Predicted pro-inflammatory high-sensitivity C-reactive protein score and inflammatory bowel disease: a cross-sectional study.

IF 2.4 4区 医学 Q2 MEDICINE, GENERAL & INTERNAL
Korean Journal of Internal Medicine Pub Date : 2025-09-01 Epub Date: 2025-07-17 DOI:10.3904/kjim.2025.038
Dong Hyun Kim, Akinkunmi Paul Okekunle, Jioh Kang, Hyun-Soo Kim, Sang Hoon Kim, Min Kyu Jung, Jae Ho Park, Soo Young Na, Hoonjai Chun, Jung Eun Lee, Yun Jeong Lim
{"title":"Predicted pro-inflammatory high-sensitivity C-reactive protein score and inflammatory bowel disease: a cross-sectional study.","authors":"Dong Hyun Kim, Akinkunmi Paul Okekunle, Jioh Kang, Hyun-Soo Kim, Sang Hoon Kim, Min Kyu Jung, Jae Ho Park, Soo Young Na, Hoonjai Chun, Jung Eun Lee, Yun Jeong Lim","doi":"10.3904/kjim.2025.038","DOIUrl":null,"url":null,"abstract":"<p><strong>Background/aims: </strong>The role of pro-inflammatory factors in the pathogenesis of inflammatory bowel diseases (IBD), is not well understood. This study investigated the association between the predicted pro-inflammatory high-sensitivity C-reactive protein (hs-CRP) score and IBD.</p><p><strong>Methods: </strong>This study involved 127 case/non-case pairs matched by age and sex of participants who underwent gastrointestinal endoscopy in Korea. Participants provided comprehensive sociodemographic, lifestyle, and dietary data. We obtained odds ratio (OR) and 95% confidence interval (CI) for IBD prevalence by tertiles of the predicted pro-inflammatory hs-CRP score using multivariable-adjusted logistic regression models at a two-sided p < 0.05.</p><p><strong>Results: </strong>Higher predicted pro-inflammatory hs-CRP score was associated with a higher IBD prevalence; OR (95% CI): 1.00, 0.88 (0.38, 2.07) and 8.11 (2.07, 31.81; p for trend = 0.006). Similar increased trends of IBD prevalence with score increase were observed for men and women. The association was more pronounced for UC prevalence when we separated UC and CD. Compared to the low category, OR (95% CI) were 5.78 (1.29, 25.89) for UC but 1.44 (0.31, 6.69) for CD in the dichotomized higher category. The area under the curve for predicted pro-inflammatory hs-CRP score was 0.72 (95% CI: 0.64, 0.81) for UC and 0.68 (95% CI: 0.58, 0.77) for CD, indicating moderate predictive ability.</p><p><strong>Conclusion: </strong>Higher predicted pro-inflammatory hs-CRP score was significantly associated with an increased prevalence of IBD, particularly UC, and could be a valuable indicator for discriminating people at risk of IBD, offering insights into disease aetiology and opportunities for targeted interventions.</p>","PeriodicalId":48785,"journal":{"name":"Korean Journal of Internal Medicine","volume":" ","pages":"734-746"},"PeriodicalIF":2.4000,"publicationDate":"2025-09-01","publicationTypes":"Journal Article","fieldsOfStudy":null,"isOpenAccess":false,"openAccessPdf":"https://www.ncbi.nlm.nih.gov/pmc/articles/PMC12425676/pdf/","citationCount":"0","resultStr":null,"platform":"Semanticscholar","paperid":null,"PeriodicalName":"Korean Journal of Internal Medicine","FirstCategoryId":"3","ListUrlMain":"https://doi.org/10.3904/kjim.2025.038","RegionNum":4,"RegionCategory":"医学","ArticlePicture":[],"TitleCN":null,"AbstractTextCN":null,"PMCID":null,"EPubDate":"2025/7/17 0:00:00","PubModel":"Epub","JCR":"Q2","JCRName":"MEDICINE, GENERAL & INTERNAL","Score":null,"Total":0}
引用次数: 0

Abstract

Background/aims: The role of pro-inflammatory factors in the pathogenesis of inflammatory bowel diseases (IBD), is not well understood. This study investigated the association between the predicted pro-inflammatory high-sensitivity C-reactive protein (hs-CRP) score and IBD.

Methods: This study involved 127 case/non-case pairs matched by age and sex of participants who underwent gastrointestinal endoscopy in Korea. Participants provided comprehensive sociodemographic, lifestyle, and dietary data. We obtained odds ratio (OR) and 95% confidence interval (CI) for IBD prevalence by tertiles of the predicted pro-inflammatory hs-CRP score using multivariable-adjusted logistic regression models at a two-sided p < 0.05.

