Development and Validation of a Diagnostic Nomogram Model for Predicting Cognitive Frailty in Acute Coronary Syndrome.

IF 3.7 3区 医学 Q2 GERIATRICS & GERONTOLOGY
Clinical Interventions in Aging Pub Date : 2025-07-14 eCollection Date: 2025-01-01 DOI:10.2147/CIA.S527085
Shan Wang, Ying Sun, Wen Tang, Shangxin Lu, Feng Feng, Xiaopei Hou, Lihong Ma, Runzhi Li, Jieqiong Hu, Bing Liu, Yunli Xing
{"title":"Development and Validation of a Diagnostic Nomogram Model for Predicting Cognitive Frailty in Acute Coronary Syndrome.","authors":"Shan Wang, Ying Sun, Wen Tang, Shangxin Lu, Feng Feng, Xiaopei Hou, Lihong Ma, Runzhi Li, Jieqiong Hu, Bing Liu, Yunli Xing","doi":"10.2147/CIA.S527085","DOIUrl":null,"url":null,"abstract":"<p><strong>Background: </strong>Cognitive frailty (CF) is strongly associated with major adverse cardiovascular events, yet its assessment requires specialized equipment, limiting clinical practicality. This study aimed to develop and validate a nomogram model for predicting CF in patients with acute coronary syndrome (ACS) to enhance early identification and intervention.</p><p><strong>Methods: </strong>Patients with ACS (N=547) were enrolled and randomly split into a training set (70%) and a testing set (30%). The training set was used to construct the nomogram, while the testing set was used for validation. Model performance was evaluated using the receiver operating characteristic (ROC) curve, calibration curve, and decision curve analysis (DCA) to assess discrimination, accuracy, and clinical utility, respectively.</p><p><strong>Results: </strong>The nomogram included six predictors: education level, age, systolic blood pressure (SBP), Charlson Comorbidity Index (CCI), Short Physical Performance Battery (SPPB), and nutritional status. The model demonstrated strong discriminatory power, with an area under the ROC curve of 0.854 (95% CI: 0.741-0.861) in the training cohort and 0.733 (95% CI: 0.500-0.898) in the testing cohort. Calibration analysis confirmed high accuracy, and DCA indicated significant net benefits across both cohorts, supporting its clinical applicability.</p><p><strong>Conclusion: </strong>The nomogram effectively predicts CF in ACS patients by considering education, age, SBP, CCI, SPPB, and nutritional status, serving as a visual aid for healthcare providers to facilitate the early identification and intervention of CF. Future research is needed to validate the nomogram's efficacy in diverse populations and explore standardized assessment methods that enhance its clinical applicability in mitigating CF in ACS patients.</p>","PeriodicalId":48841,"journal":{"name":"Clinical Interventions in Aging","volume":"20 ","pages":"1015-1027"},"PeriodicalIF":3.7000,"publicationDate":"2025-07-14","publicationTypes":"Journal Article","fieldsOfStudy":null,"isOpenAccess":false,"openAccessPdf":"https://www.ncbi.nlm.nih.gov/pmc/articles/PMC12274275/pdf/","citationCount":"0","resultStr":null,"platform":"Semanticscholar","paperid":null,"PeriodicalName":"Clinical Interventions in Aging","FirstCategoryId":"3","ListUrlMain":"https://doi.org/10.2147/CIA.S527085","RegionNum":3,"RegionCategory":"医学","ArticlePicture":[],"TitleCN":null,"AbstractTextCN":null,"PMCID":null,"EPubDate":"2025/1/1 0:00:00","PubModel":"eCollection","JCR":"Q2","JCRName":"GERIATRICS & GERONTOLOGY","Score":null,"Total":0}
引用次数: 0

Abstract

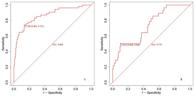
Background: Cognitive frailty (CF) is strongly associated with major adverse cardiovascular events, yet its assessment requires specialized equipment, limiting clinical practicality. This study aimed to develop and validate a nomogram model for predicting CF in patients with acute coronary syndrome (ACS) to enhance early identification and intervention.

