Severity Indices of Personality Problems (SIPP-118): Dutch Norms, T-scores, and Percentile Rank Scores.

IF 2.7 3区 医学 Q3 PSYCHIATRY
Edwin de Beurs, Laura Weekers, Dineke J Feenstra
{"title":"Severity Indices of Personality Problems (SIPP-118): Dutch Norms, T-scores, and Percentile Rank Scores.","authors":"Edwin de Beurs, Laura Weekers, Dineke J Feenstra","doi":"10.1002/pmh.70030","DOIUrl":null,"url":null,"abstract":"<p><p>For the SIPP-118, a widely used instrument for measuring the severity of personality disorders in 16 facets and five domains, T-scores, and percentile rank scores were established. Various approaches based on classical test theory and item response theory (IRT) for establishing T-scores were compared, which are assumed to achieve in-creasing levels of accuracy. Three approaches were evaluated: (1) a simple linear conversion of raw scores to T-scores, (2) a normalizing conversion (Rankit), and (3) an approach based on IRT. We compared T-scores resulting from these approaches with IRT-based factor scores. The findings show that the linear approach produced distorted T-scores for many facets of the SIPP-118, especially in the lower, more pathological range of scores. The Rankit and IRT-based approaches yielded in practice almost identical T-scores and both corresponded quite well with factor scores that were actually based on an IRT model for these facets or domain scores. Implications for the practice of establishing T-scores are discussed. IRT provided the most accurate trait estimates, but it requires a complex calculation that takes into account item parameters and the individual's response pattern. Regression-based IRT-score approximations and Rankit-based T-scores yielded adequate estimates as well.</p>","PeriodicalId":46871,"journal":{"name":"Personality and Mental Health","volume":"19 3","pages":"e70030"},"PeriodicalIF":2.7000,"publicationDate":"2025-08-01","publicationTypes":"Journal Article","fieldsOfStudy":null,"isOpenAccess":false,"openAccessPdf":"https://www.ncbi.nlm.nih.gov/pmc/articles/PMC12287623/pdf/","citationCount":"0","resultStr":null,"platform":"Semanticscholar","paperid":null,"PeriodicalName":"Personality and Mental Health","FirstCategoryId":"3","ListUrlMain":"https://doi.org/10.1002/pmh.70030","RegionNum":3,"RegionCategory":"医学","ArticlePicture":[],"TitleCN":null,"AbstractTextCN":null,"PMCID":null,"EPubDate":"","PubModel":"","JCR":"Q3","JCRName":"PSYCHIATRY","Score":null,"Total":0}
引用次数: 0

