The causal associations of 25(OH)D and its metabolites with oropharyngeal cancer risk: a Mendelian randomization study.

IF 1.9 4区 医学 Q3 DENTISTRY, ORAL SURGERY & MEDICINE
YaoHui Yu, Yu Zhou
{"title":"The causal associations of 25(OH)D and its metabolites with oropharyngeal cancer risk: a Mendelian randomization study.","authors":"YaoHui Yu, Yu Zhou","doi":"10.2340/aos.v84.44053","DOIUrl":null,"url":null,"abstract":"<p><strong>Background: </strong>Previous studies have suggested that there are distinct correlations of 25-hydroxyvitamin D (25(OH)D) and its metabolites with the risk of developing health conditions and cancer; however, the precise nature of these associations in patients with oropharyngeal cancer (OPC) is unknown. Our primary objective was to evaluate the causal impact of 25(OH)D and its metabolites, including 25(OH)D3 and its epimer C3-epi-25(OH)D3, on susceptibility to OPC through the use of Mendelian randomization (MR) methodology.</p><p><strong>Methods: </strong>Mendelian randomization analysis was performed on data from 291 patients with OPC from Europe, North America, and South America using genetic variant strongly related to C3-epi-25(OH)D3, 25(OH)D, and 25(OH)D3 exposure. The primary analytical method for two-sample MR analysis was inverse-variance weighting (IVW); supplemental analyses (weighted median [WM], MR-Egger) were also conducted. Leave-one-out and Cochran's Q tests were concurrently used as sensitivity analyses to test and adjust for pleiotropy.</p><p><strong>Results: </strong>Our MR analysis provided evidence suggesting that greater 25(OH)D3 levels are causally associated with a decreased risk of developing OPC within the European population (WM OR = 0.47, 95% CI = 0.24-0.91, p = 0.03). Only one of the 21 MR analyses yielded significant results; for this MR analysis, the IVW results were significant, but subsequent leave-one-out analyses revealed instability in the causal association. However, the association was significant when rs9304669 was excluded (OR = 0.51, 95% CI = 0.28-0.91, p = 0.02), whereas the other results were not statistically significant. The sensitivity analysis indicated that the results were reliable, with no observed heterogeneity or pleiotropy.</p><p><strong>Conclusions: </strong>There was no evidence that 25(OH)D, 25(OH)D3 or C3-epi-25(OH)D3 levels are associated with OPC risk or that 25OHD supplementation in the general population prevents OPC. The registration number is INPLASY202490081.</p>","PeriodicalId":7313,"journal":{"name":"Acta Odontologica Scandinavica","volume":"84 ","pages":"398-407"},"PeriodicalIF":1.9000,"publicationDate":"2025-07-17","publicationTypes":"Journal Article","fieldsOfStudy":null,"isOpenAccess":false,"openAccessPdf":"https://www.ncbi.nlm.nih.gov/pmc/articles/PMC12362939/pdf/","citationCount":"0","resultStr":null,"platform":"Semanticscholar","paperid":null,"PeriodicalName":"Acta Odontologica Scandinavica","FirstCategoryId":"3","ListUrlMain":"https://doi.org/10.2340/aos.v84.44053","RegionNum":4,"RegionCategory":"医学","ArticlePicture":[],"TitleCN":null,"AbstractTextCN":null,"PMCID":null,"EPubDate":"","PubModel":"","JCR":"Q3","JCRName":"DENTISTRY, ORAL SURGERY & MEDICINE","Score":null,"Total":0}
引用次数: 0

Abstract

Background: Previous studies have suggested that there are distinct correlations of 25-hydroxyvitamin D (25(OH)D) and its metabolites with the risk of developing health conditions and cancer; however, the precise nature of these associations in patients with oropharyngeal cancer (OPC) is unknown. Our primary objective was to evaluate the causal impact of 25(OH)D and its metabolites, including 25(OH)D3 and its epimer C3-epi-25(OH)D3, on susceptibility to OPC through the use of Mendelian randomization (MR) methodology.

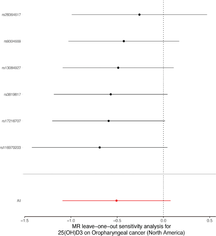
Methods: Mendelian randomization analysis was performed on data from 291 patients with OPC from Europe, North America, and South America using genetic variant strongly related to C3-epi-25(OH)D3, 25(OH)D, and 25(OH)D3 exposure. The primary analytical method for two-sample MR analysis was inverse-variance weighting (IVW); supplemental analyses (weighted median [WM], MR-Egger) were also conducted. Leave-one-out and Cochran's Q tests were concurrently used as sensitivity analyses to test and adjust for pleiotropy.

