Burden of colorectal cancer attributable to diet low in milk among middle-aged and elderly population from 1990 to 2021: a population-based study

IF 3.4 3区 医学 Q2 GERIATRICS & GERONTOLOGY
Juan Liu, Haolin Sun, Xixi Zheng, Nina Ma, Xiaoling Liu, Ruizhen Cao, Mudan Yang, Bangwei Cao
{"title":"Burden of colorectal cancer attributable to diet low in milk among middle-aged and elderly population from 1990 to 2021: a population-based study","authors":"Juan Liu,&nbsp;Haolin Sun,&nbsp;Xixi Zheng,&nbsp;Nina Ma,&nbsp;Xiaoling Liu,&nbsp;Ruizhen Cao,&nbsp;Mudan Yang,&nbsp;Bangwei Cao","doi":"10.1007/s40520-025-03129-x","DOIUrl":null,"url":null,"abstract":"<div><h3>Objective</h3><p>This study examines the global burden of colorectal cancer (CRC) attributable to diet low in milk among middle-aged and elderly populations from 1990 to 2021 and projects future trends to 2050.</p><h3>Methods</h3><p>Data from the Global Burden of Disease (GBD) 2021 study were obtained via the Global Health Data Exchange. The burden was assessed using number of cases and rates of Disability-Adjusted Life Years (DALY) and death, stratified by age, sex, region, nation, and Socio-Demographic Index (SDI). Temporal trends were analyzed using estimated annual percentage change (EAPC), and future trends were projected using the Bayesian Age-Period-Cohort (BAPC) model.</p><h3>Results</h3><p>In 2021, the global DALY and death cases of CRC attributable to a diet low in milk among middle-aged and elderly populations was 2.71 million and 0.14 million, respectively, representing increases of 92.81% and 103.02% from 1990. However, the corresponding DALY and death rates decreased from 209.65 to 182.64 per 100,000 population and from 9.96 to 9.13 per 100,000 population, respectively, with EAPCs of − 0.54 and − 0.36. The DALY and death rates rise with age, peaking in the 95 + age group. From 1990 to 2021, among regions, Southern Sub-Saharan Africa and Eastern Europe saw the largest increases in these rates, while Australasia, High-income North America, and Western Europe had the largest decreases. At the national level, Lesotho, Cabo Verde, and Georgia saw the largest increases in the DALY and death rates, while Austria, Australia, and Germany experienced the largest decreases. The correlation analysis showed that the DALY and death rates across 21 regions increased with rising SDI levels up to approximately 0.67, then declined and stabilized. Projections suggest a significant rise in DALY and death cases, with a slight increase in DALY and death rates.</p><h3>Conclusions</h3><p>The burden of CRC attributable to a diet low in milk remains substantial among middle-aged and elderly populations globally, with significant age, sex, regional and national disparities. These findings highlight the need for targeted dietary interventions to mitigate the growing burden of CRC among middle-aged and elderly populations.</p></div>","PeriodicalId":7720,"journal":{"name":"Aging Clinical and Experimental Research","volume":"37 1","pages":""},"PeriodicalIF":3.4000,"publicationDate":"2025-07-22","publicationTypes":"Journal Article","fieldsOfStudy":null,"isOpenAccess":false,"openAccessPdf":"https://www.ncbi.nlm.nih.gov/pmc/articles/PMC12283431/pdf/","citationCount":"0","resultStr":null,"platform":"Semanticscholar","paperid":null,"PeriodicalName":"Aging Clinical and Experimental Research","FirstCategoryId":"3","ListUrlMain":"https://link.springer.com/article/10.1007/s40520-025-03129-x","RegionNum":3,"RegionCategory":"医学","ArticlePicture":[],"TitleCN":null,"AbstractTextCN":null,"PMCID":null,"EPubDate":"","PubModel":"","JCR":"Q2","JCRName":"GERIATRICS & GERONTOLOGY","Score":null,"Total":0}
引用次数: 0

Abstract

Objective

This study examines the global burden of colorectal cancer (CRC) attributable to diet low in milk among middle-aged and elderly populations from 1990 to 2021 and projects future trends to 2050.

Methods

Data from the Global Burden of Disease (GBD) 2021 study were obtained via the Global Health Data Exchange. The burden was assessed using number of cases and rates of Disability-Adjusted Life Years (DALY) and death, stratified by age, sex, region, nation, and Socio-Demographic Index (SDI). Temporal trends were analyzed using estimated annual percentage change (EAPC), and future trends were projected using the Bayesian Age-Period-Cohort (BAPC) model.

