Clinical characteristics of asthma-chronic obstructive pulmonary disease overlap phenotypes.

IF 1.4 4区 医学 Q3 ALLERGY
Postepy Dermatologii I Alergologii Pub Date : 2025-06-12 eCollection Date: 2025-06-01 DOI:10.5114/ada.2025.152082
Özge Atik, Fatma Merve Tepetam, Şeyma Özden, Ayşe Ezgi Ak
{"title":"Clinical characteristics of asthma-chronic obstructive pulmonary disease overlap phenotypes.","authors":"Özge Atik, Fatma Merve Tepetam, Şeyma Özden, Ayşe Ezgi Ak","doi":"10.5114/ada.2025.152082","DOIUrl":null,"url":null,"abstract":"<p><strong>Introduction: </strong>Asthma-chronic obstructive pulmonary disease overlap (ACO) patients are categorized as those with persistent airflow limitation and features of asthma and chronic obstructive pulmonary disease (COPD).</p><p><strong>Aim: </strong>This study aimed to identify ACO subgroups based on atopy, bronchodilator response (BDR), and eosinophil count.</p><p><strong>Material and methods: </strong>From 2021 to 2024, we conducted a retrospective study on patients with asthma and/or COPD who underwent BDR testing. An ACO diagnosis required persistent airflow limitation, a history of asthma before the age of 40 or significant BDR, and at least one minor criterion. Patients were grouped by atopy status, BDR presence, and eosinophil count. We compared demographic, laboratory, spirometry, and medication data across subgroups.</p><p><strong>Results: </strong>The study included 109 ACO patients with a mean age of 49.5 ±10.7 years. Atopic ACO patients showed a higher increase in FEV<sub>1</sub> after inhalation of 400 µg of salbutamol or the equivalent (ΔFEV<sub>1</sub>BDR) and higher total IgE levels than non-atopic patients (200 ml vs. 100 ml, <i>p</i> = 0.034; 211 IU/ml vs. 60 IU/ml, <i>p</i> = 0.002). Eosinophil counts were higher in the BDR-positive group (360/µl vs. 195/µl, <i>p</i> = 0.047). High eosinophilic ACO patients also had elevated IgE levels (323 IU/ml vs. 80 IU/ml, <i>p</i> = 0.001). BDR-positive and eosinophilic groups demonstrated better spirometric results. Atopic ACO patients used more leukotriene receptor antagonists, while BDR-negative ACO patients used antimuscarinics.</p><p><strong>Conclusions: </strong>Higher ΔFEV<sub>1</sub>BDR in atopic ACO indicates they may respond better to bronchodilators. Elevated eosinophil counts in BDR-positive patients support their classification and suggest less severe disease progression.</p>","PeriodicalId":54595,"journal":{"name":"Postepy Dermatologii I Alergologii","volume":"42 3","pages":"283-290"},"PeriodicalIF":1.4000,"publicationDate":"2025-06-12","publicationTypes":"Journal Article","fieldsOfStudy":null,"isOpenAccess":false,"openAccessPdf":"https://www.ncbi.nlm.nih.gov/pmc/articles/PMC12262034/pdf/","citationCount":"0","resultStr":null,"platform":"Semanticscholar","paperid":null,"PeriodicalName":"Postepy Dermatologii I Alergologii","FirstCategoryId":"3","ListUrlMain":"https://doi.org/10.5114/ada.2025.152082","RegionNum":4,"RegionCategory":"医学","ArticlePicture":[],"TitleCN":null,"AbstractTextCN":null,"PMCID":null,"EPubDate":"2025/6/1 0:00:00","PubModel":"eCollection","JCR":"Q3","JCRName":"ALLERGY","Score":null,"Total":0}
引用次数: 0

Abstract

Introduction: Asthma-chronic obstructive pulmonary disease overlap (ACO) patients are categorized as those with persistent airflow limitation and features of asthma and chronic obstructive pulmonary disease (COPD).

Aim: This study aimed to identify ACO subgroups based on atopy, bronchodilator response (BDR), and eosinophil count.

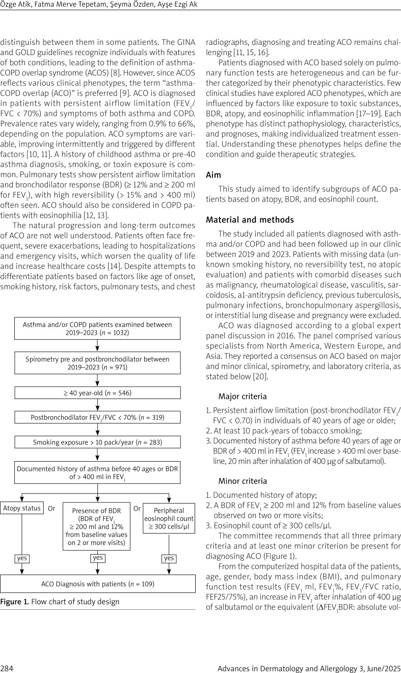
Material and methods: From 2021 to 2024, we conducted a retrospective study on patients with asthma and/or COPD who underwent BDR testing. An ACO diagnosis required persistent airflow limitation, a history of asthma before the age of 40 or significant BDR, and at least one minor criterion. Patients were grouped by atopy status, BDR presence, and eosinophil count. We compared demographic, laboratory, spirometry, and medication data across subgroups.

