Hemodynamic volatility in children and young adults with down syndrome during procedural sedation.

IF 4.1 2区 医学 Q1 PERIPHERAL VASCULAR DISEASE
Journal of Hypertension Pub Date : 2025-10-01 Epub Date: 2025-07-22 DOI:10.1097/HJH.0000000000004107
Justin Abe, Panteha Hayati Rezvan, Benjamin N Vogel, Lilia Kazerooni, Maeve C Lucas, Mariam M Yousuf, Mackenzie Silverman, Deepti Nagesh, Saba Jafarpour, Jonathan D Santoro
{"title":"Hemodynamic volatility in children and young adults with down syndrome during procedural sedation.","authors":"Justin Abe, Panteha Hayati Rezvan, Benjamin N Vogel, Lilia Kazerooni, Maeve C Lucas, Mariam M Yousuf, Mackenzie Silverman, Deepti Nagesh, Saba Jafarpour, Jonathan D Santoro","doi":"10.1097/HJH.0000000000004107","DOIUrl":null,"url":null,"abstract":"<p><strong>Objective: </strong>Individuals with Down syndrome (DS) have been reported to have lower systemic blood pressure compared to individuals without DS. This study sought to retrospectively evaluate biomedical parameters in patients with DS undergoing procedural sedation compared to non-DS controls.</p><p><strong>Methods: </strong>A retrospective observational study was performed comparing children and young adults with DS ( n  = 150) and age-matched non-DS patients ( n  = 146) who underwent procedural sedation. Demographics, comorbidities, and diagnostic studies were assessed, along with preprocedural baseline, median procedural, and procedural nadir systolic blood pressure (SBP), diastolic blood pressure (DBP), and pulse pressure (PP). The average rate of change in SBP and DBP from baseline to nadir was also examined between the two groups.</p><p><strong>Results: </strong>Although baseline SBP, DBP, and PP were comparable between the two groups, individuals with DS showed lower median procedural SBP and DBP ( P  < 0.001) as well as lower procedural nadir SBP, DBP, and PP ( P  < 0.001). Consistent results were found for median SBP ( P  = 0.006) and nadir SBP ( P  = 0.006) percentiles. Notably, the reduction from baseline to nadir during sedation was larger in individuals with DS for both SBP (mean difference [95% CI]: -12.3 [-16.1, -8.6]) and DBP (-10.2 [-13.3, -7.0]) compared to the non-DS controls. These differences remained consistent even after adjusting for demographic factors.</p><p><strong>Conclusions: </strong>Children and young adults with DS exhibited significantly larger blood pressure drops during procedural sedation. Additional research is warranted to investigate the clinical significance of these findings, including the potential for decreased cerebral blood flow in this population during sedation.</p>","PeriodicalId":16043,"journal":{"name":"Journal of Hypertension","volume":" ","pages":"1695-1702"},"PeriodicalIF":4.1000,"publicationDate":"2025-10-01","publicationTypes":"Journal Article","fieldsOfStudy":null,"isOpenAccess":false,"openAccessPdf":"https://www.ncbi.nlm.nih.gov/pmc/articles/PMC12404621/pdf/","citationCount":"0","resultStr":null,"platform":"Semanticscholar","paperid":null,"PeriodicalName":"Journal of Hypertension","FirstCategoryId":"3","ListUrlMain":"https://doi.org/10.1097/HJH.0000000000004107","RegionNum":2,"RegionCategory":"医学","ArticlePicture":[],"TitleCN":null,"AbstractTextCN":null,"PMCID":null,"EPubDate":"2025/7/22 0:00:00","PubModel":"Epub","JCR":"Q1","JCRName":"PERIPHERAL VASCULAR DISEASE","Score":null,"Total":0}
引用次数: 0

Abstract

Objective: Individuals with Down syndrome (DS) have been reported to have lower systemic blood pressure compared to individuals without DS. This study sought to retrospectively evaluate biomedical parameters in patients with DS undergoing procedural sedation compared to non-DS controls.

Methods: A retrospective observational study was performed comparing children and young adults with DS ( n  = 150) and age-matched non-DS patients ( n  = 146) who underwent procedural sedation. Demographics, comorbidities, and diagnostic studies were assessed, along with preprocedural baseline, median procedural, and procedural nadir systolic blood pressure (SBP), diastolic blood pressure (DBP), and pulse pressure (PP). The average rate of change in SBP and DBP from baseline to nadir was also examined between the two groups.

