Accidental and Regulated Cell Death in Yeast Colony Biofilms.

IF 2.2 4区 数学 Q2 BIOLOGY
Daniel J Netherwood, Alexander K Y Tam, Campbell W Gourlay, Tea Knežević, Jennifer M Gardner, Vladimir Jiranek, Benjamin J Binder, J Edward F Green
{"title":"Accidental and Regulated Cell Death in Yeast Colony Biofilms.","authors":"Daniel J Netherwood, Alexander K Y Tam, Campbell W Gourlay, Tea Knežević, Jennifer M Gardner, Vladimir Jiranek, Benjamin J Binder, J Edward F Green","doi":"10.1007/s11538-025-01470-w","DOIUrl":null,"url":null,"abstract":"<p><p>The yeast species Saccharomyces cerevisiae is one of the most intensively studied organisms on the planet due to it being an excellent eukaryotic model organism in molecular and cell biology. In this work, we investigate the growth and morphology of yeast colony biofilms, where proliferating yeast cells reside within a self-produced extracellular matrix. This research area has garnered significant scientific interest due to its applicability in the biological and biomedical sectors. A central feature of yeast colony biofilm expansion is cellular demise, which is onset by one of two independent mechanisms: either accidental cell death (ACD) or regulated cell death (RCD). In this article, we generalise a continuum model for the nutrient-limited growth of a yeast colony biofilm to include the effects of ACD and RCD. This new model involves a system of four coupled nonlinear reaction-diffusion equations for the yeast-cell density, the nutrient concentration, and two species of dead cells. Numerical solutions of the spatially one and two-dimensional governing equations reveal the impact that ACD and RCD have on expansion speed, morphology and cell distribution within the colony biofilm. Our results are in good qualitative agreement with our own experiments.</p>","PeriodicalId":9372,"journal":{"name":"Bulletin of Mathematical Biology","volume":"87 8","pages":"110"},"PeriodicalIF":2.2000,"publicationDate":"2025-07-17","publicationTypes":"Journal Article","fieldsOfStudy":null,"isOpenAccess":false,"openAccessPdf":"https://www.ncbi.nlm.nih.gov/pmc/articles/PMC12271256/pdf/","citationCount":"0","resultStr":null,"platform":"Semanticscholar","paperid":null,"PeriodicalName":"Bulletin of Mathematical Biology","FirstCategoryId":"100","ListUrlMain":"https://doi.org/10.1007/s11538-025-01470-w","RegionNum":4,"RegionCategory":"数学","ArticlePicture":[],"TitleCN":null,"AbstractTextCN":null,"PMCID":null,"EPubDate":"","PubModel":"","JCR":"Q2","JCRName":"BIOLOGY","Score":null,"Total":0}
引用次数: 0

Abstract

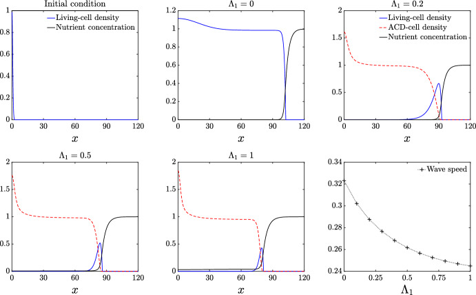
The yeast species Saccharomyces cerevisiae is one of the most intensively studied organisms on the planet due to it being an excellent eukaryotic model organism in molecular and cell biology. In this work, we investigate the growth and morphology of yeast colony biofilms, where proliferating yeast cells reside within a self-produced extracellular matrix. This research area has garnered significant scientific interest due to its applicability in the biological and biomedical sectors. A central feature of yeast colony biofilm expansion is cellular demise, which is onset by one of two independent mechanisms: either accidental cell death (ACD) or regulated cell death (RCD). In this article, we generalise a continuum model for the nutrient-limited growth of a yeast colony biofilm to include the effects of ACD and RCD. This new model involves a system of four coupled nonlinear reaction-diffusion equations for the yeast-cell density, the nutrient concentration, and two species of dead cells. Numerical solutions of the spatially one and two-dimensional governing equations reveal the impact that ACD and RCD have on expansion speed, morphology and cell distribution within the colony biofilm. Our results are in good qualitative agreement with our own experiments.

Abstract Image

Abstract Image

Abstract Image

酵母菌落生物膜中的意外和调控细胞死亡。
酿酒酵母是地球上研究最深入的生物之一,因为它是分子和细胞生物学中优秀的真核模式生物。在这项工作中,我们研究了酵母菌落生物膜的生长和形态,其中增殖的酵母细胞驻留在自产的细胞外基质中。这一研究领域因其在生物和生物医学领域的适用性而获得了重大的科学兴趣。酵母菌落生物膜扩张的一个中心特征是细胞死亡,它是由两种独立的机制之一开始的:意外细胞死亡(ACD)或调节细胞死亡(RCD)。在本文中,我们推广了酵母菌落生物膜营养限制生长的连续模型,其中包括ACD和RCD的影响。这个新模型涉及酵母细胞密度、营养物质浓度和两种死细胞的四个耦合非线性反应扩散方程系统。空间一元和二维控制方程的数值解揭示了ACD和RCD对菌落生物膜内扩张速度、形态和细胞分布的影响。我们的结果与我们自己的实验在定性上是一致的。
本文章由计算机程序翻译,如有差异,请以英文原文为准。
求助全文
约1分钟内获得全文 求助全文
来源期刊
CiteScore
3.90
自引率
8.60%
发文量
123
审稿时长
7.5 months
期刊介绍: The Bulletin of Mathematical Biology, the official journal of the Society for Mathematical Biology, disseminates original research findings and other information relevant to the interface of biology and the mathematical sciences. Contributions should have relevance to both fields. In order to accommodate the broad scope of new developments, the journal accepts a variety of contributions, including: Original research articles focused on new biological insights gained with the help of tools from the mathematical sciences or new mathematical tools and methods with demonstrated applicability to biological investigations Research in mathematical biology education Reviews Commentaries Perspectives, and contributions that discuss issues important to the profession All contributions are peer-reviewed.
×
引用
GB/T 7714-2015
复制
MLA
复制
APA
复制
导出至
BibTeX EndNote RefMan NoteFirst NoteExpress
×
提示
您的信息不完整,为了账户安全,请先补充。
现在去补充
×
提示
您因"违规操作"
具体请查看互助需知
我知道了
×
提示
确定
请完成安全验证×
copy
已复制链接
快去分享给好友吧!
我知道了
右上角分享
点击右上角分享
0
联系我们:info@booksci.cn Book学术提供免费学术资源搜索服务,方便国内外学者检索中英文文献。致力于提供最便捷和优质的服务体验。 Copyright © 2023 布克学术 All rights reserved.
京ICP备2023020795号-1
ghs 京公网安备 11010802042870号
Book学术文献互助
Book学术文献互助群
群 号:604180095
Book学术官方微信