Exploring the Role of Cognitive Reserve and Human-Animal Interaction in Late-Life Depression: A Moderation Analysis.

IF 2.1 Q3 GERIATRICS & GERONTOLOGY
Nathália Saraiva de Albuquerque, Natália Silva Sessegolo, Carmen Moret-Tatay, Tatiana Quarti Irigaray
{"title":"Exploring the Role of Cognitive Reserve and Human-Animal Interaction in Late-Life Depression: A Moderation Analysis.","authors":"Nathália Saraiva de Albuquerque, Natália Silva Sessegolo, Carmen Moret-Tatay, Tatiana Quarti Irigaray","doi":"10.3390/geriatrics10040089","DOIUrl":null,"url":null,"abstract":"<p><p><b>Background/Objectives:</b> Depression impairs the quality of life in older adults and represents a significant public health issue. Cognitive reserve may act as a protective factor against depressive symptoms in older adults. Additionally, interaction with pets may serve as another potential protective factor against these symptoms. Thus, this study aimed to evaluate whether higher cognitive reserve could predict a reduction in depressive symptoms in older adults and to investigate the moderating role of pet companionship in this relationship. <b>Methods:</b> The following instruments were used: a Sociodemographic Data Sheet, the Modified Telephone Interview for Cognitive Status (TICS-M), the Cognitive Reserve Index Questionnaire (CRIq), and the Geriatric Depression Scale (GDS-15). Data were collected via video calls through WhatsApp and analyzed using a moderation analysis with PROCESS for SPSS. <b>Results:</b> The final sample consisted of 215 older adults with a mean age of 69.13 years (SD = 6.89). Among the participants, 53% owned pets and 47% did not. The overall model revealed a significant association between the predictor variables and the outcome (F(3, 211) = 4.24, <i>p</i> < 0.01). For the group without pets, the effect was not significant (β = -0.1082, <i>p</i> = 0.2916), but for the group with pets, the effect was substantial and negative on the GDS (β = -0.1936, <i>p</i> < 0.05). <b>Conclusions:</b> We concluded that the relationship between cognitive reserve and depressive symptoms is moderated by the presence of pets in individuals' lives. These findings highlight the role of pets in protecting against depressive symptoms in older adults. Future studies should explore this relationship with more diverse samples.</p>","PeriodicalId":12653,"journal":{"name":"Geriatrics","volume":"10 4","pages":""},"PeriodicalIF":2.1000,"publicationDate":"2025-07-01","publicationTypes":"Journal Article","fieldsOfStudy":null,"isOpenAccess":false,"openAccessPdf":"https://www.ncbi.nlm.nih.gov/pmc/articles/PMC12286211/pdf/","citationCount":"0","resultStr":null,"platform":"Semanticscholar","paperid":null,"PeriodicalName":"Geriatrics","FirstCategoryId":"1085","ListUrlMain":"https://doi.org/10.3390/geriatrics10040089","RegionNum":0,"RegionCategory":null,"ArticlePicture":[],"TitleCN":null,"AbstractTextCN":null,"PMCID":null,"EPubDate":"","PubModel":"","JCR":"Q3","JCRName":"GERIATRICS & GERONTOLOGY","Score":null,"Total":0}
引用次数: 0

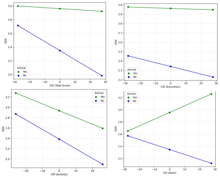
Abstract

Background/Objectives: Depression impairs the quality of life in older adults and represents a significant public health issue. Cognitive reserve may act as a protective factor against depressive symptoms in older adults. Additionally, interaction with pets may serve as another potential protective factor against these symptoms. Thus, this study aimed to evaluate whether higher cognitive reserve could predict a reduction in depressive symptoms in older adults and to investigate the moderating role of pet companionship in this relationship. Methods: The following instruments were used: a Sociodemographic Data Sheet, the Modified Telephone Interview for Cognitive Status (TICS-M), the Cognitive Reserve Index Questionnaire (CRIq), and the Geriatric Depression Scale (GDS-15). Data were collected via video calls through WhatsApp and analyzed using a moderation analysis with PROCESS for SPSS. Results: The final sample consisted of 215 older adults with a mean age of 69.13 years (SD = 6.89). Among the participants, 53% owned pets and 47% did not. The overall model revealed a significant association between the predictor variables and the outcome (F(3, 211) = 4.24, p < 0.01). For the group without pets, the effect was not significant (β = -0.1082, p = 0.2916), but for the group with pets, the effect was substantial and negative on the GDS (β = -0.1936, p < 0.05). Conclusions: We concluded that the relationship between cognitive reserve and depressive symptoms is moderated by the presence of pets in individuals' lives. These findings highlight the role of pets in protecting against depressive symptoms in older adults. Future studies should explore this relationship with more diverse samples.

Abstract Image

认知储备和人-动物互动在晚年抑郁中的作用:一个调节分析。
背景/目的:抑郁症损害老年人的生活质量,是一个重大的公共卫生问题。认知储备可能是老年人抗抑郁症状的保护因素。此外,与宠物的互动可能是对抗这些症状的另一个潜在保护因素。因此,本研究旨在评估更高的认知储备是否可以预测老年人抑郁症状的减少,并探讨宠物陪伴在这种关系中的调节作用。方法:采用社会人口学数据表、认知状态修正电话访谈(tic - m)、认知储备指数问卷(CRIq)和老年抑郁量表(GDS-15)。通过WhatsApp通过视频通话收集数据,并使用PROCESS for SPSS进行适度分析。结果:最终样本包括215名老年人,平均年龄为69.13岁(SD = 6.89)。在参与者中,53%的人有宠物,47%的人没有。整体模型显示预测变量与预后之间存在显著相关性(F(3,211) = 4.24, p < 0.01)。无宠物组对GDS的影响不显著(β = -0.1082, p = 0.2916),有宠物组对GDS的影响显著且为负(β = -0.1936, p < 0.05)。结论:我们的结论是,认知储备和抑郁症状之间的关系被宠物的存在所缓和。这些发现强调了宠物在防止老年人抑郁症状方面的作用。未来的研究应该用更多样化的样本来探索这种关系。
本文章由计算机程序翻译,如有差异,请以英文原文为准。
求助全文
约1分钟内获得全文 求助全文
来源期刊
Geriatrics
Geriatrics 医学-老年医学
CiteScore
3.30
自引率
0.00%
发文量
115
审稿时长
20.03 days
期刊介绍: • Geriatric biology • Geriatric health services research • Geriatric medicine research • Geriatric neurology, stroke, cognition and oncology • Geriatric surgery • Geriatric physical functioning, physical health and activity • Geriatric psychiatry and psychology • Geriatric nutrition • Geriatric epidemiology • Geriatric rehabilitation
×
引用
GB/T 7714-2015
复制
MLA
复制
APA
复制
导出至
BibTeX EndNote RefMan NoteFirst NoteExpress
×
提示
您的信息不完整,为了账户安全,请先补充。
现在去补充
×
提示
您因"违规操作"
具体请查看互助需知
我知道了
×
提示
确定
请完成安全验证×
copy
已复制链接
快去分享给好友吧!
我知道了
右上角分享
点击右上角分享
0
联系我们:info@booksci.cn Book学术提供免费学术资源搜索服务,方便国内外学者检索中英文文献。致力于提供最便捷和优质的服务体验。 Copyright © 2023 布克学术 All rights reserved.
京ICP备2023020795号-1
ghs 京公网安备 11010802042870号
Book学术文献互助
Book学术文献互助群
群 号:604180095
Book学术官方微信