Classification and Comparison of Eight Different Growth Curve Methods for Pekin Duck.

IF 1.7 3区 农林科学 Q2 VETERINARY SCIENCES
Hasan Önder, Mine Yılmaz, Mustafa Şahin, Uğur Şen, Sibel Bozkurt, Kadir Erensoy, İsmail Gök, Tolga Tolun, Ahmet Uçar
{"title":"Classification and Comparison of Eight Different Growth Curve Methods for Pekin Duck.","authors":"Hasan Önder, Mine Yılmaz, Mustafa Şahin, Uğur Şen, Sibel Bozkurt, Kadir Erensoy, İsmail Gök, Tolga Tolun, Ahmet Uçar","doi":"10.1002/vms3.70476","DOIUrl":null,"url":null,"abstract":"<p><strong>Background: </strong>As in all livestock species, growth is the most important trait. Growth is an increase in size (height, length, weight) with advancing age and growth curve models provide a visual assessment of growth as a function of time. These models can be used for predicting body weight for a specific age from a dimensional perspective.</p><p><strong>Objective: </strong>In this study, we compared Brody, Gompertz, Logistic, Gamma, Schnute, Richards, Negative Exponential and von Bertalanffy models on the body weight of Pekin ducks raised in Türkiye using 109 female and 110 male birds for 10 weeks of age.</p><p><strong>Methods: </strong>Ducks were reared with a feeding program identical to standard commercial practices. Growth models were fitted to the data of the average growth curve and for the individual growth curves. Parameters were estimated using the SAS 9.0 statistical package program, Proc Nlin procedure and Gauss-Newton algorithm were used to model the curves.</p><p><strong>Results: </strong>3-D clustering results showed that the models clustered in three clusters both female and male Pekin ducks. According to the goodness of fit criteria such as mean square prediction error, coefficient of determination, adjusted coefficient of determination, accuracy factor, bias factor, Durbin-Watson value, Akaike Information Criteria, corrected Akaike Information Criteria, Bayesian Information Criteria and standard error of the regression and interpretation of the growth curves and clustering hierarchical 3-D dendrograms, the Schnute and Richards models, were found to be a suggestible model for 70 days growth of both female and male Pekin ducks, but the Richards model can be more recommendable due to calculation easiness.</p>","PeriodicalId":23543,"journal":{"name":"Veterinary Medicine and Science","volume":"11 4","pages":"e70476"},"PeriodicalIF":1.7000,"publicationDate":"2025-07-01","publicationTypes":"Journal Article","fieldsOfStudy":null,"isOpenAccess":false,"openAccessPdf":"https://www.ncbi.nlm.nih.gov/pmc/articles/PMC12271834/pdf/","citationCount":"0","resultStr":null,"platform":"Semanticscholar","paperid":null,"PeriodicalName":"Veterinary Medicine and Science","FirstCategoryId":"97","ListUrlMain":"https://doi.org/10.1002/vms3.70476","RegionNum":3,"RegionCategory":"农林科学","ArticlePicture":[],"TitleCN":null,"AbstractTextCN":null,"PMCID":null,"EPubDate":"","PubModel":"","JCR":"Q2","JCRName":"VETERINARY SCIENCES","Score":null,"Total":0}
引用次数: 0

Abstract

Background: As in all livestock species, growth is the most important trait. Growth is an increase in size (height, length, weight) with advancing age and growth curve models provide a visual assessment of growth as a function of time. These models can be used for predicting body weight for a specific age from a dimensional perspective.

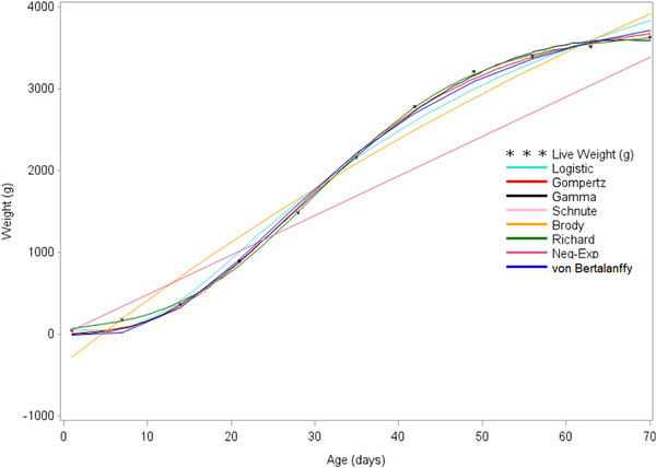
Objective: In this study, we compared Brody, Gompertz, Logistic, Gamma, Schnute, Richards, Negative Exponential and von Bertalanffy models on the body weight of Pekin ducks raised in Türkiye using 109 female and 110 male birds for 10 weeks of age.

