Undetected Plasmodium malariae and P. ovale infections in HRP2 RDT-positive children with uncomplicated malaria in Nanoro, Burkina Faso.

MalariaWorld journal Pub Date : 2025-07-16 eCollection Date: 2025-01-01 DOI:10.5281/zenodo.15965746
Amélé Fifi Chantal Kouevi, Ipéné Mylène Carenne Bayala, Paul Sondo, Bérenger Kaboré, Kié Solange Millogo, Sié A Elisée Kambou, Eulalie W Compaore, Moustapha Nikiema, Adama Kazienga, Toussaint Rouamba, Awa Gnémé, Halidou Tinto
{"title":"Undetected <i>Plasmodium malariae</i> and <i>P. ovale</i> infections in HRP2 RDT-positive children with uncomplicated malaria in Nanoro, Burkina Faso.","authors":"Amélé Fifi Chantal Kouevi, Ipéné Mylène Carenne Bayala, Paul Sondo, Bérenger Kaboré, Kié Solange Millogo, Sié A Elisée Kambou, Eulalie W Compaore, Moustapha Nikiema, Adama Kazienga, Toussaint Rouamba, Awa Gnémé, Halidou Tinto","doi":"10.5281/zenodo.15965746","DOIUrl":null,"url":null,"abstract":"<p><strong>Background: </strong>The widespread use of histidine-rich protein 2 (HPR2)-based rapid diagnostic tests (RDTs), specific to <i>Plasmodium falciparum</i> in endemic areas may underestimate the weight of minor species such as <i>P. malariae</i> and <i>P. ovale</i> in malaria transmission. This study aimed to determine the extent of undetected <i>P. malariae</i> and <i>P. ovale</i> infections in children with positive diagnosis of uncomplicated malaria based on HRP2 RDT in the Nanoro health district, Burkina Faso.</p><p><strong>Materials and methods: </strong>Children <5 yrs with uncomplicated malaria confirmed by HRP2 RDT were recruited from July 2021 to June 2022 in five peripheral health facilities of the Nanoro health district. Blood samples were collected from finger prick for malaria species identification by microscopy and nested PCR. The prevalence of <i>P. malariae</i>, <i>P. ovale</i>, and mixed infections was estimated as the ratio of positive cases over the total samples analysed. Binomial generalised linear models were used to assess the effect of age and sex on the positivity rate of mixed infections.</p><p><strong>Results: </strong>Over the study period, 207 children with uncomplicated malaria who tested positive for the HRP2 antigen were included. Microscopy detected 4 non-<i>falciparum</i> cases: 3 <i>P. malariae</i> and 1 <i>P. ovale</i>. In addition to these patent cases, sub-patent infection with <i>P. ovale</i> and <i>P. malariae</i> were detected in 6 and 5 cases, respectively. Mixed infections with non-<i>falciparum</i> species exhibited lower parasite densities than mono-infections with <i>P. falciparum</i> alone. There was no effect of gender or age on the mixed infection positivity rate (X<sup>2</sup>=0.16, p=0.683).</p><p><strong>Conclusion: </strong>The widespread use of HPR2-based RDTs underestimate the burden of non-<i>falciparum</i> species. In the context of eliminating malaria, new diagnostic tools allowing the detection of <i>Plasmodium</i> species other than <i>P. falciparum</i> must be deployed.</p>","PeriodicalId":74100,"journal":{"name":"MalariaWorld journal","volume":"16 ","pages":"15"},"PeriodicalIF":0.0000,"publicationDate":"2025-07-16","publicationTypes":"Journal Article","fieldsOfStudy":null,"isOpenAccess":false,"openAccessPdf":"https://www.ncbi.nlm.nih.gov/pmc/articles/PMC12278796/pdf/","citationCount":"0","resultStr":null,"platform":"Semanticscholar","paperid":null,"PeriodicalName":"MalariaWorld journal","FirstCategoryId":"1085","ListUrlMain":"https://doi.org/10.5281/zenodo.15965746","RegionNum":0,"RegionCategory":null,"ArticlePicture":[],"TitleCN":null,"AbstractTextCN":null,"PMCID":null,"EPubDate":"2025/1/1 0:00:00","PubModel":"eCollection","JCR":"","JCRName":"","Score":null,"Total":0}
引用次数: 0

Abstract

Background: The widespread use of histidine-rich protein 2 (HPR2)-based rapid diagnostic tests (RDTs), specific to Plasmodium falciparum in endemic areas may underestimate the weight of minor species such as P. malariae and P. ovale in malaria transmission. This study aimed to determine the extent of undetected P. malariae and P. ovale infections in children with positive diagnosis of uncomplicated malaria based on HRP2 RDT in the Nanoro health district, Burkina Faso.

