Brightening dark excitons and trions in systems with a Mexican-hat energy dispersion: example of InSe.

IF 8.8 2区 材料科学 Q1 MATERIALS SCIENCE, MULTIDISCIPLINARY
npj 2D Materials and Applications Pub Date : 2025-01-01 Epub Date: 2025-07-21 DOI:10.1038/s41699-025-00570-4
Lewis J Burke, Mark T Greenaway, Joseph J Betouras
{"title":"Brightening dark excitons and trions in systems with a Mexican-hat energy dispersion: example of InSe.","authors":"Lewis J Burke, Mark T Greenaway, Joseph J Betouras","doi":"10.1038/s41699-025-00570-4","DOIUrl":null,"url":null,"abstract":"<p><p>We investigate the properties of momentum-dark excitons and trions formed in two-dimensional (2D) materials that exhibit an inverted Mexican hat-shaped-dispersion relation, taking as an example monolayer InSe. We employ variational techniques to obtain the momentum-dark ground state and bright state (non-zero and zero quasiparticle momenta, respectively). These states are particularly relevant due to their peaks in the quasiparticle density of states, where for the momentum-dark ground state, the contribution here is largest due to the presence of a van Hove singularity (VHS). The momentum-dark systems require a brightening procedure to provide the necessary momentum to become bright. We study the brightening through coupling to phonons and compute the photoluminescence spectrum. This work opens new avenues of research, such as exploiting dark excitons in solar cells and other semiconductor-based optoelectronic devices.</p>","PeriodicalId":19227,"journal":{"name":"npj 2D Materials and Applications","volume":"9 1","pages":"63"},"PeriodicalIF":8.8000,"publicationDate":"2025-01-01","publicationTypes":"Journal Article","fieldsOfStudy":null,"isOpenAccess":false,"openAccessPdf":"https://www.ncbi.nlm.nih.gov/pmc/articles/PMC12279542/pdf/","citationCount":"0","resultStr":null,"platform":"Semanticscholar","paperid":null,"PeriodicalName":"npj 2D Materials and Applications","FirstCategoryId":"88","ListUrlMain":"https://doi.org/10.1038/s41699-025-00570-4","RegionNum":2,"RegionCategory":"材料科学","ArticlePicture":[],"TitleCN":null,"AbstractTextCN":null,"PMCID":null,"EPubDate":"2025/7/21 0:00:00","PubModel":"Epub","JCR":"Q1","JCRName":"MATERIALS SCIENCE, MULTIDISCIPLINARY","Score":null,"Total":0}
引用次数: 0

