Carbapenem-Resistant Gram-Negative Bacteria in Hospitalized Patients: A Five-Year Surveillance in Italy.

IF 2.4 Q2 INFECTIOUS DISEASES
Marcello Guido, Antonella Zizza, Raffaella Sedile, Milva Nuzzo, Laura Isabella Lupo, Pierfrancesco Grima
{"title":"Carbapenem-Resistant Gram-Negative Bacteria in Hospitalized Patients: A Five-Year Surveillance in Italy.","authors":"Marcello Guido, Antonella Zizza, Raffaella Sedile, Milva Nuzzo, Laura Isabella Lupo, Pierfrancesco Grima","doi":"10.3390/idr17040076","DOIUrl":null,"url":null,"abstract":"<p><p><b>Background/Objectives</b>: Antibiotic resistance is a significant and escalating challenge that limits available therapeutic options. This issue is further exacerbated by the decreasing number of new antibiotics being developed. Our study aims to describe the epidemiology and pattern of antibiotic resistance in Gram-negative infections isolated from a cohort of hospitalized patients and to analyze the distribution of infections within the hospital setting. <b>Methods</b>: A retrospective study was conducted on all patients admitted to Vito Fazzi Hospital in Lecce, Italy, who required an infectious disease consultation due to the isolation of Gram-negative bacteria from 1 January 2018 to 31 December 2022. <b>Results</b>: During the study period, 402 isolates obtained from 382 patients (240 men and 142 women) with infections caused by Gram-negative bacteria were identified. Among these isolated, 226 exhibited multidrug resistance, defined as resistance to at least one antimicrobial agent from three or more different classes. In 2018, the percentage of multidrug-resistant isolates peaked at 87.6%, before decreasing to the lowest level (66.2%) in 2021. Overall, of the 402 isolates, 154 (38.3%) displayed resistance to carbapenems, while 73 (18.1%) were resistant to extended-spectrum beta-lactamases (ESBLs). Among the resistant microorganisms, <i>Klebsiella pneumoniae</i> showed the highest resistance to carbapenems, accounting for 85.2% of all resistant strains. <i>Escherichia coli</i> exhibited the greatest resistance to ESBLs, with a rate of 86.7%. Among carbapenem-resistant <i>K. pneumoniae</i> isolates, the following resistance rates were observed: KPC-1 at 98.2%, IMP-1 at 0.9%, VIM-1 at 0.9%, and NDM-1 at 0.9%. <b>Conclusions</b>: Patients with infections caused by multidrug-resistant bacteria have limited treatment options and are therefore at an increased risk of death, complications, and longer hospital stays. Rapid diagnostic techniques and antimicrobial stewardship programs-especially for ESBLs and carbapenemases-can significantly shorten the time needed to identify the infection and initiate appropriate antimicrobial therapy compared to traditional methods. Additionally, enhancing surveillance of antimicrobial resistance within populations is crucial to address this emerging public health challenge.</p>","PeriodicalId":13579,"journal":{"name":"Infectious Disease Reports","volume":"17 4","pages":""},"PeriodicalIF":2.4000,"publicationDate":"2025-07-02","publicationTypes":"Journal Article","fieldsOfStudy":null,"isOpenAccess":false,"openAccessPdf":"https://www.ncbi.nlm.nih.gov/pmc/articles/PMC12285967/pdf/","citationCount":"0","resultStr":null,"platform":"Semanticscholar","paperid":null,"PeriodicalName":"Infectious Disease Reports","FirstCategoryId":"1085","ListUrlMain":"https://doi.org/10.3390/idr17040076","RegionNum":0,"RegionCategory":null,"ArticlePicture":[],"TitleCN":null,"AbstractTextCN":null,"PMCID":null,"EPubDate":"","PubModel":"","JCR":"Q2","JCRName":"INFECTIOUS DISEASES","Score":null,"Total":0}
引用次数: 0