Methods: Ducks were reared with a feeding program identical to standard commercial practices. Growth models were fitted to the data of the average growth curve and for the individual growth curves. Parameters were estimated using the SAS 9.0 statistical package program, Proc Nlin procedure and Gauss-Newton algorithm were used to model the curves.

Results: 3-D clustering results showed that the models clustered in three clusters both female and male Pekin ducks. According to the goodness of fit criteria such as mean square prediction error, coefficient of determination, adjusted coefficient of determination, accuracy factor, bias factor, Durbin-Watson value, Akaike Information Criteria, corrected Akaike Information Criteria, Bayesian Information Criteria and standard error of the regression and interpretation of the growth curves and clustering hierarchical 3-D dendrograms, the Schnute and Richards models, were found to be a suggestible model for 70 days growth of both female and male Pekin ducks, but the Richards model can be more recommendable due to calculation easiness.

Abstract Image

Abstract Image

Abstract Image

北京鸭8种不同生长曲线法的分类与比较。
背景:与所有家畜物种一样,生长是最重要的性状。生长是随着年龄的增长而增加的尺寸(身高、长度、体重),生长曲线模型提供了生长作为时间函数的直观评估。这些模型可用于从维度角度预测特定年龄的体重。目的:采用109只10周龄雌、110只10周龄雄北京鸭,比较了Brody模型、Gompertz模型、Logistic模型、Gamma模型、Schnute模型、Richards模型、负指数模型和von Bertalanffy模型对北京鸭体重的影响。方法:采用与标准商业做法相同的饲养程序饲养鸭子。生长模型拟合了平均生长曲线和个体生长曲线的数据。参数估计采用SAS 9.0统计软件包程序,曲线建模采用Proc Nlin程序和高斯-牛顿算法。结果:三维聚类结果显示,模型聚在3个聚类中,包括雌性和雄性北京鸭。根据均方预测误差、决定系数、调整后的决定系数、精度因子、偏倚因子、Durbin-Watson值、赤池信息准则、修正后的赤池信息准则、贝叶斯信息准则以及生长曲线和聚类层次三维树状图回归和解释的标准误差等拟合优度准则,Schnute和Richards模型,均为京鸭雌鸭和公鸭70日生长的适宜模型,但由于计算简便,理查兹模型更为可取。
本文章由计算机程序翻译,如有差异,请以英文原文为准。
求助全文
约1分钟内获得全文 求助全文
来源期刊
Veterinary Medicine and Science
Veterinary Medicine and Science Veterinary-General Veterinary
CiteScore
3.00
自引率
0.00%
发文量
296
期刊介绍: Veterinary Medicine and Science is the peer-reviewed journal for rapid dissemination of research in all areas of veterinary medicine and science. The journal aims to serve the research community by providing a vehicle for authors wishing to publish interesting and high quality work in both fundamental and clinical veterinary medicine and science. Veterinary Medicine and Science publishes original research articles, systematic reviews, meta-analyses, and research methods papers, along with invited editorials and commentaries. Original research papers must report well-conducted research with conclusions supported by the data presented in the paper. We aim to be a truly global forum for high-quality research in veterinary medicine and science, and believe that the best research should be published and made widely accessible as quickly as possible. Veterinary Medicine and Science publishes papers submitted directly to the journal and those referred from a select group of prestigious journals published by Wiley-Blackwell. Veterinary Medicine and Science is a Wiley Open Access journal, one of a new series of peer-reviewed titles publishing quality research with speed and efficiency. For further information visit the Wiley Open Access website.
×
引用
GB/T 7714-2015
复制
MLA
复制
APA
复制
导出至
BibTeX EndNote RefMan NoteFirst NoteExpress
×
提示
您的信息不完整,为了账户安全,请先补充。
现在去补充
×
提示
您因"违规操作"
具体请查看互助需知
我知道了
×
提示
确定
请完成安全验证×
copy
已复制链接
快去分享给好友吧!
我知道了
右上角分享
点击右上角分享
0
联系我们:info@booksci.cn Book学术提供免费学术资源搜索服务,方便国内外学者检索中英文文献。致力于提供最便捷和优质的服务体验。 Copyright © 2023 布克学术 All rights reserved.
京ICP备2023020795号-1
ghs 京公网安备 11010802042870号
Book学术文献互助
Book学术文献互助群
群 号:604180095
Book学术官方微信