Comparative Analysis of "Trauma and Injury Severity Scores" and "Madras Head Injury Prognostic Scale" in Assessing Head Trauma Prognosis in the Emergency Department of Shahid Beheshti Hospital, Sabzevar, Iran.

Marjan Hamidnezhad, Mozhgan Ansari, Tahura Afshari Saleh, Samira Foji
{"title":"Comparative Analysis of \"Trauma and Injury Severity Scores\" and \"Madras Head Injury Prognostic Scale\" in Assessing Head Trauma Prognosis in the Emergency Department of Shahid Beheshti Hospital, Sabzevar, Iran.","authors":"Marjan Hamidnezhad, Mozhgan Ansari, Tahura Afshari Saleh, Samira Foji","doi":"10.30476/beat.2025.104632.1554","DOIUrl":null,"url":null,"abstract":"<p><strong>Objectives: </strong>This study aimed to compare the effectiveness of Trauma and Injury Severity Scores (TRISS) and Madras Head Injury Prognostic Scale (MHIPS) in assessing the prognosis of head trauma patients in the emergency department.</p><p><strong>Methods: </strong>In this descriptive-analytical (predictive) study, 140 head trauma patients admitted to the emergency department of Shahid Beheshti Hospital (Sabzevar, Iran), were included from January to November 2023. Participants were selected via convenience sampling method and based on the inclusion criteria. Data were collected using a demographic questionnaire, the TRISS, and the MHIPS scale, and analyzed using Stata software (version 17).</p><p><strong>Results: </strong>The mean age of the injured patients was 39.72±19.86 years, and 102 (73%) patients were male. For intensive care unit (ICU) hospitalization prediction, the MHIPS tool showed a sensitivity of 92%, specificity of 86%, positive predictive value (PPV) of 60%, and negative predictive value (NPV) of 98%. For mortality prediction, the MHIPS tool had a sensitivity of 89%, specificity of 86%, PPV of 27%, and NPV of 99% in predicting death. The TRISS tool demonstrated a sensitivity of 81%, a specificity of 96%, a PPV of 81%, and an NPV of 95% for ICU hospitalization, and a sensitivity of 75%, specificity of 87%, PPV of 26%, and NPV of 98% for mortality. No significant difference was observed between TRISS and MHIPS in predicting the probability of ICU admission and mortality (<i>p</i>=0.797).</p><p><strong>Conclusion: </strong>Both TRISS and MHIPS demonstrated satisfactory predictive value for head trauma outcomes, with neither tool being superior to the other.</p>","PeriodicalId":9333,"journal":{"name":"Bulletin of emergency and trauma","volume":"13 2","pages":"76-82"},"PeriodicalIF":0.0000,"publicationDate":"2025-01-01","publicationTypes":"Journal Article","fieldsOfStudy":null,"isOpenAccess":false,"openAccessPdf":"https://www.ncbi.nlm.nih.gov/pmc/articles/PMC12275172/pdf/","citationCount":"0","resultStr":null,"platform":"Semanticscholar","paperid":null,"PeriodicalName":"Bulletin of emergency and trauma","FirstCategoryId":"1085","ListUrlMain":"https://doi.org/10.30476/beat.2025.104632.1554","RegionNum":0,"RegionCategory":null,"ArticlePicture":[],"TitleCN":null,"AbstractTextCN":null,"PMCID":null,"EPubDate":"","PubModel":"","JCR":"","JCRName":"","Score":null,"Total":0}
引用次数: 0

Abstract

Objectives: This study aimed to compare the effectiveness of Trauma and Injury Severity Scores (TRISS) and Madras Head Injury Prognostic Scale (MHIPS) in assessing the prognosis of head trauma patients in the emergency department.

Methods: In this descriptive-analytical (predictive) study, 140 head trauma patients admitted to the emergency department of Shahid Beheshti Hospital (Sabzevar, Iran), were included from January to November 2023. Participants were selected via convenience sampling method and based on the inclusion criteria. Data were collected using a demographic questionnaire, the TRISS, and the MHIPS scale, and analyzed using Stata software (version 17).

