The Injection of Ghrelin (OXE-103) Improves Subacute Concussion Symptom Burden and Quality of Life.

IF 1.8 Q3 CLINICAL NEUROLOGY
Neurotrauma reports Pub Date : 2025-05-16 eCollection Date: 2025-01-01 DOI:10.1089/neur.2025.0038
Michael Rippee, Michael Wyand, Jamie Chen, Amelia Kirchhoff-Rowald, Suzanne Hunt, Vishal Bansal
{"title":"The Injection of Ghrelin (OXE-103) Improves Subacute Concussion Symptom Burden and Quality of Life.","authors":"Michael Rippee, Michael Wyand, Jamie Chen, Amelia Kirchhoff-Rowald, Suzanne Hunt, Vishal Bansal","doi":"10.1089/neur.2025.0038","DOIUrl":null,"url":null,"abstract":"<p><p>Concussions remain the leading form of traumatic brain injury. Despite this, there is a paucity of pharmacologic and evidence-based treatments. The objective of this study was to investigate the benefit of Ghrelin (OXE-103) as a novel treatment for subacute concussion. The study consisted of an open-label treatment arm (OXE-103) with a nontreatment concurrent control arm receiving standard of care (SOC-only). Participants had a documented concussion, within 28 days of injury, and a Post-Concussion Symptom Scale (PCSS) of 20 or more. A total of 19 subjects completed the study: 13 treatments and 6 SOC. Treatment consisted of OXE-103 40 μg/kg twice daily by self-injection for 14 days. Main Outcome Measures were change in PCSS and Quality of Life after Brain Injury-Overall Scale (QOLIBRI-OS). Outcome measures were assessed at days 1, 4, 8, 11, 15, 21, and 44. A secondary outcome was 20% improvement on either which was considered a clinically meaningful response. We found a decrease in PCSS from baseline with OXE-103 (median -34 [interquartile range {IQR}: -44, -24]) at day 44 versus SOC (median -7 [IQR: -22, 16]) at day 44. We also found an improvement in QOLIBRI-OS from baseline with OXE-103 (median 21 [IQR: 12.5, 50]) at day 44 versus SOC (2 [IQR: -25, 20.8]) at day 44. 85% (95% confidence interval [CI]: 53, 98) of subjects treated with OXE-103 had a clinically meaningful response at day 44 on PCSS versus 33% (95% CI: 4, 78) of subjects in the SOC arm. When looking at improvement in QOLIBRI-OS, 85% (95% CI: 53, 98) of subjects treated with OXE-103 had a clinically meaningful response at day 44 versus 33% (95% CI: 4, 78) in the SOC arm. We conclude that subjects treated with OXE-103 showed improved PCSS and QOLIBRI-OS scores compared to those receiving only standard therapy. We recognize the limitations of this study, including small sample size and lack of randomization. The results indicate that OXE-103 is a potential therapeutic agent to treat patients with ongoing concussion symptoms. A larger, multicenter, randomized, placebo-controlled trial would be an important next step.</p>","PeriodicalId":74300,"journal":{"name":"Neurotrauma reports","volume":"6 1","pages":"402-412"},"PeriodicalIF":1.8000,"publicationDate":"2025-05-16","publicationTypes":"Journal Article","fieldsOfStudy":null,"isOpenAccess":false,"openAccessPdf":"https://www.ncbi.nlm.nih.gov/pmc/articles/PMC12281116/pdf/","citationCount":"0","resultStr":null,"platform":"Semanticscholar","paperid":null,"PeriodicalName":"Neurotrauma reports","FirstCategoryId":"1085","ListUrlMain":"https://doi.org/10.1089/neur.2025.0038","RegionNum":0,"RegionCategory":null,"ArticlePicture":[],"TitleCN":null,"AbstractTextCN":null,"PMCID":null,"EPubDate":"2025/1/1 0:00:00","PubModel":"eCollection","JCR":"Q3","JCRName":"CLINICAL NEUROLOGY","Score":null,"Total":0}
引用次数: 0