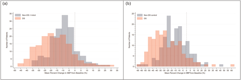
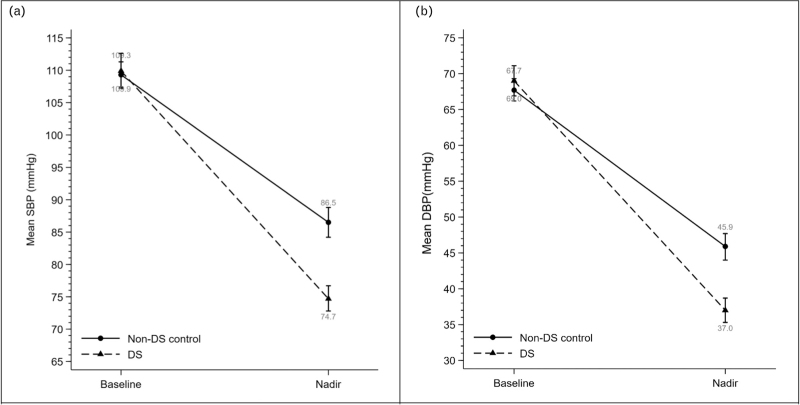
Results: Although baseline SBP, DBP, and PP were comparable between the two groups, individuals with DS showed lower median procedural SBP and DBP ( P  < 0.001) as well as lower procedural nadir SBP, DBP, and PP ( P  < 0.001). Consistent results were found for median SBP ( P  = 0.006) and nadir SBP ( P  = 0.006) percentiles. Notably, the reduction from baseline to nadir during sedation was larger in individuals with DS for both SBP (mean difference [95% CI]: -12.3 [-16.1, -8.6]) and DBP (-10.2 [-13.3, -7.0]) compared to the non-DS controls. These differences remained consistent even after adjusting for demographic factors.

Conclusions: Children and young adults with DS exhibited significantly larger blood pressure drops during procedural sedation. Additional research is warranted to investigate the clinical significance of these findings, including the potential for decreased cerebral blood flow in this population during sedation.

Abstract Image

Abstract Image

Abstract Image

唐氏综合征儿童和青年患者在镇静过程中的血流动力学波动。
目的:据报道,唐氏综合征(DS)患者的全身血压比非唐氏综合征患者低。本研究旨在回顾性评估接受程序性镇静的退行性痴呆患者与非退行性痴呆对照组的生物医学参数。方法:回顾性观察性研究比较了150例儿童和青年退行性椎体滑移患者和146例年龄匹配的非退行性椎体滑移患者。统计数据、合并症和诊断研究,以及手术前基线、手术中位、手术最低点收缩压(SBP)、舒张压(DBP)和脉压(PP)进行评估。两组之间的收缩压和舒张压从基线到最低点的平均变化率也被检查。结果:尽管两组之间的基线收缩压、舒张压和PP相当,但退行性椎体滑移患者的手术收缩压和舒张压中位数较低(P结论:儿童和年轻人退行性椎体滑移患者在手术镇静期间表现出明显较大的血压下降。需要进一步的研究来调查这些发现的临床意义,包括镇静期间该人群脑血流量减少的可能性。
本文章由计算机程序翻译,如有差异,请以英文原文为准。
求助全文
约1分钟内获得全文 求助全文
来源期刊
Journal of Hypertension
Journal of Hypertension 医学-外周血管病
CiteScore
7.90
自引率
6.10%
发文量
1389
审稿时长
3 months
期刊介绍: The Journal of Hypertension publishes papers reporting original clinical and experimental research which are of a high standard and which contribute to the advancement of knowledge in the field of hypertension. The Journal publishes full papers, reviews or editorials (normally by invitation), and correspondence.
×
引用
GB/T 7714-2015
复制
MLA
复制
APA
复制
导出至
BibTeX EndNote RefMan NoteFirst NoteExpress
×
提示
您的信息不完整,为了账户安全,请先补充。
现在去补充
×
提示
您因"违规操作"
具体请查看互助需知
我知道了
×
提示
确定
请完成安全验证×
copy
已复制链接
快去分享给好友吧!
我知道了
右上角分享
点击右上角分享
0
联系我们:info@booksci.cn Book学术提供免费学术资源搜索服务,方便国内外学者检索中英文文献。致力于提供最便捷和优质的服务体验。 Copyright © 2023 布克学术 All rights reserved.
京ICP备2023020795号-1
ghs 京公网安备 11010802042870号
Book学术文献互助
Book学术文献互助群
群 号:604180095
Book学术官方微信