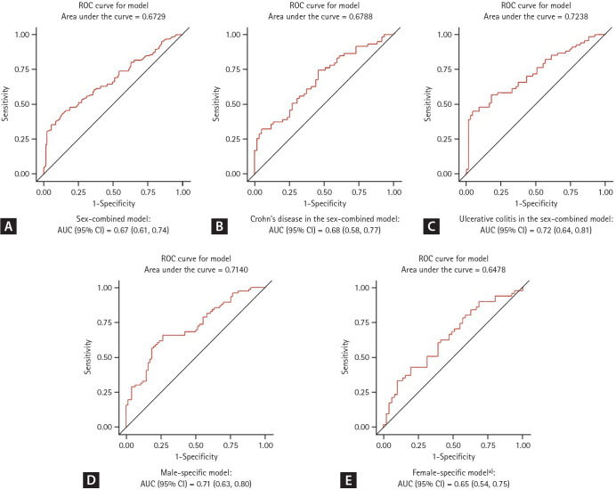
Results: Higher predicted pro-inflammatory hs-CRP score was associated with a higher IBD prevalence; OR (95% CI): 1.00, 0.88 (0.38, 2.07) and 8.11 (2.07, 31.81; p for trend = 0.006). Similar increased trends of IBD prevalence with score increase were observed for men and women. The association was more pronounced for UC prevalence when we separated UC and CD. Compared to the low category, OR (95% CI) were 5.78 (1.29, 25.89) for UC but 1.44 (0.31, 6.69) for CD in the dichotomized higher category. The area under the curve for predicted pro-inflammatory hs-CRP score was 0.72 (95% CI: 0.64, 0.81) for UC and 0.68 (95% CI: 0.58, 0.77) for CD, indicating moderate predictive ability.

Conclusion: Higher predicted pro-inflammatory hs-CRP score was significantly associated with an increased prevalence of IBD, particularly UC, and could be a valuable indicator for discriminating people at risk of IBD, offering insights into disease aetiology and opportunities for targeted interventions.

Abstract Image

Abstract Image

Abstract Image

预测促炎高敏c反应蛋白评分与炎症性肠病:一项横断面研究
背景/目的:促炎因子在炎症性肠病(IBD)发病机制中的作用尚不清楚。本研究探讨了预测促炎高敏c反应蛋白(hs-CRP)评分与IBD之间的关系。方法:本研究纳入127例病例/非病例对,按年龄和性别匹配,参与者在韩国接受了胃肠内窥镜检查。参与者提供了全面的社会人口统计、生活方式和饮食数据。我们使用多变量调整的logistic回归模型,在双侧p < 0.05的情况下,通过预测促炎hs-CRP评分的分位数获得IBD患病率的优势比(OR)和95%置信区间(CI)。结果:预测的促炎hs-CRP评分越高,IBD患病率越高;或(95% CI): 1.00, 0.88(0.38, 2.07)和8.11 (2.07,31.81;P表示趋势= 0.006)。随着得分的增加,IBD患病率在男性和女性中也出现了类似的增加趋势。当我们将UC和CD分开时,UC患病率的相关性更为明显。与低类别相比,UC的OR (95% CI)为5.78(1.29,25.89),而在二分类的高类别中,CD的OR (95% CI)为1.44(0.31,6.69)。预测促炎hs-CRP评分对UC的曲线下面积为0.72 (95% CI: 0.64, 0.81),对CD的曲线下面积为0.68 (95% CI: 0.58, 0.77),表明预测能力中等。结论:较高的预测促炎hs-CRP评分与IBD患病率增加显著相关,特别是UC,并且可能是区分IBD风险人群的有价值指标,为疾病病因和靶向干预提供了见解。
本文章由计算机程序翻译,如有差异,请以英文原文为准。
求助全文
约1分钟内获得全文 求助全文
来源期刊
Korean Journal of Internal Medicine
Korean Journal of Internal Medicine MEDICINE, GENERAL & INTERNAL-
CiteScore
5.10
自引率
4.20%
发文量
129
审稿时长
20 weeks
期刊介绍: The Korean Journal of Internal Medicine is an international medical journal published in English by the Korean Association of Internal Medicine. The Journal publishes peer-reviewed original articles, reviews, and editorials on all aspects of medicine, including clinical investigations and basic research. Both human and experimental animal studies are welcome, as are new findings on the epidemiology, pathogenesis, diagnosis, and treatment of diseases. Case reports will be published only in exceptional circumstances, when they illustrate a rare occurrence of clinical importance. Letters to the editor are encouraged for specific comments on published articles and general viewpoints.
×
引用
GB/T 7714-2015
复制
MLA
复制
APA
复制
导出至
BibTeX EndNote RefMan NoteFirst NoteExpress
×
提示
您的信息不完整,为了账户安全,请先补充。
现在去补充
×
提示
您因"违规操作"
具体请查看互助需知
我知道了
×
提示
确定
请完成安全验证×
copy
已复制链接
快去分享给好友吧!
我知道了
右上角分享
点击右上角分享
0
联系我们:info@booksci.cn Book学术提供免费学术资源搜索服务,方便国内外学者检索中英文文献。致力于提供最便捷和优质的服务体验。 Copyright © 2023 布克学术 All rights reserved.
京ICP备2023020795号-1
ghs 京公网安备 11010802042870号
Book学术文献互助
Book学术文献互助群
群 号:604180095
Book学术官方微信