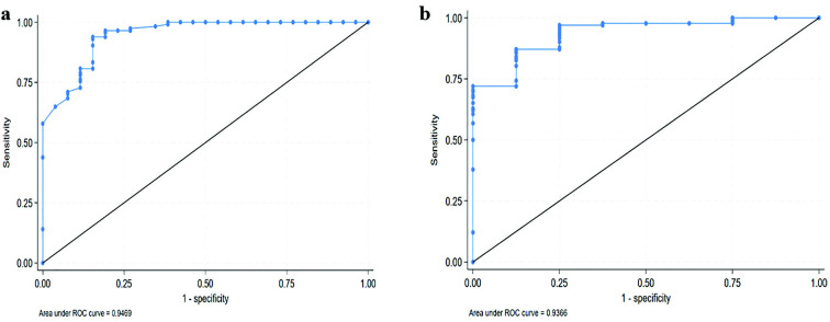
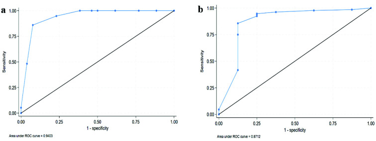
Results: The mean age of the injured patients was 39.72±19.86 years, and 102 (73%) patients were male. For intensive care unit (ICU) hospitalization prediction, the MHIPS tool showed a sensitivity of 92%, specificity of 86%, positive predictive value (PPV) of 60%, and negative predictive value (NPV) of 98%. For mortality prediction, the MHIPS tool had a sensitivity of 89%, specificity of 86%, PPV of 27%, and NPV of 99% in predicting death. The TRISS tool demonstrated a sensitivity of 81%, a specificity of 96%, a PPV of 81%, and an NPV of 95% for ICU hospitalization, and a sensitivity of 75%, specificity of 87%, PPV of 26%, and NPV of 98% for mortality. No significant difference was observed between TRISS and MHIPS in predicting the probability of ICU admission and mortality (p=0.797).

Conclusion: Both TRISS and MHIPS demonstrated satisfactory predictive value for head trauma outcomes, with neither tool being superior to the other.

Abstract Image

Abstract Image

伊朗Sabzevar Shahid Beheshti医院急诊科“创伤及损伤严重程度评分”与“马德拉斯颅脑损伤预后量表”评估颅脑损伤预后的比较分析
目的:本研究旨在比较创伤和损伤严重程度评分(TRISS)和马德拉斯颅脑损伤预后量表(MHIPS)在评估急诊科颅脑损伤患者预后方面的有效性。方法:在这项描述性分析(预测性)研究中,纳入了2023年1月至11月在Shahid Beheshti医院(Sabzevar,伊朗)急诊科收治的140例头部创伤患者。采用方便抽样法,根据纳入标准选取研究对象。使用人口统计问卷、TRISS和MHIPS量表收集数据,并使用Stata软件(版本17)进行分析。结果:患者平均年龄39.72±19.86岁,男性102例(73%)。对于重症监护病房(ICU)住院预测,MHIPS工具的敏感性为92%,特异性为86%,阳性预测值(PPV)为60%,阴性预测值(NPV)为98%。对于死亡率预测,MHIPS工具在预测死亡方面的敏感性为89%,特异性为86%,PPV为27%,NPV为99%。TRISS工具对ICU住院的敏感性为81%,特异性为96%,PPV为81%,NPV为95%;对死亡率的敏感性为75%,特异性为87%,PPV为26%,NPV为98%。TRISS和MHIPS在预测ICU住院概率和死亡率方面无显著差异(p=0.797)。结论:TRISS和MHIPS对颅脑损伤预后的预测价值令人满意,两者均无优劣之分。
本文章由计算机程序翻译,如有差异,请以英文原文为准。
求助全文
约1分钟内获得全文 求助全文
来源期刊
自引率
0.00%
发文量
49
审稿时长
12 weeks
期刊介绍: BEAT: Bulletin of Emergency And Trauma is an international, peer-reviewed, quarterly journal coping with original research contributing to the field of emergency medicine and trauma. BEAT is the official journal of the Trauma Research Center (TRC) of Shiraz University of Medical Sciences (SUMS), Hungarian Trauma Society (HTS) and Lusitanian Association for Trauma and Emergency Surgery (ALTEC/LATES) aiming to be a publication of international repute that serves as a medium for dissemination and exchange of scientific knowledge in the emergency medicine and trauma. The aim of BEAT is to publish original research focusing on practicing and training of emergency medicine and trauma to publish peer-reviewed articles of current international interest in the form of original articles, brief communications, reviews, case reports, clinical images, and letters.
×
引用
GB/T 7714-2015
复制
MLA
复制
APA
复制
导出至
BibTeX EndNote RefMan NoteFirst NoteExpress
×
提示
您的信息不完整,为了账户安全,请先补充。
现在去补充
×
提示
您因"违规操作"
具体请查看互助需知
我知道了
×
提示
确定
请完成安全验证×
copy
已复制链接
快去分享给好友吧!
我知道了
右上角分享
点击右上角分享
0
联系我们:info@booksci.cn Book学术提供免费学术资源搜索服务,方便国内外学者检索中英文文献。致力于提供最便捷和优质的服务体验。 Copyright © 2023 布克学术 All rights reserved.
京ICP备2023020795号-1
ghs 京公网安备 11010802042870号
Book学术文献互助
Book学术文献互助群
群 号:604180095
Book学术官方微信