Effectiveness and patient-reported impact of on-flare retreatment in patients with rheumatoid arthritis: insights from retrospective long-term real-world data.

IF 2.5 Q3 RHEUMATOLOGY
Delphine Bertrand, Elias De Meyst, Michaël Doumen, Diederik De Cock, Johan Joly, Barbara Neerinckx, Sofia Pazmino, Nele Pype, Tom Conings, René Westhovens, Patrick Verschueren
{"title":"Effectiveness and patient-reported impact of on-flare retreatment in patients with rheumatoid arthritis: insights from retrospective long-term real-world data.","authors":"Delphine Bertrand, Elias De Meyst, Michaël Doumen, Diederik De Cock, Johan Joly, Barbara Neerinckx, Sofia Pazmino, Nele Pype, Tom Conings, René Westhovens, Patrick Verschueren","doi":"10.1186/s41927-025-00530-x","DOIUrl":null,"url":null,"abstract":"<p><strong>Background: </strong>Rituximab is known as an efficacious drug for the treatment of Rheumatoid Arthritis (RA). The original administration schedule consisted of two infusions of 1000 mg with a 2-week interval. We aimed to explore the long-term effectiveness of rituximab in daily clinical practice in patients with RA.</p><p><strong>Methods: </strong>Data of patients with RA treated with rituximab in a tertiary university hospital (2006-2019) were retrospectively collected from rituximab initiation until December 1st 2019 or rituximab discontinuation, whichever came first. Rituximab retreatment was based on a treat-to-target-approach guided by a 28-joint disease activity score (DAS28) ≥ 3.2, as dictated by national reimbursement criteria. Rituximab retention rate was investigated using a Kaplan-Meier survival curve.</p><p><strong>Results: </strong>We collected data of 104 patients (59% female, 94% RF/ACPA-seropositive). At rituximab initiation, patients had a mean ± SD age of 58 ± 12 years and median disease duration of 12 (IQR 5-17) years. Patients were followed for a median of 40 (IQR 14-80) months and received a median of 3 (IQR 2-6) rituximab cycles. In total, 9% (9/104) patients discontinued rituximab and 14% (15/104) were treated with a reduced dose. Inherent to the retreatment strategy, disease activity fluctuated with a DAS28-increase before every new rituximab administration. Similar fluctuations were noticed for patient and physician reported outcomes. Proportion of patients continuing rituximab after three years was 94% (95% CI 89% - 99%).</p><p><strong>Conclusions: </strong>Although rituximab can be considered as an efficacious drug for RA treatment in daily practice, fluctuations in disease activity were noticed related to the retreatment approach, accompanied by impaired patient's wellbeing.</p><p><strong>Trial registration: </strong>Not applicable.</p>","PeriodicalId":9150,"journal":{"name":"BMC Rheumatology","volume":"9 1","pages":"91"},"PeriodicalIF":2.5000,"publicationDate":"2025-07-21","publicationTypes":"Journal Article","fieldsOfStudy":null,"isOpenAccess":false,"openAccessPdf":"https://www.ncbi.nlm.nih.gov/pmc/articles/PMC12278676/pdf/","citationCount":"0","resultStr":null,"platform":"Semanticscholar","paperid":null,"PeriodicalName":"BMC Rheumatology","FirstCategoryId":"1085","ListUrlMain":"https://doi.org/10.1186/s41927-025-00530-x","RegionNum":0,"RegionCategory":null,"ArticlePicture":[],"TitleCN":null,"AbstractTextCN":null,"PMCID":null,"EPubDate":"","PubModel":"","JCR":"Q3","JCRName":"RHEUMATOLOGY","Score":null,"Total":0}
引用次数: 0

Abstract

Background: Rituximab is known as an efficacious drug for the treatment of Rheumatoid Arthritis (RA). The original administration schedule consisted of two infusions of 1000 mg with a 2-week interval. We aimed to explore the long-term effectiveness of rituximab in daily clinical practice in patients with RA.

