Real-world outcomes of selective laser trabeculoplasty and medical treatment in primary open-angle glaucoma and ocular hypertension.

IF 2.2 Q2 OPHTHALMOLOGY
Dun Jack Fu, Ishta Sharma, Reem Farwana, Livia Faes, Gerassimos Lascaratos, Gus Gazzard, Anthony Khawaja, Christopher Hammond, Obeda Kailani
{"title":"Real-world outcomes of selective laser trabeculoplasty and medical treatment in primary open-angle glaucoma and ocular hypertension.","authors":"Dun Jack Fu, Ishta Sharma, Reem Farwana, Livia Faes, Gerassimos Lascaratos, Gus Gazzard, Anthony Khawaja, Christopher Hammond, Obeda Kailani","doi":"10.1136/bmjophth-2025-002151","DOIUrl":null,"url":null,"abstract":"<p><strong>Objective: </strong>Report effectiveness of selective laser trabeculoplasty (SLT) and topical medical therapy for treatment initiation and escalation.</p><p><strong>Design: </strong>Multicentre, retrospective cohort study covering an observation period of 10 years.</p><p><strong>Participants: </strong>Patients with ocular hypertension or primary open-angle glaucoma initiating intraocular pressure (IOP)-lowering therapy, or escalating from a single topical agent.</p><p><strong>Main outcome measures: </strong>Kaplan-Meier estimate for duration of treatment success, defined by the time between treatment event to treatment failure, defined as meeting one of the following: a <20% reduction in IOP in comparison to baseline at two consecutive clinic visits; IOP >21 mm Hg at 2 consecutive clinic visits; or subsequent intensification of glaucoma treatment (subsequent increase in medical drops, SLT (re-)treatment, incisional glaucoma therapy).</p><p><strong>Results: </strong>A total of 4564 eyes (mean baseline IOP 21.8 SD 7.0 mm Hg) of 2708 patients were included. The median time to treatment failure (ie, duration for which treatment success can be expected for 50% of patients) was 1.72 years (95% CI 1.63 to 1.79) following initiation of a topical agent and 1.35 (95% CI 1.13 to 1.73) years after initial SLT.Following escalation in those already on a single topical agent, the median treatment failure time was 1.32 years (95% CI 1.23 to 1.44) for 2 topical agents and 1.53 years (95% CI 1.35 to 2.03) for a single topical agent and SLT.</p><p><strong>Conclusion: </strong>This retrospective analysis reports the real-world effect of SLT and topical medical therapy on IOP and treatment success following the most common treatment scenarios: initiation of IOP-lowering treatment and intensification from a single topical drop. Due to the non-randomised nature of this study, it is not possible to draw firm conclusions regarding the comparative effectiveness of drop and SLT.</p>","PeriodicalId":9286,"journal":{"name":"BMJ Open Ophthalmology","volume":"10 1","pages":""},"PeriodicalIF":2.2000,"publicationDate":"2025-07-20","publicationTypes":"Journal Article","fieldsOfStudy":null,"isOpenAccess":false,"openAccessPdf":"https://www.ncbi.nlm.nih.gov/pmc/articles/PMC12278128/pdf/","citationCount":"0","resultStr":null,"platform":"Semanticscholar","paperid":null,"PeriodicalName":"BMJ Open Ophthalmology","FirstCategoryId":"1085","ListUrlMain":"https://doi.org/10.1136/bmjophth-2025-002151","RegionNum":0,"RegionCategory":null,"ArticlePicture":[],"TitleCN":null,"AbstractTextCN":null,"PMCID":null,"EPubDate":"","PubModel":"","JCR":"Q2","JCRName":"OPHTHALMOLOGY","Score":null,"Total":0}
引用次数: 0

Abstract

Objective: Report effectiveness of selective laser trabeculoplasty (SLT) and topical medical therapy for treatment initiation and escalation.

Design: Multicentre, retrospective cohort study covering an observation period of 10 years.

Participants: Patients with ocular hypertension or primary open-angle glaucoma initiating intraocular pressure (IOP)-lowering therapy, or escalating from a single topical agent.

