Flow mediated skin fluorescence to assess microcirculation in patients with atopic dermatitis.

IF 1.4 4区 医学 Q3 ALLERGY
Postepy Dermatologii I Alergologii Pub Date : 2025-03-26 eCollection Date: 2025-06-01 DOI:10.5114/ada.2025.149085
Jowita Sroka-Tomaszewska, Marcin Hellmann, Jacek Wolf, Aleksandra Michnowska, Krzysztof Narkiewicz, Magdalena Trzeciak
{"title":"Flow mediated skin fluorescence to assess microcirculation in patients with atopic dermatitis.","authors":"Jowita Sroka-Tomaszewska, Marcin Hellmann, Jacek Wolf, Aleksandra Michnowska, Krzysztof Narkiewicz, Magdalena Trzeciak","doi":"10.5114/ada.2025.149085","DOIUrl":null,"url":null,"abstract":"<p><strong>Introduction: </strong>Atopic dermatitis (AD) is a chronic, inflammatory skin disease with severe itching. Particular attention is dedicated to the coexistence of AD with diseases of the cardiovascular system. Since the earliest manifestation of cardiovascular disease is microvascular endothelium dysfunction, an attempt was made to assess the skin microcirculation.</p><p><strong>Aim: </strong>The work aims to analyse the assessment of skin microcirculation in patients with atopic dermatitis based on changes of nicotinamide adenine dinucleotide (NADH) fluorescence from the epidermis of the forearm measured with the flow mediated skin fluorescence (FMSF) technique.</p><p><strong>Material and methods: </strong>Thirteen patients with AD and eleven healthy individuals participated in the study. Changes in NADH fluorescence were measured by the FMSF technique on the forearm in response to blockage and release of blood flow. Results are presented as a maximum ischemic response (IR<sub>max</sub> and IR<sub>index</sub>,), hyperaemic response (HR<sub>max</sub> and HR<sub>index</sub>) or hypoxia sensitivity (HS).</p><p><strong>Results: </strong>The analysed FMSF parameters: IR<sub>max</sub>, IR<sub>index</sub>, HR<sub>max</sub> and HR<sub>index</sub>, HS were not significantly lower in AD patients compared with the control group. There was no association between disease severity and NADH fluorescence.</p><p><strong>Conclusions: </strong>The association of AD with cardiovascular disease is multifactorial. The basis of these connections is still being investigated. Microvascular endothelial dysfunction may be one but not the only mechanism responsible for the increased cardiovascular risk in patients with AD.</p>","PeriodicalId":54595,"journal":{"name":"Postepy Dermatologii I Alergologii","volume":"42 3","pages":"298-305"},"PeriodicalIF":1.4000,"publicationDate":"2025-03-26","publicationTypes":"Journal Article","fieldsOfStudy":null,"isOpenAccess":false,"openAccessPdf":"https://www.ncbi.nlm.nih.gov/pmc/articles/PMC12262035/pdf/","citationCount":"0","resultStr":null,"platform":"Semanticscholar","paperid":null,"PeriodicalName":"Postepy Dermatologii I Alergologii","FirstCategoryId":"3","ListUrlMain":"https://doi.org/10.5114/ada.2025.149085","RegionNum":4,"RegionCategory":"医学","ArticlePicture":[],"TitleCN":null,"AbstractTextCN":null,"PMCID":null,"EPubDate":"2025/6/1 0:00:00","PubModel":"eCollection","JCR":"Q3","JCRName":"ALLERGY","Score":null,"Total":0}
引用次数: 0

Abstract

Introduction: Atopic dermatitis (AD) is a chronic, inflammatory skin disease with severe itching. Particular attention is dedicated to the coexistence of AD with diseases of the cardiovascular system. Since the earliest manifestation of cardiovascular disease is microvascular endothelium dysfunction, an attempt was made to assess the skin microcirculation.

Aim: The work aims to analyse the assessment of skin microcirculation in patients with atopic dermatitis based on changes of nicotinamide adenine dinucleotide (NADH) fluorescence from the epidermis of the forearm measured with the flow mediated skin fluorescence (FMSF) technique.