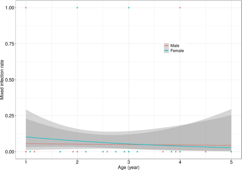
Materials and methods: Children <5 yrs with uncomplicated malaria confirmed by HRP2 RDT were recruited from July 2021 to June 2022 in five peripheral health facilities of the Nanoro health district. Blood samples were collected from finger prick for malaria species identification by microscopy and nested PCR. The prevalence of P. malariae, P. ovale, and mixed infections was estimated as the ratio of positive cases over the total samples analysed. Binomial generalised linear models were used to assess the effect of age and sex on the positivity rate of mixed infections.

Results: Over the study period, 207 children with uncomplicated malaria who tested positive for the HRP2 antigen were included. Microscopy detected 4 non-falciparum cases: 3 P. malariae and 1 P. ovale. In addition to these patent cases, sub-patent infection with P. ovale and P. malariae were detected in 6 and 5 cases, respectively. Mixed infections with non-falciparum species exhibited lower parasite densities than mono-infections with P. falciparum alone. There was no effect of gender or age on the mixed infection positivity rate (X2=0.16, p=0.683).

Conclusion: The widespread use of HPR2-based RDTs underestimate the burden of non-falciparum species. In the context of eliminating malaria, new diagnostic tools allowing the detection of Plasmodium species other than P. falciparum must be deployed.

Abstract Image

布基纳法索纳诺罗市HRP2 rdt阳性无并发症疟疾患儿中未检出疟疾疟原虫和卵形疟原虫感染。
背景:流行地区广泛使用的基于富组氨酸蛋白2 (HPR2)的恶性疟原虫特异性快速诊断检测(RDTs)可能低估了疟疾疟原虫和卵形疟原虫等次要物种在疟疾传播中的重要性。本研究旨在确定基于HRP2 RDT的布基纳法索Nanoro卫生区诊断为无并发症疟疾阳性的儿童中未检测到的疟疾疟原虫和卵形疟原虫感染的程度。材料和方法:估计儿童疟疾疟原虫、卵形疟原虫和混合感染的阳性病例占分析总样本的比例。采用二项广义线性模型评估年龄和性别对混合感染阳性率的影响。结果:在研究期间,纳入了207名HRP2抗原检测呈阳性的无并发症疟疾患儿。显微镜检出4例非恶性疟病例:3例为疟疾疟原虫,1例为卵形疟原虫。除上述专利病例外,卵圆疟原虫和疟疾疟原虫亚专利感染病例分别为6例和5例。与单一恶性疟原虫感染相比,非恶性疟原虫混合感染的寄生虫密度较低。性别、年龄对混合感染阳性率无显著影响(X2=0.16, p=0.683)。结论:广泛使用基于hpr2的RDTs低估了非恶性疟原虫的负担。在消除疟疾的背景下,必须部署能够检测恶性疟原虫以外的其他疟原虫的新诊断工具。
本文章由计算机程序翻译,如有差异,请以英文原文为准。
求助全文
约1分钟内获得全文 求助全文
来源期刊
自引率
0.00%
发文量
0
×
引用
GB/T 7714-2015
复制
MLA
复制
APA
复制
导出至
BibTeX EndNote RefMan NoteFirst NoteExpress
×
提示
您的信息不完整,为了账户安全,请先补充。
现在去补充
×
提示
您因"违规操作"
具体请查看互助需知
我知道了
×
提示
确定
请完成安全验证×
copy
已复制链接
快去分享给好友吧!
我知道了
右上角分享
点击右上角分享
0
联系我们:info@booksci.cn Book学术提供免费学术资源搜索服务,方便国内外学者检索中英文文献。致力于提供最便捷和优质的服务体验。 Copyright © 2023 布克学术 All rights reserved.
京ICP备2023020795号-1
ghs 京公网安备 11010802042870号
Book学术文献互助
Book学术文献互助群
群 号:604180095
Book学术官方微信