Morphometric, histometric and elemental profile of the metacarpal and metatarsal bones in adult Sanjabi sheep.

IF 1.1 4区 农林科学 Q3 ZOOLOGY
Veterinary Research Forum Pub Date : 2025-01-01 Epub Date: 2025-05-05 DOI:10.30466/vrf.2024.2034586.4349
Sajedeh Azizi, Nader Goodarzi, Saeed Ghaderi
{"title":"Morphometric, histometric and elemental profile of the metacarpal and metatarsal bones in adult Sanjabi sheep.","authors":"Sajedeh Azizi, Nader Goodarzi, Saeed Ghaderi","doi":"10.30466/vrf.2024.2034586.4349","DOIUrl":null,"url":null,"abstract":"<p><p>Bone structure has been widely studied in mammals, however, osteon structure in sheep has received relatively little attention, especially in terms of its location on the forelimbs and hindlimbs. The aim of this study was to investigate the histometric characteristics and mineral composition of the metacarpus and metatarsus of adult Sanjabi sheep. Metacarpal and metatarsal bones were collected from five adult Sanjabi sheep (n = 10). Morphometric measurements were performed on computed tomographic scan images. Histometric parameters were measured on histological sections. The mineral composition of the bone samples was detected using the X-ray fluorescence method. The diameter of the Haversian canal in the right metatarsus was significantly greater than that in the other bones. The smallest diameter of the Haversian canal was observed for the right metacarpus. The diameter and area of the osteons in the right metacarpal were significantly greater than those in the other bones. The amount of essential mineral elements was not significantly different among bones. Aluminum and lead were significantly greater in the left metatarsus. The highest amount of copper was observed in the left metacarpus. These results indicated that there was a greater load on the right limb. This compensatory mechanism might be used to put more weight on the right forelimb and reduce the pressure caused by the weight of the rumen on the left forelimb. However, to prove this hypothesis, more detailed and extensive studies are needed in the future.</p>","PeriodicalId":23989,"journal":{"name":"Veterinary Research Forum","volume":"16 5","pages":"293-300"},"PeriodicalIF":1.1000,"publicationDate":"2025-01-01","publicationTypes":"Journal Article","fieldsOfStudy":null,"isOpenAccess":false,"openAccessPdf":"https://www.ncbi.nlm.nih.gov/pmc/articles/PMC12276369/pdf/","citationCount":"0","resultStr":null,"platform":"Semanticscholar","paperid":null,"PeriodicalName":"Veterinary Research Forum","FirstCategoryId":"97","ListUrlMain":"https://doi.org/10.30466/vrf.2024.2034586.4349","RegionNum":4,"RegionCategory":"农林科学","ArticlePicture":[],"TitleCN":null,"AbstractTextCN":null,"PMCID":null,"EPubDate":"2025/5/5 0:00:00","PubModel":"Epub","JCR":"Q3","JCRName":"ZOOLOGY","Score":null,"Total":0}
引用次数: 0

Abstract

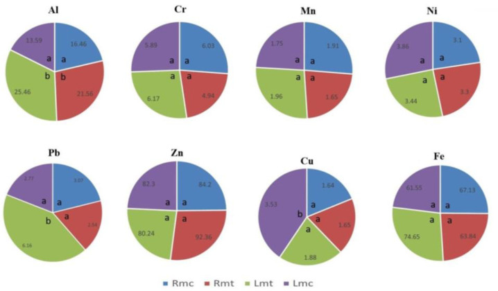
Bone structure has been widely studied in mammals, however, osteon structure in sheep has received relatively little attention, especially in terms of its location on the forelimbs and hindlimbs. The aim of this study was to investigate the histometric characteristics and mineral composition of the metacarpus and metatarsus of adult Sanjabi sheep. Metacarpal and metatarsal bones were collected from five adult Sanjabi sheep (n = 10). Morphometric measurements were performed on computed tomographic scan images. Histometric parameters were measured on histological sections. The mineral composition of the bone samples was detected using the X-ray fluorescence method. The diameter of the Haversian canal in the right metatarsus was significantly greater than that in the other bones. The smallest diameter of the Haversian canal was observed for the right metacarpus. The diameter and area of the osteons in the right metacarpal were significantly greater than those in the other bones. The amount of essential mineral elements was not significantly different among bones. Aluminum and lead were significantly greater in the left metatarsus. The highest amount of copper was observed in the left metacarpus. These results indicated that there was a greater load on the right limb. This compensatory mechanism might be used to put more weight on the right forelimb and reduce the pressure caused by the weight of the rumen on the left forelimb. However, to prove this hypothesis, more detailed and extensive studies are needed in the future.

Abstract Image

Abstract Image

Abstract Image

成年桑贾比羊掌骨和跖骨的形态计量学、组织计量学和元素特征。
哺乳动物的骨结构已经得到了广泛的研究,然而,绵羊的骨结构受到的关注相对较少,特别是其在前肢和后肢上的位置。本研究的目的是研究成年桑贾比羊的掌骨和跖骨的组织特征和矿物质组成。采集5只成年桑贾比羊(n = 10)的掌骨和跖骨。对计算机断层扫描图像进行形态测量。在组织学切片上测量组织学参数。用x射线荧光法检测骨样品的矿物组成。右跖骨的哈弗森管直径明显大于其他骨。右侧掌骨的哈弗氏管直径最小。右掌骨骨的直径和面积明显大于其他骨。不同骨骼中必需矿物质元素的含量无显著差异。左跖骨的铝和铅含量明显高于左跖骨。左掌骨中铜含量最高。这些结果表明,右肢的负荷更大。这种代偿机制可能是为了增加右前肢的重量,减少瘤胃重量对左前肢造成的压力。然而,为了证明这一假设,未来还需要更详细、更广泛的研究。
本文章由计算机程序翻译,如有差异,请以英文原文为准。
求助全文
约1分钟内获得全文 求助全文
来源期刊
Veterinary Research Forum
Veterinary Research Forum Veterinary-General Veterinary
CiteScore
1.50
自引率
0.00%
发文量
0
审稿时长
8 weeks
期刊介绍: Veterinary Research Forum (VRF) is a quarterly international journal committed to publish worldwide contributions on all aspects of veterinary science and medicine, including anatomy and histology, physiology and pharmacology, anatomic and clinical pathology, parasitology, microbiology, immunology and epidemiology, food hygiene, poultry science, fish and aquaculture, anesthesia and surgery, large and small animal internal medicine, large and small animal reproduction, biotechnology and diagnostic imaging of domestic, companion and farm animals.
×
引用
GB/T 7714-2015
复制
MLA
复制
APA
复制
导出至
BibTeX EndNote RefMan NoteFirst NoteExpress
×
提示
您的信息不完整,为了账户安全,请先补充。
现在去补充
×
提示
您因"违规操作"
具体请查看互助需知
我知道了
×
提示
确定
请完成安全验证×
copy
已复制链接
快去分享给好友吧!
我知道了
右上角分享
点击右上角分享
0
联系我们:info@booksci.cn Book学术提供免费学术资源搜索服务,方便国内外学者检索中英文文献。致力于提供最便捷和优质的服务体验。 Copyright © 2023 布克学术 All rights reserved.
京ICP备2023020795号-1
ghs 京公网安备 11010802042870号
Book学术文献互助
Book学术文献互助群
群 号:604180095
Book学术官方微信