The impact of relationship between tumor volume and radiation dose on pain relief: are higher doses needed for larger tumors?

IF 2 4区 医学 Q2 BIOLOGY
Kohsei Yamaguchi, Tetsuo Saito, Tomohiko Matsuyama, Yoshiyuki Fukugawa, Takahiro Watakabe, Shigeo Yamada, Natsuo Oya
{"title":"The impact of relationship between tumor volume and radiation dose on pain relief: are higher doses needed for larger tumors?","authors":"Kohsei Yamaguchi, Tetsuo Saito, Tomohiko Matsuyama, Yoshiyuki Fukugawa, Takahiro Watakabe, Shigeo Yamada, Natsuo Oya","doi":"10.1093/jrr/rraf039","DOIUrl":null,"url":null,"abstract":"<p><p>The influences of tumor volume and total radiation dose on pain relief outcomes have not been fully investigated. We investigated potential correlations between gross tumor volume (GTV), biologically effective dose (BED) and pain relief in patients receiving radiation therapy (RT) for painful tumors. As a secondary analysis of a three-center prospective observational study of 302 patients who received RT for painful tumors, patients treated at an academic hospital were analyzed. We used the Brief Pain Inventory short form to evaluate pain intensity and interference in patients' lives. We collected the Brief Pain Inventory and analgesic data at baseline and 1, 2, 3, 6, 9 and 12 months after the start of RT. Pain responses were assessed using the International Consensus Endpoint. The Fine and Gray models were used for univariable and multivariable analyses, to estimate the impact of clinical factors on pain response and pain progression. In total, 153 (59%) of the 258 patients experienced a pain response, and 45 (17%) patients experienced pain progression. In the univariable and multivariable analyses, GTV and BED did not significantly associate with pain response or pain progression. Furthermore, no significant interaction between GTV and BED was reported in terms of pain response or pain progression after adjusting for covariates. The impact of BED on pain response and pain progression did not vary according to the GTV.</p>","PeriodicalId":16922,"journal":{"name":"Journal of Radiation Research","volume":" ","pages":"520-527"},"PeriodicalIF":2.0000,"publicationDate":"2025-09-23","publicationTypes":"Journal Article","fieldsOfStudy":null,"isOpenAccess":false,"openAccessPdf":"https://www.ncbi.nlm.nih.gov/pmc/articles/PMC12460043/pdf/","citationCount":"0","resultStr":null,"platform":"Semanticscholar","paperid":null,"PeriodicalName":"Journal of Radiation Research","FirstCategoryId":"3","ListUrlMain":"https://doi.org/10.1093/jrr/rraf039","RegionNum":4,"RegionCategory":"医学","ArticlePicture":[],"TitleCN":null,"AbstractTextCN":null,"PMCID":null,"EPubDate":"","PubModel":"","JCR":"Q2","JCRName":"BIOLOGY","Score":null,"Total":0}
引用次数: 0

Abstract

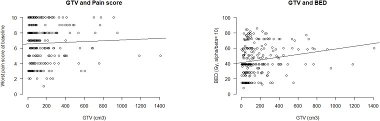
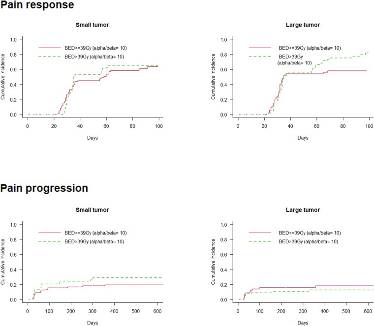
The influences of tumor volume and total radiation dose on pain relief outcomes have not been fully investigated. We investigated potential correlations between gross tumor volume (GTV), biologically effective dose (BED) and pain relief in patients receiving radiation therapy (RT) for painful tumors. As a secondary analysis of a three-center prospective observational study of 302 patients who received RT for painful tumors, patients treated at an academic hospital were analyzed. We used the Brief Pain Inventory short form to evaluate pain intensity and interference in patients' lives. We collected the Brief Pain Inventory and analgesic data at baseline and 1, 2, 3, 6, 9 and 12 months after the start of RT. Pain responses were assessed using the International Consensus Endpoint. The Fine and Gray models were used for univariable and multivariable analyses, to estimate the impact of clinical factors on pain response and pain progression. In total, 153 (59%) of the 258 patients experienced a pain response, and 45 (17%) patients experienced pain progression. In the univariable and multivariable analyses, GTV and BED did not significantly associate with pain response or pain progression. Furthermore, no significant interaction between GTV and BED was reported in terms of pain response or pain progression after adjusting for covariates. The impact of BED on pain response and pain progression did not vary according to the GTV.

