Inferior oblique graded marginal myotomy versus myectomy for treatment of inferior oblique overaction.

IF 1.8 4区 医学 Q2 OPHTHALMOLOGY
Indian Journal of Ophthalmology Pub Date : 2025-09-01 Epub Date: 2025-07-18 DOI:10.4103/IJO.IJO_789_25
Mai Mostafa Ismail Hassan, Shaimaa Arfeen, Nermeen Mostafa Bahgat, Mahmoud M Gamal Eldin Ibrahim, Rehab Rashad Kassem
{"title":"Inferior oblique graded marginal myotomy versus myectomy for treatment of inferior oblique overaction.","authors":"Mai Mostafa Ismail Hassan, Shaimaa Arfeen, Nermeen Mostafa Bahgat, Mahmoud M Gamal Eldin Ibrahim, Rehab Rashad Kassem","doi":"10.4103/IJO.IJO_789_25","DOIUrl":null,"url":null,"abstract":"<p><strong>Purpose: </strong>To evaluate and compare the surgical outcomes of inferior oblique marginal myotomy versus myectomy for treatment of inferior oblique overaction (in terms of correction of upshoot on adduction, V pattern, vertical deviation, torsion, and abnormal head posture) and document any encountered complications.</p><p><strong>Methods: </strong>Thirty-nine patients (78 eyes), having bilateral inferior oblique overaction, were included in a randomized prospective study, to compare inferior oblique marginal myotomy (Group O, 26 patients/52 eyes) to myectomy (Group E, 13 patients/26 eyes). Group O was further divided into subgroups Z and M, 26 eyes each. Subgroup Z underwent inferior oblique Z (2 cuts) myotomy to treat grade 1 or 2 inferior oblique overaction, while subgroup M underwent inferior oblique M (3 cuts) myotomy to treat grade 3 or 4 inferior oblique overaction, thus termed \"graded marginal myotomy\".</p><p><strong>Results: </strong>A successful outcome was achieved in 25/26 patients (96.2%) in Group O and 9/13 patients (80.8%) in Group E, P = .035, after 6 months of postoperative follow-up. Inferior oblique graded myotomy could correct up to +4 inferior oblique overaction and up to 30 ∆ of hypertropia, with elimination of head posture in all cases. No complications were encountered in any case.</p><p><strong>Conclusion: </strong>The novel inferior oblique M-myotomy extended the application of marginal myotomy for cases of marked inferior oblique overaction and large hypertropias, with outcomes significantly superior to myectomy.</p>","PeriodicalId":13329,"journal":{"name":"Indian Journal of Ophthalmology","volume":" ","pages":"1314-1323"},"PeriodicalIF":1.8000,"publicationDate":"2025-09-01","publicationTypes":"Journal Article","fieldsOfStudy":null,"isOpenAccess":false,"openAccessPdf":"https://www.ncbi.nlm.nih.gov/pmc/articles/PMC12448535/pdf/","citationCount":"0","resultStr":null,"platform":"Semanticscholar","paperid":null,"PeriodicalName":"Indian Journal of Ophthalmology","FirstCategoryId":"3","ListUrlMain":"https://doi.org/10.4103/IJO.IJO_789_25","RegionNum":4,"RegionCategory":"医学","ArticlePicture":[],"TitleCN":null,"AbstractTextCN":null,"PMCID":null,"EPubDate":"2025/7/18 0:00:00","PubModel":"Epub","JCR":"Q2","JCRName":"OPHTHALMOLOGY","Score":null,"Total":0}
引用次数: 0

Abstract

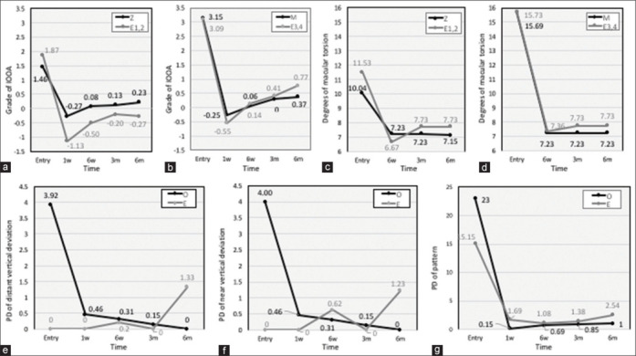
Purpose: To evaluate and compare the surgical outcomes of inferior oblique marginal myotomy versus myectomy for treatment of inferior oblique overaction (in terms of correction of upshoot on adduction, V pattern, vertical deviation, torsion, and abnormal head posture) and document any encountered complications.