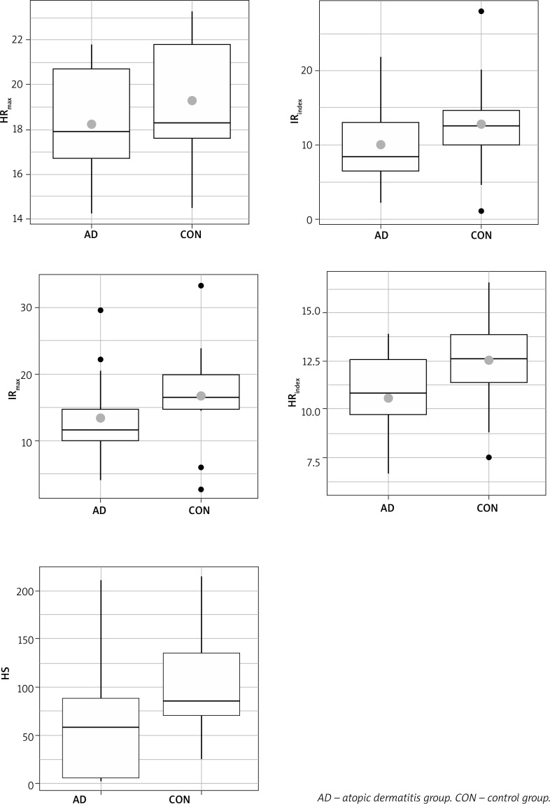
Material and methods: Thirteen patients with AD and eleven healthy individuals participated in the study. Changes in NADH fluorescence were measured by the FMSF technique on the forearm in response to blockage and release of blood flow. Results are presented as a maximum ischemic response (IRmax and IRindex,), hyperaemic response (HRmax and HRindex) or hypoxia sensitivity (HS).

Results: The analysed FMSF parameters: IRmax, IRindex, HRmax and HRindex, HS were not significantly lower in AD patients compared with the control group. There was no association between disease severity and NADH fluorescence.

Conclusions: The association of AD with cardiovascular disease is multifactorial. The basis of these connections is still being investigated. Microvascular endothelial dysfunction may be one but not the only mechanism responsible for the increased cardiovascular risk in patients with AD.

Abstract Image

Abstract Image

Abstract Image

流动介导的皮肤荧光评估特应性皮炎患者的微循环。
特应性皮炎(AD)是一种慢性炎症性皮肤病,伴有严重的瘙痒。特别关注的是AD与心血管系统疾病的共存。由于心血管疾病的最早表现是微血管内皮功能障碍,因此我们尝试对皮肤微循环进行评估。目的:利用流动介导皮肤荧光(FMSF)技术检测前臂表皮的烟酰胺腺嘌呤二核苷酸(NADH)荧光变化,分析对特应性皮炎患者皮肤微循环的评价。材料与方法:13例AD患者和11例健康人参与研究。用FMSF技术在前臂上测量NADH荧光对血流阻塞和释放的反应。结果显示为最大缺血反应(IRmax和IRindex),充血反应(HRmax和HRindex)或缺氧敏感性(HS)。结果:分析的FMSF参数:IRmax、IRindex、HRmax和HRindex、HS在AD患者中与对照组相比均无显著降低。疾病严重程度与NADH荧光无相关性。结论:AD与心血管疾病的关系是多因素的。这些联系的基础仍在调查中。微血管内皮功能障碍可能是AD患者心血管风险增加的一个机制,但不是唯一的机制。
本文章由计算机程序翻译,如有差异,请以英文原文为准。
求助全文
约1分钟内获得全文 求助全文
来源期刊
CiteScore
2.60
自引率
7.10%
发文量
107
审稿时长
6-12 weeks
期刊介绍: Advances in Dermatology and Allergology/Postępy Dermatologii i Alergologii is a bimonthly aimed at allergologists and dermatologists.
×
引用
GB/T 7714-2015
复制
MLA
复制
APA
复制
导出至
BibTeX EndNote RefMan NoteFirst NoteExpress
×
提示
您的信息不完整,为了账户安全,请先补充。
现在去补充
×
提示
您因"违规操作"
具体请查看互助需知
我知道了
×
提示
确定
请完成安全验证×
copy
已复制链接
快去分享给好友吧!
我知道了
右上角分享
点击右上角分享
0
联系我们:info@booksci.cn Book学术提供免费学术资源搜索服务,方便国内外学者检索中英文文献。致力于提供最便捷和优质的服务体验。 Copyright © 2023 布克学术 All rights reserved.
京ICP备2023020795号-1
ghs 京公网安备 11010802042870号
Book学术文献互助
Book学术文献互助群
群 号:604180095
Book学术官方微信