The Supplementation of Cinnamaldehyde in Semen Extender to Improve the Post-Thaw Sperm Quality of Kajli Ram Semen.

IF 1.7 3区 农林科学 Q2 VETERINARY SCIENCES
Saima Qadeer, Asma Ashraf, Naila Perveen, Muhammad Asad, Asma Ul Husna, Asima Azam, Muhammad Umer Farooq, Abdullah S Alhomida, Haseeb A Khan
{"title":"The Supplementation of Cinnamaldehyde in Semen Extender to Improve the Post-Thaw Sperm Quality of Kajli Ram Semen.","authors":"Saima Qadeer, Asma Ashraf, Naila Perveen, Muhammad Asad, Asma Ul Husna, Asima Azam, Muhammad Umer Farooq, Abdullah S Alhomida, Haseeb A Khan","doi":"10.1002/vms3.70484","DOIUrl":null,"url":null,"abstract":"<p><p>Cinnamaldehyde, a component of cinnamon bark extract, acts as a potential antioxidant by enhancing the activities of catalase, superoxide dismutase and glutathione peroxidase in various cell and animal models. This study aimed to evaluate the protective effects of cinnamaldehyde on the quality of Kajli ram sperm at 4°C and after freezing. Semen samples were obtained from 12 Kajli rams through an artificial vagina maintained at 42°C. Each ejaculate was divided into five aliquots and extended in a tris-citric acid extender with different concentrations of cinnamaldehyde (0%, 0.5%, 1.0%, 2.5% and 5.0%). Post-thaw semen quality was assessed. These results showed that the extender containing 0.5% cinnamaldehyde exhibited significant protective effects (p < 0.05) on post-thaw sperm plasma membrane and sperm viability compared to the control and other experimental groups. In conclusion, supplementing the extender with 0.5% cinnamaldehyde effectively preserved the quality of post-thawed sperm from Kajli rams.</p>","PeriodicalId":23543,"journal":{"name":"Veterinary Medicine and Science","volume":"11 4","pages":"e70484"},"PeriodicalIF":1.7000,"publicationDate":"2025-07-01","publicationTypes":"Journal Article","fieldsOfStudy":null,"isOpenAccess":false,"openAccessPdf":"https://www.ncbi.nlm.nih.gov/pmc/articles/PMC12271829/pdf/","citationCount":"0","resultStr":null,"platform":"Semanticscholar","paperid":null,"PeriodicalName":"Veterinary Medicine and Science","FirstCategoryId":"97","ListUrlMain":"https://doi.org/10.1002/vms3.70484","RegionNum":3,"RegionCategory":"农林科学","ArticlePicture":[],"TitleCN":null,"AbstractTextCN":null,"PMCID":null,"EPubDate":"","PubModel":"","JCR":"Q2","JCRName":"VETERINARY SCIENCES","Score":null,"Total":0}
引用次数: 0

Abstract

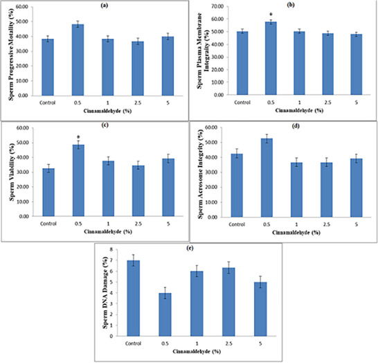
Cinnamaldehyde, a component of cinnamon bark extract, acts as a potential antioxidant by enhancing the activities of catalase, superoxide dismutase and glutathione peroxidase in various cell and animal models. This study aimed to evaluate the protective effects of cinnamaldehyde on the quality of Kajli ram sperm at 4°C and after freezing. Semen samples were obtained from 12 Kajli rams through an artificial vagina maintained at 42°C. Each ejaculate was divided into five aliquots and extended in a tris-citric acid extender with different concentrations of cinnamaldehyde (0%, 0.5%, 1.0%, 2.5% and 5.0%). Post-thaw semen quality was assessed. These results showed that the extender containing 0.5% cinnamaldehyde exhibited significant protective effects (p < 0.05) on post-thaw sperm plasma membrane and sperm viability compared to the control and other experimental groups. In conclusion, supplementing the extender with 0.5% cinnamaldehyde effectively preserved the quality of post-thawed sperm from Kajli rams.

Abstract Image

Abstract Image

Abstract Image

精液膨化剂中添加肉桂醛提高Kajli公羊精液解冻后精子质量的研究。
肉桂醛是肉桂树皮提取物的一种成分,它通过提高过氧化氢酶、超氧化物歧化酶和谷胱甘肽过氧化物酶在多种细胞和动物模型中的活性而发挥潜在的抗氧化剂作用。本研究旨在评价肉桂醛对Kajli公羊精子在4℃和冷冻后质量的保护作用。12只Kajli公羊的精液样本通过保持在42°C的人工阴道获得。每个射精被分成五等分,并在含有不同浓度肉桂醛(0%、0.5%、1.0%、2.5%和5.0%)的三柠檬酸扩展剂中扩展。评估解冻后精液质量。结果表明,与对照组和其他试验组相比,添加0.5%肉桂醛的膨化剂对解冻后精子质膜和精子活力有显著的保护作用(p < 0.05)。综上所述,添加0.5%肉桂醛的膨化剂可以有效地保持Kajli公羊解冻后精子的质量。
本文章由计算机程序翻译,如有差异,请以英文原文为准。
求助全文
约1分钟内获得全文 求助全文
来源期刊
Veterinary Medicine and Science
Veterinary Medicine and Science Veterinary-General Veterinary
CiteScore
3.00
自引率
0.00%
发文量
296
期刊介绍: Veterinary Medicine and Science is the peer-reviewed journal for rapid dissemination of research in all areas of veterinary medicine and science. The journal aims to serve the research community by providing a vehicle for authors wishing to publish interesting and high quality work in both fundamental and clinical veterinary medicine and science. Veterinary Medicine and Science publishes original research articles, systematic reviews, meta-analyses, and research methods papers, along with invited editorials and commentaries. Original research papers must report well-conducted research with conclusions supported by the data presented in the paper. We aim to be a truly global forum for high-quality research in veterinary medicine and science, and believe that the best research should be published and made widely accessible as quickly as possible. Veterinary Medicine and Science publishes papers submitted directly to the journal and those referred from a select group of prestigious journals published by Wiley-Blackwell. Veterinary Medicine and Science is a Wiley Open Access journal, one of a new series of peer-reviewed titles publishing quality research with speed and efficiency. For further information visit the Wiley Open Access website.
×
引用
GB/T 7714-2015
复制
MLA
复制
APA
复制
导出至
BibTeX EndNote RefMan NoteFirst NoteExpress
×
提示
您的信息不完整,为了账户安全,请先补充。
现在去补充
×
提示
您因"违规操作"
具体请查看互助需知
我知道了
×
提示
确定
请完成安全验证×
copy
已复制链接
快去分享给好友吧!
我知道了
右上角分享
点击右上角分享
0
联系我们:info@booksci.cn Book学术提供免费学术资源搜索服务,方便国内外学者检索中英文文献。致力于提供最便捷和优质的服务体验。 Copyright © 2023 布克学术 All rights reserved.
京ICP备2023020795号-1
ghs 京公网安备 11010802042870号
Book学术文献互助
Book学术文献互助群
群 号:604180095
Book学术官方微信