Effective Factors Related to Sleep Disorder in Infants Under 12 Months Old.

IF 1.8 Q4 CLINICAL NEUROLOGY
Sleep Science Pub Date : 2025-06-26 eCollection Date: 2025-06-01 DOI:10.1055/s-0044-1793927
Khatereh Khamenehpour, Isa Mohammadi Zeidi, Saeed Shahsavari, Alireza Razzaghi
{"title":"Effective Factors Related to Sleep Disorder in Infants Under 12 Months Old.","authors":"Khatereh Khamenehpour, Isa Mohammadi Zeidi, Saeed Shahsavari, Alireza Razzaghi","doi":"10.1055/s-0044-1793927","DOIUrl":null,"url":null,"abstract":"<p><p><b>Objective</b>  Infant sleep problems are ranked as one of the leading sources of stress for many families. The present study was conducted to determine the effective factors related to sleep disorders in infants under 12 months old. <b>Materials and Methods</b>  In this cross-sectional study, 410 infants who were referred to the sleep department were evaluated. The Brief Infant Sleep Questionnaire (BISQ) was used to assess the infants' sleep patterns. Statistical tests such as analysis of variance (ANOVA), Chi-squared, and linear regression analysis were used to compare the mean and percentage across the infant age groups and to determine the risk factors related to infant sleep disorders. <b>Results</b>  Out of 410 infants, 289 (70.5%) had at least 1 of the symptoms of sleep disorder. The highest and lowest percentages for sleep disorders were related to \"waking for more than 1 hour at night\" and \"sleeping less than 540 minutes in 24 hours\" with 50% and 23.7%, respectively. The results of the linear regression analysis showed that the factors of age (β = -1.04; 95% CI; -1.55-0.53) and parent perception (β = -0.31; 95% CI; 0.24-0.37) had significant effects on infant sleep disorders. <b>Conclusion</b>  The percentage of infant sleep disorder was rather high among the samples studied, and the age and parent perception variables were recognized as effective factors related to sleep disorder. Health providers and medical staff need to pay more attention to providing the necessary interventions considering infants' age and parents' perception.</p>","PeriodicalId":21848,"journal":{"name":"Sleep Science","volume":"18 2","pages":"e190-e196"},"PeriodicalIF":1.8000,"publicationDate":"2025-06-26","publicationTypes":"Journal Article","fieldsOfStudy":null,"isOpenAccess":false,"openAccessPdf":"https://www.ncbi.nlm.nih.gov/pmc/articles/PMC12263203/pdf/","citationCount":"0","resultStr":null,"platform":"Semanticscholar","paperid":null,"PeriodicalName":"Sleep Science","FirstCategoryId":"1085","ListUrlMain":"https://doi.org/10.1055/s-0044-1793927","RegionNum":0,"RegionCategory":null,"ArticlePicture":[],"TitleCN":null,"AbstractTextCN":null,"PMCID":null,"EPubDate":"2025/6/1 0:00:00","PubModel":"eCollection","JCR":"Q4","JCRName":"CLINICAL NEUROLOGY","Score":null,"Total":0}
引用次数: 0

Abstract

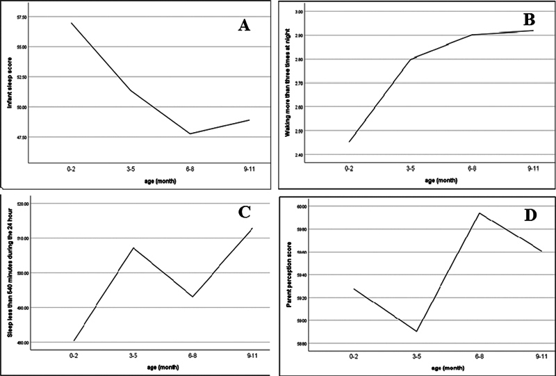
Objective  Infant sleep problems are ranked as one of the leading sources of stress for many families. The present study was conducted to determine the effective factors related to sleep disorders in infants under 12 months old. Materials and Methods  In this cross-sectional study, 410 infants who were referred to the sleep department were evaluated. The Brief Infant Sleep Questionnaire (BISQ) was used to assess the infants' sleep patterns. Statistical tests such as analysis of variance (ANOVA), Chi-squared, and linear regression analysis were used to compare the mean and percentage across the infant age groups and to determine the risk factors related to infant sleep disorders. Results  Out of 410 infants, 289 (70.5%) had at least 1 of the symptoms of sleep disorder. The highest and lowest percentages for sleep disorders were related to "waking for more than 1 hour at night" and "sleeping less than 540 minutes in 24 hours" with 50% and 23.7%, respectively. The results of the linear regression analysis showed that the factors of age (β = -1.04; 95% CI; -1.55-0.53) and parent perception (β = -0.31; 95% CI; 0.24-0.37) had significant effects on infant sleep disorders. Conclusion  The percentage of infant sleep disorder was rather high among the samples studied, and the age and parent perception variables were recognized as effective factors related to sleep disorder. Health providers and medical staff need to pay more attention to providing the necessary interventions considering infants' age and parents' perception.

Abstract Image

Abstract Image

12个月以下婴儿睡眠障碍的相关影响因素
婴儿睡眠问题是许多家庭压力的主要来源之一。本研究旨在确定与12个月以下婴儿睡眠障碍相关的有效因素。材料和方法在这项横断面研究中,对410名转介到睡眠科的婴儿进行了评估。采用婴儿睡眠问卷(BISQ)评估婴儿的睡眠模式。采用方差分析(ANOVA)、卡方分析和线性回归分析等统计检验来比较各婴儿年龄组的平均值和百分比,并确定与婴儿睡眠障碍相关的危险因素。结果410例患儿中289例(70.5%)至少有1项睡眠障碍症状。睡眠障碍比例最高的是“夜间醒1小时以上”,最低的是“24小时睡眠不足540分钟”,分别占50%和23.7%。线性回归分析结果表明,年龄(β = -1.04;95%可信区间;-1.55-0.53)和父母感知(β = -0.31;95%可信区间;0.24-0.37)对婴儿睡眠障碍有显著影响。结论婴幼儿睡眠障碍比例较高,年龄和父母感知变量是影响睡眠障碍的有效因素。考虑到婴儿的年龄和父母的看法,保健提供者和医务人员需要更加注意提供必要的干预措施。
本文章由计算机程序翻译,如有差异,请以英文原文为准。
求助全文
约1分钟内获得全文 求助全文
来源期刊
Sleep Science
Sleep Science CLINICAL NEUROLOGY-
CiteScore
2.50
自引率
12.50%
发文量
124
审稿时长
10 weeks
×
引用
GB/T 7714-2015
复制
MLA
复制
APA
复制
导出至
BibTeX EndNote RefMan NoteFirst NoteExpress
×
提示
您的信息不完整,为了账户安全,请先补充。
现在去补充
×
提示
您因"违规操作"
具体请查看互助需知
我知道了
×
提示
确定
请完成安全验证×
copy
已复制链接
快去分享给好友吧!
我知道了
右上角分享
点击右上角分享
0
联系我们:info@booksci.cn Book学术提供免费学术资源搜索服务,方便国内外学者检索中英文文献。致力于提供最便捷和优质的服务体验。 Copyright © 2023 布克学术 All rights reserved.
京ICP备2023020795号-1
ghs 京公网安备 11010802042870号
Book学术文献互助
Book学术文献互助群
群 号:604180095
Book学术官方微信