Abstract Image

Abstract Image

肿瘤体积与辐射剂量关系对疼痛缓解的影响:肿瘤越大需要更高的剂量吗?
肿瘤体积和总辐射剂量对疼痛缓解效果的影响尚未得到充分的研究。我们研究了接受放射治疗(RT)的疼痛性肿瘤患者的总肿瘤体积(GTV)、生物有效剂量(BED)和疼痛缓解之间的潜在相关性。作为对一项三中心前瞻性观察性研究的二次分析,该研究对302例接受RT治疗疼痛性肿瘤的患者进行了分析。我们使用简短疼痛量表来评估疼痛强度和对患者生活的干扰。我们收集了基线和rt开始后1、2、3、6、9和12个月的简短疼痛清单和镇痛数据。使用国际共识终点评估疼痛反应。Fine和Gray模型用于单变量和多变量分析,以估计临床因素对疼痛反应和疼痛进展的影响。258名患者中,153名(59%)患者出现疼痛反应,45名(17%)患者出现疼痛进展。在单变量和多变量分析中,GTV和BED与疼痛反应或疼痛进展没有显著相关性。此外,在调整协变量后,GTV和BED在疼痛反应或疼痛进展方面没有显著的相互作用。BED对疼痛反应和疼痛进展的影响不因GTV而异。
本文章由计算机程序翻译,如有差异,请以英文原文为准。
求助全文
约1分钟内获得全文 求助全文
来源期刊
CiteScore
3.60
自引率
5.00%
发文量
86
审稿时长
4-8 weeks
期刊介绍: The Journal of Radiation Research (JRR) is an official journal of The Japanese Radiation Research Society (JRRS), and the Japanese Society for Radiation Oncology (JASTRO). Since its launch in 1960 as the official journal of the JRRS, the journal has published scientific articles in radiation science in biology, chemistry, physics, epidemiology, and environmental sciences. JRR broadened its scope to include oncology in 2009, when JASTRO partnered with the JRRS to publish the journal. Articles considered fall into two broad categories: Oncology & Medicine - including all aspects of research with patients that impacts on the treatment of cancer using radiation. Papers which cover related radiation therapies, radiation dosimetry, and those describing the basis for treatment methods including techniques, are also welcomed. Clinical case reports are not acceptable. Radiation Research - basic science studies of radiation effects on livings in the area of physics, chemistry, biology, epidemiology and environmental sciences. Please be advised that JRR does not accept any papers of pure physics or chemistry. The journal is bimonthly, and is edited and published by the JRR Editorial Committee.
×
引用
GB/T 7714-2015
复制
MLA
复制
APA
复制
导出至
BibTeX EndNote RefMan NoteFirst NoteExpress
×
提示
您的信息不完整,为了账户安全,请先补充。
现在去补充
×
提示
您因"违规操作"
具体请查看互助需知
我知道了
×
提示
确定
请完成安全验证×
copy
已复制链接
快去分享给好友吧!
我知道了
右上角分享
点击右上角分享
0
联系我们:info@booksci.cn Book学术提供免费学术资源搜索服务,方便国内外学者检索中英文文献。致力于提供最便捷和优质的服务体验。 Copyright © 2023 布克学术 All rights reserved.
京ICP备2023020795号-1
ghs 京公网安备 11010802042870号
Book学术文献互助
Book学术文献互助群
群 号:604180095
Book学术官方微信