Abstract

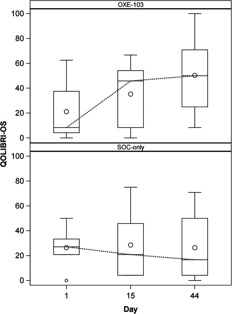
Concussions remain the leading form of traumatic brain injury. Despite this, there is a paucity of pharmacologic and evidence-based treatments. The objective of this study was to investigate the benefit of Ghrelin (OXE-103) as a novel treatment for subacute concussion. The study consisted of an open-label treatment arm (OXE-103) with a nontreatment concurrent control arm receiving standard of care (SOC-only). Participants had a documented concussion, within 28 days of injury, and a Post-Concussion Symptom Scale (PCSS) of 20 or more. A total of 19 subjects completed the study: 13 treatments and 6 SOC. Treatment consisted of OXE-103 40 μg/kg twice daily by self-injection for 14 days. Main Outcome Measures were change in PCSS and Quality of Life after Brain Injury-Overall Scale (QOLIBRI-OS). Outcome measures were assessed at days 1, 4, 8, 11, 15, 21, and 44. A secondary outcome was 20% improvement on either which was considered a clinically meaningful response. We found a decrease in PCSS from baseline with OXE-103 (median -34 [interquartile range {IQR}: -44, -24]) at day 44 versus SOC (median -7 [IQR: -22, 16]) at day 44. We also found an improvement in QOLIBRI-OS from baseline with OXE-103 (median 21 [IQR: 12.5, 50]) at day 44 versus SOC (2 [IQR: -25, 20.8]) at day 44. 85% (95% confidence interval [CI]: 53, 98) of subjects treated with OXE-103 had a clinically meaningful response at day 44 on PCSS versus 33% (95% CI: 4, 78) of subjects in the SOC arm. When looking at improvement in QOLIBRI-OS, 85% (95% CI: 53, 98) of subjects treated with OXE-103 had a clinically meaningful response at day 44 versus 33% (95% CI: 4, 78) in the SOC arm. We conclude that subjects treated with OXE-103 showed improved PCSS and QOLIBRI-OS scores compared to those receiving only standard therapy. We recognize the limitations of this study, including small sample size and lack of randomization. The results indicate that OXE-103 is a potential therapeutic agent to treat patients with ongoing concussion symptoms. A larger, multicenter, randomized, placebo-controlled trial would be an important next step.

Abstract Image

Abstract Image

Abstract Image

注射生长素(OXE-103)改善亚急性脑震荡症状负担和生活质量。
脑震荡仍然是创伤性脑损伤的主要形式。尽管如此,缺乏药物和循证治疗。本研究的目的是探讨胃饥饿素(OXE-103)作为亚急性脑震荡的新治疗方法的益处。该研究包括一个开放标签治疗组(OXE-103)和一个接受标准护理(仅限soc)的非治疗并发对照组。参与者在受伤后28天内有记录在案的脑震荡,脑震荡后症状量表(PCSS)为20或以上。共有19名受试者完成了研究:13名治疗组和6名SOC组。治疗方法:口服OXE-103 40 μg/kg,每日2次,自注射,连用14 d。主要结局指标为脑损伤后PCSS和生活质量的变化-总体量表(qolibrii - os)。结果测量在第1、4、8、11、15、21和44天进行评估。次要结果是两种情况均有20%的改善,这被认为是临床有意义的反应。我们发现,与基线相比,使用OXE-103的患者在第44天的PCSS(中位数为-34[四分位数间距{IQR}: -44, -24])比44天的SOC(中位数为-7 [IQR}: -22, 16])有所下降。我们还发现,第44天使用OXE-103(中位21 [IQR: 12.5, 50])与第44天的SOC (2 [IQR: -25, 20.8])相比,qolibrii - os较基线有所改善。85%(95%可信区间[CI]: 53,98)接受OXE-103治疗的受试者在第44天的PCSS治疗中有临床意义的缓解,而接受SOC治疗的受试者为33% (95% CI: 4,78)。当观察qolibrii - os的改善时,85% (95% CI: 53,98)接受OXE-103治疗的受试者在第44天有临床意义的缓解,而在SOC组中有33% (95% CI: 4,78)。我们得出结论,与仅接受标准治疗的受试者相比,接受OXE-103治疗的受试者表现出改善的PCSS和qolibrii - os评分。我们认识到这项研究的局限性,包括样本量小和缺乏随机化。结果表明,OXE-103是一种潜在的治疗持续脑震荡症状的药物。一个更大的、多中心的、随机的、安慰剂对照的试验将是重要的下一步。
本文章由计算机程序翻译,如有差异,请以英文原文为准。
求助全文
约1分钟内获得全文 求助全文
来源期刊
CiteScore
2.40
自引率
0.00%
发文量
0
审稿时长
8 weeks
×
引用
GB/T 7714-2015
复制
MLA
复制
APA
复制
导出至
BibTeX EndNote RefMan NoteFirst NoteExpress
×
提示
您的信息不完整,为了账户安全,请先补充。
现在去补充
×
提示
您因"违规操作"
具体请查看互助需知
我知道了
×
提示
确定
请完成安全验证×
copy
已复制链接
快去分享给好友吧!
我知道了
右上角分享
点击右上角分享
0
联系我们:info@booksci.cn Book学术提供免费学术资源搜索服务,方便国内外学者检索中英文文献。致力于提供最便捷和优质的服务体验。 Copyright © 2023 布克学术 All rights reserved.
京ICP备2023020795号-1
ghs 京公网安备 11010802042870号
Book学术文献互助
Book学术文献互助群
群 号:604180095
Book学术官方微信