Results: Our MR analysis provided evidence suggesting that greater 25(OH)D3 levels are causally associated with a decreased risk of developing OPC within the European population (WM OR = 0.47, 95% CI = 0.24-0.91, p = 0.03). Only one of the 21 MR analyses yielded significant results; for this MR analysis, the IVW results were significant, but subsequent leave-one-out analyses revealed instability in the causal association. However, the association was significant when rs9304669 was excluded (OR = 0.51, 95% CI = 0.28-0.91, p = 0.02), whereas the other results were not statistically significant. The sensitivity analysis indicated that the results were reliable, with no observed heterogeneity or pleiotropy.

Conclusions: There was no evidence that 25(OH)D, 25(OH)D3 or C3-epi-25(OH)D3 levels are associated with OPC risk or that 25OHD supplementation in the general population prevents OPC. The registration number is INPLASY202490081.

Abstract Image

Abstract Image

Abstract Image

25(OH)D及其代谢物与口咽癌风险的因果关系:一项孟德尔随机研究
背景:以往的研究表明,25-羟基维生素D (25(OH)D)及其代谢物与健康状况和癌症的风险存在明显的相关性;然而,这些关联在口咽癌(OPC)患者中的确切性质尚不清楚。我们的主要目的是通过使用孟德尔随机化(MR)方法来评估25(OH)D及其代谢物(包括25(OH)D3及其表聚物C3-epi-25(OH)D3)对OPC易感性的因果影响。方法:使用与C3-epi-25(OH)D3、25(OH)D和25(OH)D3暴露密切相关的遗传变异,对来自欧洲、北美和南美的291例OPC患者的数据进行孟德尔随机化分析。双样本MR分析的主要分析方法是逆方差加权(IVW);还进行了补充分析(加权中位数[WM], MR-Egger)。Leave-one-out和Cochran’s Q检验同时被用作敏感性分析,以检验和调整多效性。结果:我们的MR分析提供的证据表明,在欧洲人群中,较高的25(OH)D3水平与发生OPC的风险降低有因果关系(WM OR = 0.47, 95% CI = 0.24-0.91, p = 0.03)。21个MR分析中只有一个产生了显著的结果;对于这个MR分析,IVW结果是显著的,但随后的遗漏分析揭示了因果关系的不稳定性。然而,当排除rs9304669时,相关性显著(OR = 0.51, 95% CI = 0.28-0.91, p = 0.02),而其他结果无统计学意义。敏感性分析表明结果是可靠的,没有观察到异质性或多效性。结论:没有证据表明25(OH)D、25(OH)D3或C3-epi-25(OH)D3水平与OPC风险相关,也没有证据表明在普通人群中补充25OHD可以预防OPC。注册号为INPLASY202490081。
本文章由计算机程序翻译,如有差异,请以英文原文为准。
求助全文
约1分钟内获得全文 求助全文
来源期刊
Acta Odontologica Scandinavica
Acta Odontologica Scandinavica 医学-牙科与口腔外科
CiteScore
4.00
自引率
5.00%
发文量
69
审稿时长
6-12 weeks
期刊介绍: Acta Odontologica Scandinavica publishes papers conveying new knowledge within all areas of oral health and disease sciences.
×
引用
GB/T 7714-2015
复制
MLA
复制
APA
复制
导出至
BibTeX EndNote RefMan NoteFirst NoteExpress
×
提示
您的信息不完整,为了账户安全,请先补充。
现在去补充
×
提示
您因"违规操作"
具体请查看互助需知
我知道了
×
提示
确定
请完成安全验证×
copy
已复制链接
快去分享给好友吧!
我知道了
右上角分享
点击右上角分享
0
联系我们:info@booksci.cn Book学术提供免费学术资源搜索服务,方便国内外学者检索中英文文献。致力于提供最便捷和优质的服务体验。 Copyright © 2023 布克学术 All rights reserved.
京ICP备2023020795号-1
ghs 京公网安备 11010802042870号
Book学术文献互助
Book学术文献互助群
群 号:604180095
Book学术官方微信