Main outcome measures: Kaplan-Meier estimate for duration of treatment success, defined by the time between treatment event to treatment failure, defined as meeting one of the following: a <20% reduction in IOP in comparison to baseline at two consecutive clinic visits; IOP >21 mm Hg at 2 consecutive clinic visits; or subsequent intensification of glaucoma treatment (subsequent increase in medical drops, SLT (re-)treatment, incisional glaucoma therapy).

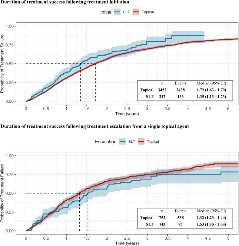
Results: A total of 4564 eyes (mean baseline IOP 21.8 SD 7.0 mm Hg) of 2708 patients were included. The median time to treatment failure (ie, duration for which treatment success can be expected for 50% of patients) was 1.72 years (95% CI 1.63 to 1.79) following initiation of a topical agent and 1.35 (95% CI 1.13 to 1.73) years after initial SLT.Following escalation in those already on a single topical agent, the median treatment failure time was 1.32 years (95% CI 1.23 to 1.44) for 2 topical agents and 1.53 years (95% CI 1.35 to 2.03) for a single topical agent and SLT.

Conclusion: This retrospective analysis reports the real-world effect of SLT and topical medical therapy on IOP and treatment success following the most common treatment scenarios: initiation of IOP-lowering treatment and intensification from a single topical drop. Due to the non-randomised nature of this study, it is not possible to draw firm conclusions regarding the comparative effectiveness of drop and SLT.

Abstract Image

Abstract Image

选择性激光小梁成形术和药物治疗原发性开角型青光眼和高眼压的实际疗效。
目的:报道选择性激光小梁成形术(SLT)和局部药物治疗在治疗开始和升级中的效果。设计:多中心、回顾性队列研究,观察期10年。参与者:患有高眼压或原发性开角型青光眼的患者,开始进行眼压降低治疗,或从单一局部药物升级。主要结局指标:Kaplan-Meier估计治疗成功持续时间,定义为治疗事件到治疗失败之间的时间,定义为满足以下条件之一:连续两次就诊时血压为21毫米汞柱;或随后加强青光眼治疗(随后增加药物滴量,SLT(再)治疗,切口青光眼治疗)。结果:共纳入2708例患者4564眼(平均基线IOP 21.8 SD 7.0 mm Hg)。治疗失败的中位时间(即50%患者预期治疗成功的持续时间)在开始局部用药后为1.72年(95% CI 1.63至1.79),在初始SLT后为1.35年(95% CI 1.13至1.73)。在已经使用单一外用药物的患者中,治疗失败的中位时间为1.32年(95% CI 1.23至1.44),单一外用药物和SLT的中位治疗失败时间为1.53年(95% CI 1.35至2.03)。结论:本回顾性分析报告了SLT和局部药物治疗对IOP的实际影响,以及在最常见的治疗方案下的治疗成功:开始降低IOP治疗和单次局部滴注强化。由于本研究的非随机性质,不可能得出关于滴注和SLT比较有效性的确切结论。
本文章由计算机程序翻译,如有差异,请以英文原文为准。
求助全文
约1分钟内获得全文 求助全文
来源期刊
BMJ Open Ophthalmology
BMJ Open Ophthalmology OPHTHALMOLOGY-
CiteScore
3.40
自引率
4.20%
发文量
104
审稿时长
20 weeks
×
引用
GB/T 7714-2015
复制
MLA
复制
APA
复制
导出至
BibTeX EndNote RefMan NoteFirst NoteExpress
×
提示
您的信息不完整,为了账户安全,请先补充。
现在去补充
×
提示
您因"违规操作"
具体请查看互助需知
我知道了
×
提示
确定
请完成安全验证×
copy
已复制链接
快去分享给好友吧!
我知道了
右上角分享
点击右上角分享
0
联系我们:info@booksci.cn Book学术提供免费学术资源搜索服务,方便国内外学者检索中英文文献。致力于提供最便捷和优质的服务体验。 Copyright © 2023 布克学术 All rights reserved.
京ICP备2023020795号-1
ghs 京公网安备 11010802042870号
Book学术文献互助
Book学术文献互助群
群 号:604180095
Book学术官方微信