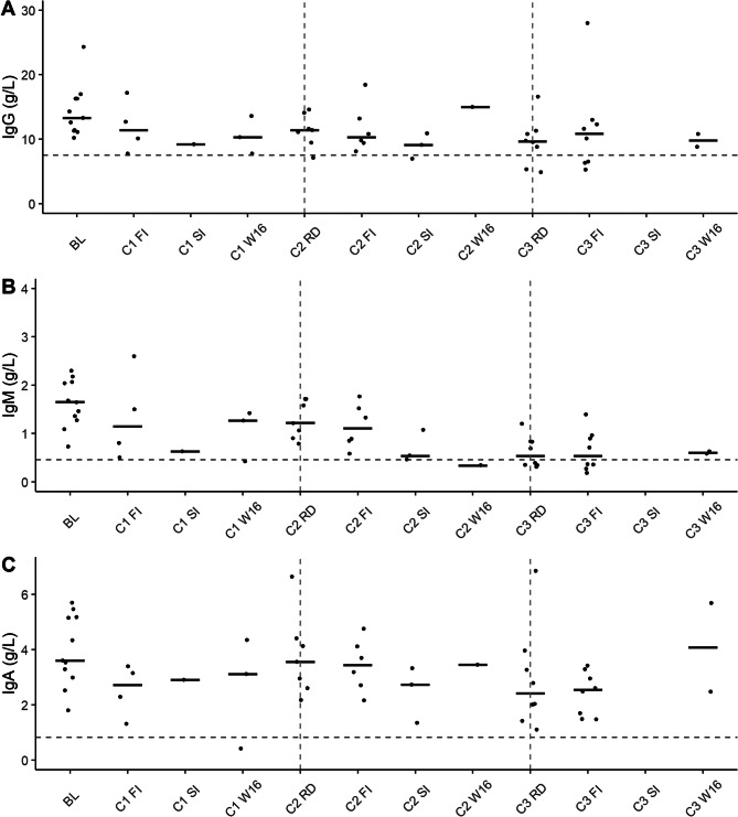
Methods: Data of patients with RA treated with rituximab in a tertiary university hospital (2006-2019) were retrospectively collected from rituximab initiation until December 1st 2019 or rituximab discontinuation, whichever came first. Rituximab retreatment was based on a treat-to-target-approach guided by a 28-joint disease activity score (DAS28) ≥ 3.2, as dictated by national reimbursement criteria. Rituximab retention rate was investigated using a Kaplan-Meier survival curve.

Results: We collected data of 104 patients (59% female, 94% RF/ACPA-seropositive). At rituximab initiation, patients had a mean ± SD age of 58 ± 12 years and median disease duration of 12 (IQR 5-17) years. Patients were followed for a median of 40 (IQR 14-80) months and received a median of 3 (IQR 2-6) rituximab cycles. In total, 9% (9/104) patients discontinued rituximab and 14% (15/104) were treated with a reduced dose. Inherent to the retreatment strategy, disease activity fluctuated with a DAS28-increase before every new rituximab administration. Similar fluctuations were noticed for patient and physician reported outcomes. Proportion of patients continuing rituximab after three years was 94% (95% CI 89% - 99%).

Conclusions: Although rituximab can be considered as an efficacious drug for RA treatment in daily practice, fluctuations in disease activity were noticed related to the retreatment approach, accompanied by impaired patient's wellbeing.

Trial registration: Not applicable.

Abstract Image

Abstract Image

Abstract Image

类风湿性关节炎患者复发后再治疗的有效性和患者报告的影响:来自长期真实世界回顾性数据的见解
背景:利妥昔单抗是治疗类风湿性关节炎(RA)的有效药物。最初的给药计划包括两次1000毫克的输注,间隔2周。我们的目的是探索利妥昔单抗在RA患者日常临床实践中的长期有效性。方法:回顾性收集某三级大学医院2006-2019年接受利妥昔单抗治疗的RA患者的数据,从开始使用利妥昔单抗到2019年12月1日或停止使用利妥昔单抗,以先到者为准。利妥昔单抗再治疗是基于28个关节疾病活动评分(DAS28)≥3.2指导的从治疗到目标的方法,由国家报销标准规定。采用Kaplan-Meier生存曲线研究利妥昔单抗保留率。结果:我们收集了104例患者的数据(59%为女性,94%为RF/ acpa血清阳性)。在利妥昔单抗开始治疗时,患者的平均±SD年龄为58±12岁,中位病程为12年(IQR 5-17)年。患者随访中位数为40 (IQR 14-80)个月,接受中位数为3 (IQR 2-6)个利妥昔单抗周期。总共有9%(9/104)的患者停用了利妥昔单抗,14%(15/104)的患者接受了减少剂量的治疗。作为再治疗策略的固有特征,在每次新的利妥昔单抗给药前,疾病活动性随das28的增加而波动。患者和医生报告的结果也出现了类似的波动。三年后继续使用利妥昔单抗的患者比例为94% (95% CI 89% - 99%)。结论:尽管在日常实践中,利妥昔单抗可以被认为是治疗类风湿性关节炎的有效药物,但我们注意到疾病活动性的波动与再治疗方法有关,并伴有受损患者的健康状况。试验注册:不适用。
本文章由计算机程序翻译,如有差异,请以英文原文为准。
求助全文
约1分钟内获得全文 求助全文
来源期刊
BMC Rheumatology
BMC Rheumatology Medicine-Rheumatology
CiteScore
3.80
自引率
0.00%
发文量
73
审稿时长
15 weeks
×
引用
GB/T 7714-2015
复制
MLA
复制
APA
复制
导出至
BibTeX EndNote RefMan NoteFirst NoteExpress
×
提示
您的信息不完整,为了账户安全,请先补充。
现在去补充
×
提示
您因"违规操作"
具体请查看互助需知
我知道了
×
提示
确定
请完成安全验证×
copy
已复制链接
快去分享给好友吧!
我知道了
右上角分享
点击右上角分享
0
联系我们:info@booksci.cn Book学术提供免费学术资源搜索服务,方便国内外学者检索中英文文献。致力于提供最便捷和优质的服务体验。 Copyright © 2023 布克学术 All rights reserved.
京ICP备2023020795号-1
ghs 京公网安备 11010802042870号
Book学术文献互助
Book学术文献互助群
群 号:604180095
Book学术官方微信