Results: The study included 109 ACO patients with a mean age of 49.5 ±10.7 years. Atopic ACO patients showed a higher increase in FEV1 after inhalation of 400 µg of salbutamol or the equivalent (ΔFEV1BDR) and higher total IgE levels than non-atopic patients (200 ml vs. 100 ml, p = 0.034; 211 IU/ml vs. 60 IU/ml, p = 0.002). Eosinophil counts were higher in the BDR-positive group (360/µl vs. 195/µl, p = 0.047). High eosinophilic ACO patients also had elevated IgE levels (323 IU/ml vs. 80 IU/ml, p = 0.001). BDR-positive and eosinophilic groups demonstrated better spirometric results. Atopic ACO patients used more leukotriene receptor antagonists, while BDR-negative ACO patients used antimuscarinics.

Conclusions: Higher ΔFEV1BDR in atopic ACO indicates they may respond better to bronchodilators. Elevated eosinophil counts in BDR-positive patients support their classification and suggest less severe disease progression.

Abstract Image

Abstract Image

哮喘-慢性阻塞性肺疾病的临床特征重叠表型。
简介:哮喘-慢性阻塞性肺疾病重叠(ACO)患者被归类为具有持续气流限制和哮喘和慢性阻塞性肺疾病(COPD)特征的患者。目的:本研究旨在根据特应性、支气管扩张剂反应(BDR)和嗜酸性粒细胞计数确定ACO亚群。材料和方法:从2021年到2024年,我们对接受BDR检测的哮喘和/或COPD患者进行了回顾性研究。ACO诊断需要持续气流受限,40岁前有哮喘史或明显BDR,以及至少一项次要标准。根据特应性状态、BDR存在和嗜酸性粒细胞计数对患者进行分组。我们比较了亚组间的人口统计、实验室、肺活量测定和用药数据。结果:纳入109例ACO患者,平均年龄49.5±10.7岁。与非特应性患者相比,特应性ACO患者吸入400µg沙丁胺醇或等效物(ΔFEV1BDR)后FEV1增加更高,总IgE水平更高(200 ml vs 100 ml, p = 0.034;211 IU/ml vs. 60 IU/ml, p = 0.002)。bdr阳性组嗜酸性粒细胞计数较高(360/µl比195/µl, p = 0.047)。高嗜酸性ACO患者IgE水平也升高(323 IU/ml vs 80 IU/ml, p = 0.001)。bdr阳性和嗜酸性粒细胞组表现出更好的肺活量测定结果。特异应性ACO患者较多使用白三烯受体拮抗剂,而bdr阴性ACO患者较多使用抗毒蕈素。结论:特应性ACO的ΔFEV1BDR较高表明他们可能对支气管扩张剂有更好的反应。bdr阳性患者嗜酸性粒细胞计数升高支持其分类,提示疾病进展较轻。
本文章由计算机程序翻译,如有差异,请以英文原文为准。
求助全文
约1分钟内获得全文 求助全文
来源期刊
CiteScore
2.60
自引率
7.10%
发文量
107
审稿时长
6-12 weeks
期刊介绍: Advances in Dermatology and Allergology/Postępy Dermatologii i Alergologii is a bimonthly aimed at allergologists and dermatologists.
×
引用
GB/T 7714-2015
复制
MLA
复制
APA
复制
导出至
BibTeX EndNote RefMan NoteFirst NoteExpress
×
提示
您的信息不完整,为了账户安全,请先补充。
现在去补充
×
提示
您因"违规操作"
具体请查看互助需知
我知道了
×
提示
确定
请完成安全验证×
copy
已复制链接
快去分享给好友吧!
我知道了
右上角分享
点击右上角分享
0
联系我们:info@booksci.cn Book学术提供免费学术资源搜索服务,方便国内外学者检索中英文文献。致力于提供最便捷和优质的服务体验。 Copyright © 2023 布克学术 All rights reserved.
京ICP备2023020795号-1
ghs 京公网安备 11010802042870号
Book学术文献互助
Book学术文献互助群
群 号:604180095
Book学术官方微信