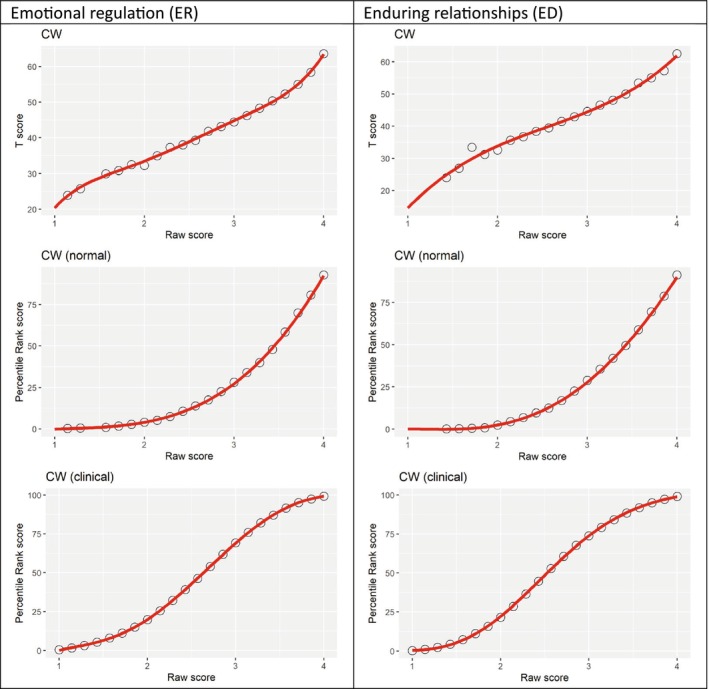
Abstract

For the SIPP-118, a widely used instrument for measuring the severity of personality disorders in 16 facets and five domains, T-scores, and percentile rank scores were established. Various approaches based on classical test theory and item response theory (IRT) for establishing T-scores were compared, which are assumed to achieve in-creasing levels of accuracy. Three approaches were evaluated: (1) a simple linear conversion of raw scores to T-scores, (2) a normalizing conversion (Rankit), and (3) an approach based on IRT. We compared T-scores resulting from these approaches with IRT-based factor scores. The findings show that the linear approach produced distorted T-scores for many facets of the SIPP-118, especially in the lower, more pathological range of scores. The Rankit and IRT-based approaches yielded in practice almost identical T-scores and both corresponded quite well with factor scores that were actually based on an IRT model for these facets or domain scores. Implications for the practice of establishing T-scores are discussed. IRT provided the most accurate trait estimates, but it requires a complex calculation that takes into account item parameters and the individual's response pattern. Regression-based IRT-score approximations and Rankit-based T-scores yielded adequate estimates as well.

Abstract Image

Abstract Image

Abstract Image

人格问题严重程度指数(SIPP-118):荷兰标准、t分数和百分位等级分数。
SIPP-118是一种广泛使用的工具,用于测量人格障碍的16个方面和5个领域的严重程度,建立了t分数和百分位等级分数。比较了基于经典测试理论和项目反应理论(IRT)的各种建立t -分数的方法,并假设它们的准确性水平不断提高。评估了三种方法:(1)原始分数到t分数的简单线性转换,(2)规范化转换(Rankit)和(3)基于IRT的方法。我们将这些方法得到的t得分与基于irt的因子得分进行了比较。研究结果表明,线性方法对SIPP-118的许多方面产生了扭曲的t分数,特别是在较低的、更病理的分数范围内。Rankit和基于IRT的方法在实践中产生了几乎相同的t分数,并且两者都与基于IRT模型的这些方面或领域分数的因素分数相当吻合。本文讨论了建立t分数的实践意义。IRT提供了最准确的特质估计,但它需要一个复杂的计算,考虑到项目参数和个人的反应模式。基于回归的irt评分近似和基于rankit的t评分也产生了足够的估计。
本文章由计算机程序翻译,如有差异,请以英文原文为准。
求助全文
约1分钟内获得全文 求助全文
来源期刊
CiteScore
4.80
自引率
14.80%
发文量
38
期刊介绍: Personality and Mental Health: Multidisciplinary Studies from Personality Dysfunction to Criminal Behaviour aims to lead and shape the international field in this rapidly expanding area, uniting three distinct literatures: DSM-IV/ICD-10 defined personality disorders, psychopathy and offending behaviour. Through its multi-disciplinary and service orientated approach, Personality and Mental Health provides a peer-reviewed, authoritative resource for researchers, practitioners and policy makers working in the areas of personality and mental health.
×
引用
GB/T 7714-2015
复制
MLA
复制
APA
复制
导出至
BibTeX EndNote RefMan NoteFirst NoteExpress
×
提示
您的信息不完整,为了账户安全,请先补充。
现在去补充
×
提示
您因"违规操作"
具体请查看互助需知
我知道了
×
提示
确定
请完成安全验证×
copy
已复制链接
快去分享给好友吧!
我知道了
右上角分享
点击右上角分享
0
联系我们:info@booksci.cn Book学术提供免费学术资源搜索服务,方便国内外学者检索中英文文献。致力于提供最便捷和优质的服务体验。 Copyright © 2023 布克学术 All rights reserved.
京ICP备2023020795号-1
ghs 京公网安备 11010802042870号
Book学术文献互助
Book学术文献互助群
群 号:604180095
Book学术官方微信