Abstract

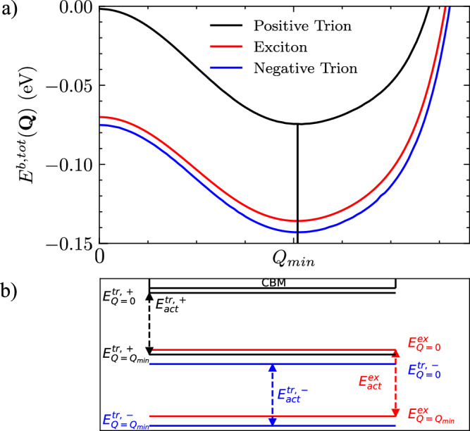
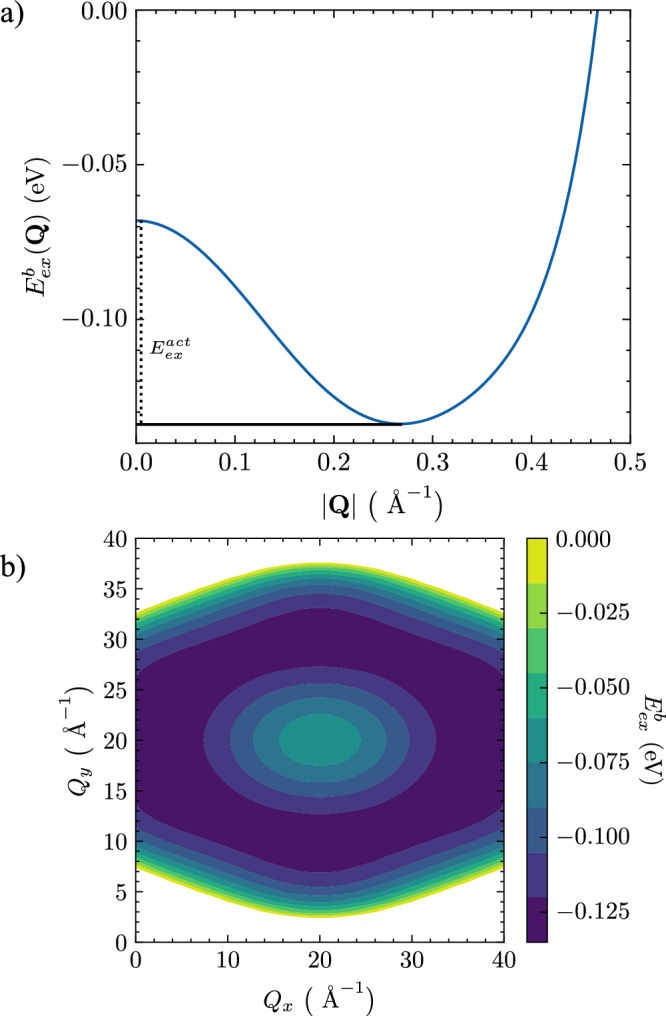
We investigate the properties of momentum-dark excitons and trions formed in two-dimensional (2D) materials that exhibit an inverted Mexican hat-shaped-dispersion relation, taking as an example monolayer InSe. We employ variational techniques to obtain the momentum-dark ground state and bright state (non-zero and zero quasiparticle momenta, respectively). These states are particularly relevant due to their peaks in the quasiparticle density of states, where for the momentum-dark ground state, the contribution here is largest due to the presence of a van Hove singularity (VHS). The momentum-dark systems require a brightening procedure to provide the necessary momentum to become bright. We study the brightening through coupling to phonons and compute the photoluminescence spectrum. This work opens new avenues of research, such as exploiting dark excitons in solar cells and other semiconductor-based optoelectronic devices.

Abstract Image

Abstract Image

Abstract Image

用墨西哥帽能量色散使系统中的暗激子和三角子变亮:InSe的例子。
我们研究了二维(2D)材料中形成的动量暗激子和三角子的性质,这些材料表现出倒置的墨西哥帽状色散关系,以单层InSe为例。我们采用变分技术获得了动量暗基态和亮态(分别是非零和零准粒子动量)。这些状态特别相关,因为它们的峰值在准粒子密度的状态,其中动量暗基态,这里的贡献是最大的,由于范霍夫奇点(VHS)的存在。动量暗系统需要一个增亮过程来提供必要的变亮动量。我们研究了与声子的耦合增亮,并计算了光致发光光谱。这项工作开辟了新的研究途径,例如利用太阳能电池和其他半导体光电器件中的暗激子。
本文章由计算机程序翻译,如有差异,请以英文原文为准。
求助全文
约1分钟内获得全文 求助全文
来源期刊
npj 2D Materials and Applications
npj 2D Materials and Applications Engineering-Mechanics of Materials
CiteScore
14.50
自引率
2.10%
发文量
80
审稿时长
15 weeks
期刊介绍: npj 2D Materials and Applications publishes papers on the fundamental behavior, synthesis, properties and applications of existing and emerging 2D materials. By selecting papers with the potential for impact, the journal aims to facilitate the transfer of the research of 2D materials into wide-ranging applications.
×
引用
GB/T 7714-2015
复制
MLA
复制
APA
复制
导出至
BibTeX EndNote RefMan NoteFirst NoteExpress
×
提示
您的信息不完整,为了账户安全,请先补充。
现在去补充
×
提示
您因"违规操作"
具体请查看互助需知
我知道了
×
提示
确定
请完成安全验证×
copy
已复制链接
快去分享给好友吧!
我知道了
右上角分享
点击右上角分享
0
联系我们:info@booksci.cn Book学术提供免费学术资源搜索服务,方便国内外学者检索中英文文献。致力于提供最便捷和优质的服务体验。 Copyright © 2023 布克学术 All rights reserved.
京ICP备2023020795号-1
ghs 京公网安备 11010802042870号
Book学术文献互助
Book学术文献互助群
群 号:604180095
Book学术官方微信