Methods: Patients with ACS (N=547) were enrolled and randomly split into a training set (70%) and a testing set (30%). The training set was used to construct the nomogram, while the testing set was used for validation. Model performance was evaluated using the receiver operating characteristic (ROC) curve, calibration curve, and decision curve analysis (DCA) to assess discrimination, accuracy, and clinical utility, respectively.

Results: The nomogram included six predictors: education level, age, systolic blood pressure (SBP), Charlson Comorbidity Index (CCI), Short Physical Performance Battery (SPPB), and nutritional status. The model demonstrated strong discriminatory power, with an area under the ROC curve of 0.854 (95% CI: 0.741-0.861) in the training cohort and 0.733 (95% CI: 0.500-0.898) in the testing cohort. Calibration analysis confirmed high accuracy, and DCA indicated significant net benefits across both cohorts, supporting its clinical applicability.

Conclusion: The nomogram effectively predicts CF in ACS patients by considering education, age, SBP, CCI, SPPB, and nutritional status, serving as a visual aid for healthcare providers to facilitate the early identification and intervention of CF. Future research is needed to validate the nomogram's efficacy in diverse populations and explore standardized assessment methods that enhance its clinical applicability in mitigating CF in ACS patients.

Abstract Image

Abstract Image

Abstract Image

急性冠脉综合征认知衰弱诊断图模型的建立与验证。
背景:认知衰弱(CF)与主要心血管不良事件密切相关,但其评估需要专门的设备,限制了临床实用性。本研究旨在建立并验证一种预测急性冠脉综合征(ACS)患者CF的nomogram模型,以加强早期识别和干预。方法:纳入547例ACS患者,随机分为训练组(70%)和测试组(30%)。训练集用于构造模态图,测试集用于验证。采用受试者工作特征(ROC)曲线、校准曲线和决策曲线分析(DCA)分别评估模型的鉴别性、准确性和临床实用性。结果:nomogram包括6个预测因子:教育程度、年龄、收缩压(SBP)、Charlson共病指数(CCI)、Short Physical Performance Battery (SPPB)和营养状况。该模型具有很强的判别能力,训练组ROC曲线下面积为0.854 (95% CI: 0.741-0.861),检验组ROC曲线下面积为0.733 (95% CI: 0.500-0.898)。校准分析证实了高准确性,DCA在两个队列中显示了显著的净收益,支持其临床适用性。结论:nomogram可综合考虑文化程度、年龄、收缩压、CCI、SPPB、营养状况等因素,有效预测ACS患者的CF,为医护人员早期识别和干预CF提供了直观的帮助。未来需要进一步研究验证nomogram在不同人群中的疗效,探索标准化评估方法,增强其在缓解ACS患者CF中的临床适用性。
本文章由计算机程序翻译,如有差异,请以英文原文为准。
求助全文
约1分钟内获得全文 求助全文
来源期刊
Clinical Interventions in Aging
Clinical Interventions in Aging GERIATRICS & GERONTOLOGY-
CiteScore
6.80
自引率
2.80%
发文量
193
审稿时长
6-12 weeks
期刊介绍: Clinical Interventions in Aging, is an online, peer reviewed, open access journal focusing on concise rapid reporting of original research and reviews in aging. Special attention will be given to papers reporting on actual or potential clinical applications leading to improved prevention or treatment of disease or a greater understanding of pathological processes that result from maladaptive changes in the body associated with aging. This journal is directed at a wide array of scientists, engineers, pharmacists, pharmacologists and clinical specialists wishing to maintain an up to date knowledge of this exciting and emerging field.
×
引用
GB/T 7714-2015
复制
MLA
复制
APA
复制
导出至
BibTeX EndNote RefMan NoteFirst NoteExpress
×
提示
您的信息不完整,为了账户安全,请先补充。
现在去补充
×
提示
您因"违规操作"
具体请查看互助需知
我知道了
×
提示
确定
请完成安全验证×
copy
已复制链接
快去分享给好友吧!
我知道了
右上角分享
点击右上角分享
0
联系我们:info@booksci.cn Book学术提供免费学术资源搜索服务,方便国内外学者检索中英文文献。致力于提供最便捷和优质的服务体验。 Copyright © 2023 布克学术 All rights reserved.
京ICP备2023020795号-1
ghs 京公网安备 11010802042870号
Book学术文献互助
Book学术文献互助群
群 号:604180095
Book学术官方微信