Results

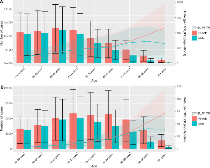
In 2021, the global DALY and death cases of CRC attributable to a diet low in milk among middle-aged and elderly populations was 2.71 million and 0.14 million, respectively, representing increases of 92.81% and 103.02% from 1990. However, the corresponding DALY and death rates decreased from 209.65 to 182.64 per 100,000 population and from 9.96 to 9.13 per 100,000 population, respectively, with EAPCs of − 0.54 and − 0.36. The DALY and death rates rise with age, peaking in the 95 + age group. From 1990 to 2021, among regions, Southern Sub-Saharan Africa and Eastern Europe saw the largest increases in these rates, while Australasia, High-income North America, and Western Europe had the largest decreases. At the national level, Lesotho, Cabo Verde, and Georgia saw the largest increases in the DALY and death rates, while Austria, Australia, and Germany experienced the largest decreases. The correlation analysis showed that the DALY and death rates across 21 regions increased with rising SDI levels up to approximately 0.67, then declined and stabilized. Projections suggest a significant rise in DALY and death cases, with a slight increase in DALY and death rates.

Conclusions

The burden of CRC attributable to a diet low in milk remains substantial among middle-aged and elderly populations globally, with significant age, sex, regional and national disparities. These findings highlight the need for targeted dietary interventions to mitigate the growing burden of CRC among middle-aged and elderly populations.

Abstract Image

Abstract Image

Abstract Image

1990 - 2021年中老年人群低牛奶饮食导致的结直肠癌负担:一项基于人群的研究
目的:本研究调查了1990年至2021年中老年人群中因低牛奶饮食导致的全球结直肠癌(CRC)负担,并预测了到2050年的未来趋势。方法:通过全球健康数据交换获得全球疾病负担(GBD) 2021研究的数据。根据年龄、性别、地区、国家和社会人口指数(SDI)对病例数、残疾调整生命年(DALY)和死亡率进行分层,评估负担。使用估计年百分比变化(EAPC)分析时间趋势,并使用贝叶斯年龄-时期-队列(BAPC)模型预测未来趋势。结果:2021年,全球中老年人群因低奶饮食导致的结直肠癌DALY和死亡病例分别为271万和14万,较1990年分别增长了92.81%和103.02%。然而,相应的DALY和死亡率分别从每10万人209.65下降到182.64,从每10万人9.96下降到9.13,eapc分别为- 0.54和- 0.36。DALY和死亡率随着年龄的增长而上升,在95岁以上年龄组达到顶峰。从1990年到2021年,在各区域中,撒哈拉以南非洲南部和东欧的这些比率增幅最大,而大洋洲、高收入北美和西欧的降幅最大。在国家一级,莱索托、佛得角和格鲁吉亚的DALY和死亡率增幅最大,而奥地利、澳大利亚和德国的降幅最大。相关分析表明,随着SDI水平的升高,21个地区的DALY和死亡率呈上升趋势,最高可达0.67左右,然后下降并趋于稳定。预测表明,伤残调整年和死亡病例显著增加,伤残调整年和死亡率略有增加。结论:在全球中老年人群中,低牛奶饮食导致的结直肠癌负担仍然很大,存在明显的年龄、性别、地区和国家差异。这些发现强调了有针对性的饮食干预的必要性,以减轻中老年人CRC日益增加的负担。
本文章由计算机程序翻译,如有差异,请以英文原文为准。
求助全文
约1分钟内获得全文 求助全文
来源期刊
CiteScore
7.90
自引率
5.00%
发文量
283
审稿时长
1 months
期刊介绍: Aging clinical and experimental research offers a multidisciplinary forum on the progressing field of gerontology and geriatrics. The areas covered by the journal include: biogerontology, neurosciences, epidemiology, clinical gerontology and geriatric assessment, social, economical and behavioral gerontology. “Aging clinical and experimental research” appears bimonthly and publishes review articles, original papers and case reports.
×
引用
GB/T 7714-2015
复制
MLA
复制
APA
复制
导出至
BibTeX EndNote RefMan NoteFirst NoteExpress
×
提示
您的信息不完整,为了账户安全,请先补充。
现在去补充
×
提示
您因"违规操作"
具体请查看互助需知
我知道了
×
提示
确定
请完成安全验证×
copy
已复制链接
快去分享给好友吧!
我知道了
右上角分享
点击右上角分享
0
联系我们:info@booksci.cn Book学术提供免费学术资源搜索服务,方便国内外学者检索中英文文献。致力于提供最便捷和优质的服务体验。 Copyright © 2023 布克学术 All rights reserved.
京ICP备2023020795号-1
ghs 京公网安备 11010802042870号
Book学术文献互助
Book学术文献互助群
群 号:604180095
Book学术官方微信