Shape memory alloys for cryogenic actuators.

Shunsuke Sato, Hirobumi Tobe, Kenichiro Sawada, Chihiro Tokoku, Takao Nakagawa, Eiichi Sato, Yoshikazu Araki, Sheng Xu, Xiao Xu, Toshihiro Omori, Ryosuke Kainuma
{"title":"Shape memory alloys for cryogenic actuators.","authors":"Shunsuke Sato, Hirobumi Tobe, Kenichiro Sawada, Chihiro Tokoku, Takao Nakagawa, Eiichi Sato, Yoshikazu Araki, Sheng Xu, Xiao Xu, Toshihiro Omori, Ryosuke Kainuma","doi":"10.1038/s44172-025-00464-9","DOIUrl":null,"url":null,"abstract":"<p><p>Actuators are widely used in various mechanical products. However, there have been no actuators that can exhibit high actuation stresses and strains at cryogenic temperatures. Although shape memory alloys (SMAs) are attractive candidates for thermally driven actuators with high actuation stresses and strains, the operation of conventional SMAs is limited to a narrow temperature range near the room temperature. Here, we report the shape memory effect under tensile conditions with a high work output across a wide temperature range of 50-270 K in Cu-Al-Mn-based alloys. In addition, a mechanical heat switch using Cu-Al-Mn was designed for thermal insulation in space infrared telescope, and we demonstrated the operation at around 100 K. These results indicate that Cu-Al-Mn SMAs are potential cryogenic actuators with high actuation stress and strain that would contribute to the development of low temperature technologies in various fields including space astronomy, superconductivity, and liquefied gas industry.</p>","PeriodicalId":72644,"journal":{"name":"Communications engineering","volume":"4 1","pages":"124"},"PeriodicalIF":0.0000,"publicationDate":"2025-07-16","publicationTypes":"Journal Article","fieldsOfStudy":null,"isOpenAccess":false,"openAccessPdf":"https://www.ncbi.nlm.nih.gov/pmc/articles/PMC12267560/pdf/","citationCount":"0","resultStr":null,"platform":"Semanticscholar","paperid":null,"PeriodicalName":"Communications engineering","FirstCategoryId":"1085","ListUrlMain":"https://doi.org/10.1038/s44172-025-00464-9","RegionNum":0,"RegionCategory":null,"ArticlePicture":[],"TitleCN":null,"AbstractTextCN":null,"PMCID":null,"EPubDate":"","PubModel":"","JCR":"","JCRName":"","Score":null,"Total":0}
引用次数: 0

Abstract

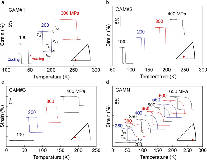
Actuators are widely used in various mechanical products. However, there have been no actuators that can exhibit high actuation stresses and strains at cryogenic temperatures. Although shape memory alloys (SMAs) are attractive candidates for thermally driven actuators with high actuation stresses and strains, the operation of conventional SMAs is limited to a narrow temperature range near the room temperature. Here, we report the shape memory effect under tensile conditions with a high work output across a wide temperature range of 50-270 K in Cu-Al-Mn-based alloys. In addition, a mechanical heat switch using Cu-Al-Mn was designed for thermal insulation in space infrared telescope, and we demonstrated the operation at around 100 K. These results indicate that Cu-Al-Mn SMAs are potential cryogenic actuators with high actuation stress and strain that would contribute to the development of low temperature technologies in various fields including space astronomy, superconductivity, and liquefied gas industry.

Abstract Image

Abstract Image

Abstract Image

低温执行器用形状记忆合金。
执行机构广泛应用于各种机械产品中。然而,目前还没有一种致动器能够在低温下表现出高的致动应力和应变。尽管形状记忆合金(sma)是具有高致动应力和应变的热驱动致动器的有吸引力的候选材料,但传统sma的操作仅限于室温附近的狭窄温度范围。在这里,我们报道了cu - al - mn基合金在50-270 K宽温度范围内具有高输出功的拉伸条件下的形状记忆效应。此外,设计了一种Cu-Al-Mn机械热开关,用于空间红外望远镜的隔热,并在100k左右进行了操作演示。这些结果表明,Cu-Al-Mn sma具有很高的致动应力和应变,是一种潜在的低温致动器,将有助于低温技术在空间天文学、超导和液化气工业等各个领域的发展。
本文章由计算机程序翻译,如有差异,请以英文原文为准。
求助全文
约1分钟内获得全文 求助全文
来源期刊
自引率
0.00%
发文量
0
×
引用
GB/T 7714-2015
复制
MLA
复制
APA
复制
导出至
BibTeX EndNote RefMan NoteFirst NoteExpress
×
提示
您的信息不完整,为了账户安全,请先补充。
现在去补充
×
提示
您因"违规操作"
具体请查看互助需知
我知道了
×
提示
确定
请完成安全验证×
copy
已复制链接
快去分享给好友吧!
我知道了
右上角分享
点击右上角分享
0
联系我们:info@booksci.cn Book学术提供免费学术资源搜索服务,方便国内外学者检索中英文文献。致力于提供最便捷和优质的服务体验。 Copyright © 2023 布克学术 All rights reserved.
京ICP备2023020795号-1
ghs 京公网安备 11010802042870号
Book学术文献互助
Book学术文献互助群
群 号:604180095
Book学术官方微信