Abstract

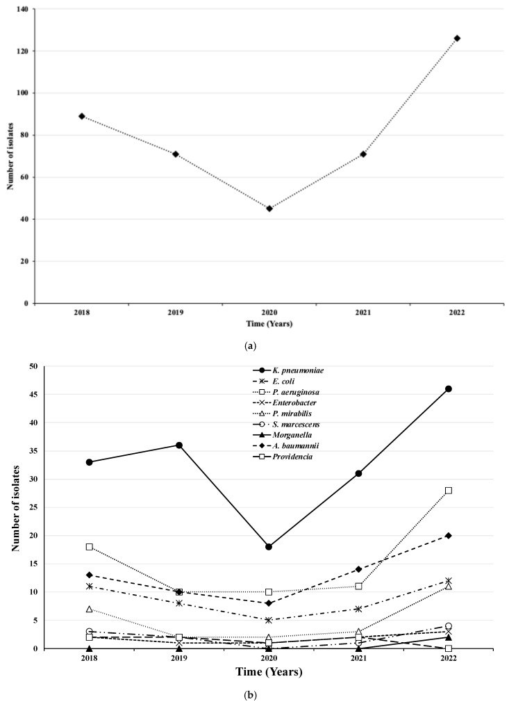
Background/Objectives: Antibiotic resistance is a significant and escalating challenge that limits available therapeutic options. This issue is further exacerbated by the decreasing number of new antibiotics being developed. Our study aims to describe the epidemiology and pattern of antibiotic resistance in Gram-negative infections isolated from a cohort of hospitalized patients and to analyze the distribution of infections within the hospital setting. Methods: A retrospective study was conducted on all patients admitted to Vito Fazzi Hospital in Lecce, Italy, who required an infectious disease consultation due to the isolation of Gram-negative bacteria from 1 January 2018 to 31 December 2022. Results: During the study period, 402 isolates obtained from 382 patients (240 men and 142 women) with infections caused by Gram-negative bacteria were identified. Among these isolated, 226 exhibited multidrug resistance, defined as resistance to at least one antimicrobial agent from three or more different classes. In 2018, the percentage of multidrug-resistant isolates peaked at 87.6%, before decreasing to the lowest level (66.2%) in 2021. Overall, of the 402 isolates, 154 (38.3%) displayed resistance to carbapenems, while 73 (18.1%) were resistant to extended-spectrum beta-lactamases (ESBLs). Among the resistant microorganisms, Klebsiella pneumoniae showed the highest resistance to carbapenems, accounting for 85.2% of all resistant strains. Escherichia coli exhibited the greatest resistance to ESBLs, with a rate of 86.7%. Among carbapenem-resistant K. pneumoniae isolates, the following resistance rates were observed: KPC-1 at 98.2%, IMP-1 at 0.9%, VIM-1 at 0.9%, and NDM-1 at 0.9%. Conclusions: Patients with infections caused by multidrug-resistant bacteria have limited treatment options and are therefore at an increased risk of death, complications, and longer hospital stays. Rapid diagnostic techniques and antimicrobial stewardship programs-especially for ESBLs and carbapenemases-can significantly shorten the time needed to identify the infection and initiate appropriate antimicrobial therapy compared to traditional methods. Additionally, enhancing surveillance of antimicrobial resistance within populations is crucial to address this emerging public health challenge.

Abstract Image

Abstract Image

意大利住院患者中耐碳青霉烯革兰氏阴性菌的五年监测
背景/目的:抗生素耐药性是一个重大且不断升级的挑战,限制了现有的治疗选择。正在开发的新抗生素数量的减少进一步加剧了这一问题。我们的研究旨在描述从一组住院患者中分离出的革兰氏阴性感染的流行病学和抗生素耐药性模式,并分析医院内感染的分布。方法:对2018年1月1日至2022年12月31日期间因分离革兰氏阴性菌而需要进行传染病会诊的意大利莱切Vito Fazzi医院所有患者进行回顾性研究。结果:在研究期间,从382例(男性240例,女性142例)革兰氏阴性菌感染患者中分离出402株。在这些分离的菌株中,226株表现出多药耐药,定义为对来自三种或三种以上不同类别的至少一种抗菌素耐药。2018年,耐多药菌株比例达到87.6%的峰值,随后在2021年降至最低水平(66.2%)。总体而言,402株中,154株(38.3%)对碳青霉烯类耐药,73株(18.1%)对广谱β -内酰胺酶(ESBLs)耐药。耐药菌中,肺炎克雷伯菌对碳青霉烯类耐药最高,占所有耐药菌的85.2%。大肠杆菌对ESBLs的耐药率最高,为86.7%。耐碳青霉烯肺炎克雷伯菌的耐药率为:KPC-1为98.2%,IMP-1为0.9%,VIM-1为0.9%,NDM-1为0.9%。结论:耐多药细菌引起的感染患者的治疗选择有限,因此死亡、并发症和住院时间延长的风险增加。与传统方法相比,快速诊断技术和抗菌素管理计划——特别是ESBLs和碳青霉烯酶——可以显著缩短识别感染和启动适当抗菌治疗所需的时间。此外,加强对人群内抗菌素耐药性的监测对于应对这一新出现的公共卫生挑战至关重要。
本文章由计算机程序翻译,如有差异,请以英文原文为准。
求助全文
约1分钟内获得全文 求助全文
来源期刊
Infectious Disease Reports
Infectious Disease Reports INFECTIOUS DISEASES-
CiteScore
5.10
自引率
0.00%
发文量
82
审稿时长
11 weeks
×
引用
GB/T 7714-2015
复制
MLA
复制
APA
复制
导出至
BibTeX EndNote RefMan NoteFirst NoteExpress
×
提示
您的信息不完整,为了账户安全,请先补充。
现在去补充
×
提示
您因"违规操作"
具体请查看互助需知
我知道了
×
提示
确定
请完成安全验证×
copy
已复制链接
快去分享给好友吧!
我知道了
右上角分享
点击右上角分享
0
联系我们:info@booksci.cn Book学术提供免费学术资源搜索服务,方便国内外学者检索中英文文献。致力于提供最便捷和优质的服务体验。 Copyright © 2023 布克学术 All rights reserved.
京ICP备2023020795号-1
ghs 京公网安备 11010802042870号
Book学术文献互助
Book学术文献互助群
群 号:604180095
Book学术官方微信