Hypertension Screening Using Acoustic Analysis and Machine Learning of Random Speech Samples: A Feasibility Study.

Q1 Computer Science
Digital Biomarkers Pub Date : 2025-06-24 eCollection Date: 2025-01-01 DOI:10.1159/000547077
Behrad TaghiBeyglou, Jaycee Kaufman, Yan Fossat
{"title":"Hypertension Screening Using Acoustic Analysis and Machine Learning of Random Speech Samples: A Feasibility Study.","authors":"Behrad TaghiBeyglou, Jaycee Kaufman, Yan Fossat","doi":"10.1159/000547077","DOIUrl":null,"url":null,"abstract":"<p><strong>Introduction: </strong>Hypertension is the leading risk factor for cardiovascular disorders. Early detection and initiation of treatment have been identified as the most effective ways to reduce the burden of hypertension. The most common method for detecting hypertension is blood pressure measurement, typically performed with cuff-based devices, where systolic pressure (SBP) and diastolic pressure (DBP) are measured through Korotkoff sounds. Although this method is accurate and non-invasive, it requires technical expertise and is often inaccessible in rural and remote areas. In this study, we investigated the feasibility of using overt speech (random speech corpora) through multiple short recordings for hypertension screening based on two hypertension guidelines: (1) SBP ≥135 mm Hg OR DBP ≥85 mm Hg, and (2) SBP ≥140 mm Hg OR DBP ≥90 mm Hg.</p><p><strong>Methods: </strong>We incorporated speech recordings from 573 participants (197 women) with diverse ages and body mass index and extracted temporal, spectral, and nonlinear acoustic features through three different frameworks, all of which are based on classical and boosted machine learning models. The models were evaluated using a leave-one-subject-out cross-validation scheme.</p><p><strong>Results: </strong>Our proposed pipeline achieved a balanced accuracy (BACC) of 61% for males and 70% for females under the relaxed criterion (SBP ≥135 OR DBP ≥85), and a BACC of 71% for males and 78% for females under the stricter European Society of Hypertension (ESH) guidelines (SBP ≥140 OR DBP ≥90).</p><p><strong>Conclusion: </strong>These results demonstrate the potential of employing overt speech alongside acoustic analysis for hypertension screening.</p>","PeriodicalId":11242,"journal":{"name":"Digital Biomarkers","volume":"9 1","pages":"130-139"},"PeriodicalIF":0.0000,"publicationDate":"2025-06-24","publicationTypes":"Journal Article","fieldsOfStudy":null,"isOpenAccess":false,"openAccessPdf":"https://www.ncbi.nlm.nih.gov/pmc/articles/PMC12286592/pdf/","citationCount":"0","resultStr":null,"platform":"Semanticscholar","paperid":null,"PeriodicalName":"Digital Biomarkers","FirstCategoryId":"1085","ListUrlMain":"https://doi.org/10.1159/000547077","RegionNum":0,"RegionCategory":null,"ArticlePicture":[],"TitleCN":null,"AbstractTextCN":null,"PMCID":null,"EPubDate":"2025/1/1 0:00:00","PubModel":"eCollection","JCR":"Q1","JCRName":"Computer Science","Score":null,"Total":0}
引用次数: 0

Abstract

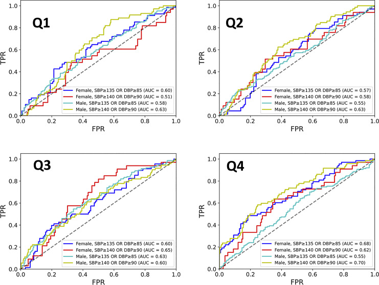
Introduction: Hypertension is the leading risk factor for cardiovascular disorders. Early detection and initiation of treatment have been identified as the most effective ways to reduce the burden of hypertension. The most common method for detecting hypertension is blood pressure measurement, typically performed with cuff-based devices, where systolic pressure (SBP) and diastolic pressure (DBP) are measured through Korotkoff sounds. Although this method is accurate and non-invasive, it requires technical expertise and is often inaccessible in rural and remote areas. In this study, we investigated the feasibility of using overt speech (random speech corpora) through multiple short recordings for hypertension screening based on two hypertension guidelines: (1) SBP ≥135 mm Hg OR DBP ≥85 mm Hg, and (2) SBP ≥140 mm Hg OR DBP ≥90 mm Hg.

Methods: We incorporated speech recordings from 573 participants (197 women) with diverse ages and body mass index and extracted temporal, spectral, and nonlinear acoustic features through three different frameworks, all of which are based on classical and boosted machine learning models. The models were evaluated using a leave-one-subject-out cross-validation scheme.

Results: Our proposed pipeline achieved a balanced accuracy (BACC) of 61% for males and 70% for females under the relaxed criterion (SBP ≥135 OR DBP ≥85), and a BACC of 71% for males and 78% for females under the stricter European Society of Hypertension (ESH) guidelines (SBP ≥140 OR DBP ≥90).

Conclusion: These results demonstrate the potential of employing overt speech alongside acoustic analysis for hypertension screening.

Abstract Image

Abstract Image

Abstract Image

基于声学分析和机器学习的随机语音样本高血压筛查的可行性研究。
高血压是心血管疾病的主要危险因素。早期发现和开始治疗已被确定为减轻高血压负担的最有效方法。检测高血压最常见的方法是测量血压,通常使用袖带装置,通过Korotkoff音测量收缩压(SBP)和舒张压(DBP)。虽然这种方法是准确和非侵入性的,但它需要专业技术知识,而且在农村和偏远地区往往无法使用。在本研究中,我们根据两个高血压指南(1)收缩压≥135 mm Hg或舒张压≥85 mm Hg,以及(2)收缩压≥140 mm Hg或舒张压≥90 mm Hg),探讨了通过多个短录音使用公开语音(随机语音语料库)进行高血压筛查的可行性。我们整合了573名参与者(197名女性)不同年龄和体重指数的语音记录,并通过三种不同的框架提取了时间、光谱和非线性声学特征,所有这些框架都基于经典和增强的机器学习模型。采用留一受试者交叉验证方案对模型进行评估。结果:我们提出的管道在放宽标准(收缩压≥135或DBP≥85)下,男性的BACC为61%,女性为70%,在更严格的欧洲高血压学会(ESH)指南(收缩压≥140或DBP≥90)下,男性的BACC为71%,女性为78%。结论:这些结果证明了利用显性言语和声学分析进行高血压筛查的潜力。
本文章由计算机程序翻译,如有差异,请以英文原文为准。
求助全文
约1分钟内获得全文 求助全文
来源期刊
Digital Biomarkers
Digital Biomarkers Medicine-Medicine (miscellaneous)
CiteScore
10.60
自引率
0.00%
发文量
12
审稿时长
23 weeks
×
引用
GB/T 7714-2015
复制
MLA
复制
APA
复制
导出至
BibTeX EndNote RefMan NoteFirst NoteExpress
×
提示
您的信息不完整,为了账户安全,请先补充。
现在去补充
×
提示
您因"违规操作"
具体请查看互助需知
我知道了
×
提示
确定
请完成安全验证×
copy
已复制链接
快去分享给好友吧!
我知道了
右上角分享
点击右上角分享
0
联系我们:info@booksci.cn Book学术提供免费学术资源搜索服务,方便国内外学者检索中英文文献。致力于提供最便捷和优质的服务体验。 Copyright © 2023 布克学术 All rights reserved.
京ICP备2023020795号-1
ghs 京公网安备 11010802042870号
Book学术文献互助
Book学术文献互助群
群 号:604180095
Book学术官方微信