Third-Generation Trabecular Micro-Bypass Implantation and Phacoemulsification in Patients with Glaucoma: A Multicenter Study.

IF 1.8 Q2 Medicine
Mitchell Shultz, Zachary M Vest, Valerie Trubnik, Steven R Sarkisian, Dana M Hornbeak
{"title":"Third-Generation Trabecular Micro-Bypass Implantation and Phacoemulsification in Patients with Glaucoma: A Multicenter Study.","authors":"Mitchell Shultz, Zachary M Vest, Valerie Trubnik, Steven R Sarkisian, Dana M Hornbeak","doi":"10.3390/vision9030061","DOIUrl":null,"url":null,"abstract":"<p><p>This multicenter study evaluated the effectiveness and safety of third-generation trabecular micro-bypass implantation (iStent<sup>®</sup> infinite) combined with phacoemulsification (n = 233 eyes). Key outcomes through 12 months included the mean change in intraocular pressure (IOP) and the number of topical medications, as well as proportions achieving IOPs ≤ 18/15/12 mmHg or using 0/1/2/ ≥ 3 medications. In all eyes with 12-month follow-up data (n = 96, consistent cohort), the mean IOP reduced from 17.2 ± 4.2 mmHg preoperatively to 13.8 ± 3.0 mmHg at Month 12 (<i>p</i> = 0.001), while the mean number of medications reduced from 1.24 ± 0.91 preoperatively to 0.61 ± 0.96 at Month 12 (<i>p</i> = 0.001). The proportions of eyes achieving IOP ≤ 18/15/12 mmHg increased from 63.5%, 34.4%, and 14.6% preoperatively to 92.7%, 71.9%, and 37.5%, respectively at Month 12, (all <i>p</i> = 0.001). The proportions of eyes off medication increased from 16.7% preoperatively to 62.5% at Month 12 (<i>p</i> = 0.001). This study provides clinically relevant, real-world results that demonstrate significant reductions in IOP and the number of topical glaucoma medications required following iStent infinite trabecular micro-bypass and phacoemulsification.</p>","PeriodicalId":36586,"journal":{"name":"Vision (Switzerland)","volume":"9 3","pages":""},"PeriodicalIF":1.8000,"publicationDate":"2025-07-19","publicationTypes":"Journal Article","fieldsOfStudy":null,"isOpenAccess":false,"openAccessPdf":"https://www.ncbi.nlm.nih.gov/pmc/articles/PMC12286079/pdf/","citationCount":"0","resultStr":null,"platform":"Semanticscholar","paperid":null,"PeriodicalName":"Vision (Switzerland)","FirstCategoryId":"1085","ListUrlMain":"https://doi.org/10.3390/vision9030061","RegionNum":0,"RegionCategory":null,"ArticlePicture":[],"TitleCN":null,"AbstractTextCN":null,"PMCID":null,"EPubDate":"","PubModel":"","JCR":"Q2","JCRName":"Medicine","Score":null,"Total":0}
引用次数: 0

Abstract

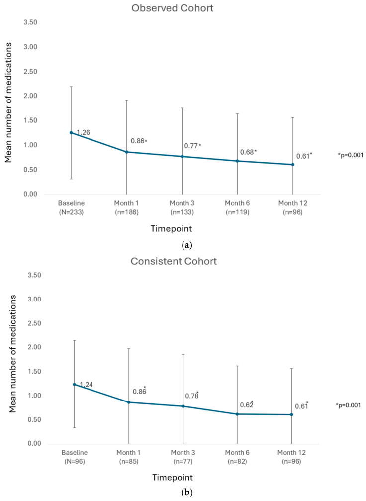
This multicenter study evaluated the effectiveness and safety of third-generation trabecular micro-bypass implantation (iStent® infinite) combined with phacoemulsification (n = 233 eyes). Key outcomes through 12 months included the mean change in intraocular pressure (IOP) and the number of topical medications, as well as proportions achieving IOPs ≤ 18/15/12 mmHg or using 0/1/2/ ≥ 3 medications. In all eyes with 12-month follow-up data (n = 96, consistent cohort), the mean IOP reduced from 17.2 ± 4.2 mmHg preoperatively to 13.8 ± 3.0 mmHg at Month 12 (p = 0.001), while the mean number of medications reduced from 1.24 ± 0.91 preoperatively to 0.61 ± 0.96 at Month 12 (p = 0.001). The proportions of eyes achieving IOP ≤ 18/15/12 mmHg increased from 63.5%, 34.4%, and 14.6% preoperatively to 92.7%, 71.9%, and 37.5%, respectively at Month 12, (all p = 0.001). The proportions of eyes off medication increased from 16.7% preoperatively to 62.5% at Month 12 (p = 0.001). This study provides clinically relevant, real-world results that demonstrate significant reductions in IOP and the number of topical glaucoma medications required following iStent infinite trabecular micro-bypass and phacoemulsification.

Abstract Image

Abstract Image

Abstract Image

青光眼患者的第三代小梁微桥植入术和超声乳化术:一项多中心研究。
本多中心研究评估了第三代小梁微搭桥植入术(iStent®infinite)联合超声乳化术的有效性和安全性(n = 233眼)。12个月的主要结局包括眼压(IOP)的平均变化和外用药物的数量,以及眼压≤18/15/12 mmHg或使用0/1/2/≥3种药物的比例。在随访12个月的所有眼中(n = 96,一致队列),平均IOP从术前17.2±4.2 mmHg下降到12个月时的13.8±3.0 mmHg (p = 0.001),平均用药次数从术前1.24±0.91减少到12个月时的0.61±0.96 (p = 0.001)。IOP≤18/15/12 mmHg的眼睛比例分别由术前的63.5%、34.4%、14.6%上升至术后第12个月的92.7%、71.9%、37.5%,差异均有统计学意义(p = 0.001)。眼停药比例由术前的16.7%上升至第12个月的62.5% (p = 0.001)。该研究提供了临床相关的真实结果,证明了IOP和体外无限小梁微搭桥和超声乳化手术后所需的局部青光眼药物数量显著降低。
本文章由计算机程序翻译,如有差异,请以英文原文为准。
求助全文
约1分钟内获得全文 求助全文
来源期刊
Vision (Switzerland)
Vision (Switzerland) Health Professions-Optometry
CiteScore
2.30
自引率
0.00%
发文量
62
审稿时长
11 weeks
×
引用
GB/T 7714-2015
复制
MLA
复制
APA
复制
导出至
BibTeX EndNote RefMan NoteFirst NoteExpress
×
提示
您的信息不完整,为了账户安全,请先补充。
现在去补充
×
提示
您因"违规操作"
具体请查看互助需知
我知道了
×
提示
确定
请完成安全验证×
copy
已复制链接
快去分享给好友吧!
我知道了
右上角分享
点击右上角分享
0
联系我们:info@booksci.cn Book学术提供免费学术资源搜索服务,方便国内外学者检索中英文文献。致力于提供最便捷和优质的服务体验。 Copyright © 2023 布克学术 All rights reserved.
京ICP备2023020795号-1
ghs 京公网安备 11010802042870号
Book学术文献互助
Book学术文献互助群
群 号:604180095
Book学术官方微信