Methods: Thirty-nine patients (78 eyes), having bilateral inferior oblique overaction, were included in a randomized prospective study, to compare inferior oblique marginal myotomy (Group O, 26 patients/52 eyes) to myectomy (Group E, 13 patients/26 eyes). Group O was further divided into subgroups Z and M, 26 eyes each. Subgroup Z underwent inferior oblique Z (2 cuts) myotomy to treat grade 1 or 2 inferior oblique overaction, while subgroup M underwent inferior oblique M (3 cuts) myotomy to treat grade 3 or 4 inferior oblique overaction, thus termed "graded marginal myotomy".

Results: A successful outcome was achieved in 25/26 patients (96.2%) in Group O and 9/13 patients (80.8%) in Group E, P = .035, after 6 months of postoperative follow-up. Inferior oblique graded myotomy could correct up to +4 inferior oblique overaction and up to 30 ∆ of hypertropia, with elimination of head posture in all cases. No complications were encountered in any case.

Conclusion: The novel inferior oblique M-myotomy extended the application of marginal myotomy for cases of marked inferior oblique overaction and large hypertropias, with outcomes significantly superior to myectomy.

Abstract Image

Abstract Image

Abstract Image

下斜肌分级边缘肌切开术与肌切除术治疗下斜肌过动症。
目的:评估和比较下斜肌边缘切开术与肌切除术治疗下斜肌过动的手术效果(包括内收、V型、垂直偏差、扭转和异常头位的矫正),并记录任何遇到的并发症。方法:选取双侧下斜肌过度活动患者39例(78眼)进行随机前瞻性研究,比较下斜肌边缘切开术(O组,26例/52眼)与肌切除术(E组,13例/26眼)的差异。O组又分为Z组、M组,各26只眼。Z亚组行下斜Z(2刀)肌切开术治疗1级或2级下斜过动,M亚组行下斜M(3刀)肌切开术治疗3级或4级下斜过动,称为“分级边缘肌切开术”。结果:术后随访6个月,O组25/26例(96.2%)患者和E组9/13例(80.8%)患者获得成功,P = 0.035。下斜肌渐进式切开术可矫正多达4个下斜肌过动和30个斜视,所有病例均可消除头部姿势。所有病例均无并发症发生。结论:新型下斜肌m -肌切开术扩大了边缘肌切开术在明显下斜肌过动和大斜视患者中的应用,效果明显优于肌切除术。
本文章由计算机程序翻译,如有差异,请以英文原文为准。
求助全文
约1分钟内获得全文 求助全文
来源期刊
CiteScore
3.80
自引率
19.40%
发文量
1963
审稿时长
38 weeks
期刊介绍: Indian Journal of Ophthalmology covers clinical, experimental, basic science research and translational research studies related to medical, ethical and social issues in field of ophthalmology and vision science. Articles with clinical interest and implications will be given preference.
×
引用
GB/T 7714-2015
复制
MLA
复制
APA
复制
导出至
BibTeX EndNote RefMan NoteFirst NoteExpress
×
提示
您的信息不完整,为了账户安全,请先补充。
现在去补充
×
提示
您因"违规操作"
具体请查看互助需知
我知道了
×
提示
确定
请完成安全验证×
copy
已复制链接
快去分享给好友吧!
我知道了
右上角分享
点击右上角分享
0
联系我们:info@booksci.cn Book学术提供免费学术资源搜索服务,方便国内外学者检索中英文文献。致力于提供最便捷和优质的服务体验。 Copyright © 2023 布克学术 All rights reserved.
京ICP备2023020795号-1
ghs 京公网安备 11010802042870号
Book学术文献互助
Book学术文献互助群
群 号:604180095
Book学术官方微信