入量与年龄较大的儿童DMFT减少有关(IRR = 0.58, 95% CI: 0.40-0.84, p = 0.003; IRR = 0.73, 95% CI: 0.54-0.97, p = 0.03)。对于青少年,高磷和维生素K摄入量与较少的DMFT相关(IRR = 0.72, 95% CI: 0.53-0.99, p = 0.02)。营养物质的共同作用也与DMFT的低几率有关。将所有营养物质设置在第75至50百分位时,年龄较大的儿童和青少年DMFT的发生率分别降低0.87[95%可信区间(CrI): 0.81, 0.94]和0.92(95%可信区间:0.85,0.99)。磷和维生素K对这些关联贡献最大。结论:脂溶性维生素和磷可能对全身牙齿有益,值得进一步研究。
本文章由计算机程序翻译,如有差异,请以英文原文为准。
求助全文
约1分钟内获得全文 求助全文
来源期刊
CiteScore
3.30
自引率
0.00%
发文量
0
审稿时长
13 weeks
×
引用
GB/T 7714-2015
复制
MLA
复制
APA
复制
导出至
BibTeX EndNote RefMan NoteFirst NoteExpress
×
提示
您的信息不完整,为了账户安全,请先补充。
现在去补充
×
提示
您因"违规操作"
具体请查看互助需知
我知道了
×
提示
确定
请完成安全验证×
copy
已复制链接
快去分享给好友吧!
我知道了
右上角分享
点击右上角分享
0
联系我们:info@booksci.cn Book学术提供免费学术资源搜索服务,方便国内外学者检索中英文文献。致力于提供最便捷和优质的服务体验。 Copyright © 2023 布克学术 All rights reserved.
京ICP备2023020795号-1
ghs 京公网安备 11010802042870号
Book学术文献互助
Book学术文献互助群
群 号:604180095
Book学术官方微信