Childhood cancer incidence around nuclear installations in Great Britain, 1995-2016.

IF 5.9 2区 医学 Q1 PUBLIC, ENVIRONMENTAL & OCCUPATIONAL HEALTH
Bethan Davies, Frédéric B Piel, Aina Roca-Barceló, Anna Freni Sterrantino, Hima Iyathooray Daby, Marta Blangiardo, Daniela Fecht, Frank de Vocht, Paul Elliott, Mireille B Toledano
{"title":"Childhood cancer incidence around nuclear installations in Great Britain, 1995-2016.","authors":"Bethan Davies, Frédéric B Piel, Aina Roca-Barceló, Anna Freni Sterrantino, Hima Iyathooray Daby, Marta Blangiardo, Daniela Fecht, Frank de Vocht, Paul Elliott, Mireille B Toledano","doi":"10.1093/ije/dyaf107","DOIUrl":null,"url":null,"abstract":"<p><strong>Background: </strong>Concerns remain about the potential harmful health impact of nuclear installations. Historical clusters of leukaemia and non-Hodgkin's lymphoma (LNHL) in children living near Sellafield and Dounreay installations in Great Britain remain aetiologically unexplained, and the sites remain under surveillance. We assess the risk of LNHL, central nervous system (CNS) and all solid tumours in children aged 0-14 years living within 25 km of nuclear installations in Great Britain, between 1995 and 2016.</p><p><strong>Methods: </strong>We used a Poisson regression model to estimate the expected number of cases of each cancer type at the community-level in the study population, we present standardized incidence ratios compared to the national population. We used a hierarchical Poisson regression model to estimate the adjusted incidence rate ratios for each cancer type by distance between the community of residence and nearest nuclear installation.</p><p><strong>Results: </strong>We found no evidence of elevated incidence of LNHL, CNS, or all solid tumours in children resident in communities in proximity to nuclear sites. Within the 25-km zone, there was no evidence of an increased risk of childhood cancer in communities closer to installations.</p><p><strong>Conclusion: </strong>In post-1994 data, there was no evidence of an increased risk of childhood cancers in communities within 25 km of nuclear installations in Great Britain. Previously raised risks are no longer evident.</p>","PeriodicalId":14147,"journal":{"name":"International journal of epidemiology","volume":"54 4","pages":""},"PeriodicalIF":5.9000,"publicationDate":"2025-06-11","publicationTypes":"Journal Article","fieldsOfStudy":null,"isOpenAccess":false,"openAccessPdf":"https://www.ncbi.nlm.nih.gov/pmc/articles/PMC12263190/pdf/","citationCount":"0","resultStr":null,"platform":"Semanticscholar","paperid":null,"PeriodicalName":"International journal of epidemiology","FirstCategoryId":"3","ListUrlMain":"https://doi.org/10.1093/ije/dyaf107","RegionNum":2,"RegionCategory":"医学","ArticlePicture":[],"TitleCN":null,"AbstractTextCN":null,"PMCID":null,"EPubDate":"","PubModel":"","JCR":"Q1","JCRName":"PUBLIC, ENVIRONMENTAL & OCCUPATIONAL HEALTH","Score":null,"Total":0}
引用次数: 0

Abstract

Background: Concerns remain about the potential harmful health impact of nuclear installations. Historical clusters of leukaemia and non-Hodgkin's lymphoma (LNHL) in children living near Sellafield and Dounreay installations in Great Britain remain aetiologically unexplained, and the sites remain under surveillance. We assess the risk of LNHL, central nervous system (CNS) and all solid tumours in children aged 0-14 years living within 25 km of nuclear installations in Great Britain, between 1995 and 2016.

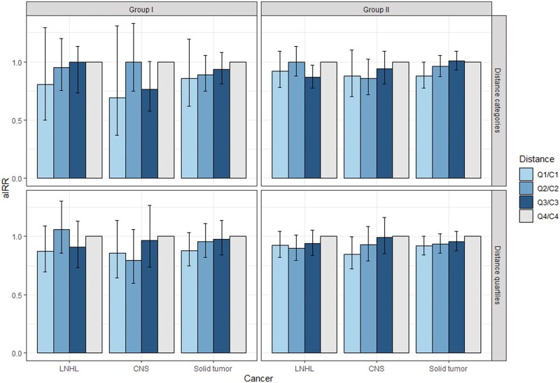
Methods: We used a Poisson regression model to estimate the expected number of cases of each cancer type at the community-level in the study population, we present standardized incidence ratios compared to the national population. We used a hierarchical Poisson regression model to estimate the adjusted incidence rate ratios for each cancer type by distance between the community of residence and nearest nuclear installation.

Results: We found no evidence of elevated incidence of LNHL, CNS, or all solid tumours in children resident in communities in proximity to nuclear sites. Within the 25-km zone, there was no evidence of an increased risk of childhood cancer in communities closer to installations.

Conclusion: In post-1994 data, there was no evidence of an increased risk of childhood cancers in communities within 25 km of nuclear installations in Great Britain. Previously raised risks are no longer evident.

Abstract Image

Abstract Image

1995-2016年英国核设施周围儿童癌症发病率
背景:人们仍然关注核设施对健康的潜在有害影响。居住在英国Sellafield和dunreay设施附近的儿童的白血病和非霍奇金淋巴瘤(LNHL)的历史集群在病因学上仍未得到解释,这些地点仍在监测中。我们评估了1995年至2016年间居住在英国核设施25公里范围内的0-14岁儿童患LNHL、中枢神经系统(CNS)和所有实体瘤的风险。方法:我们使用泊松回归模型来估计研究人群中社区水平上每种癌症类型的预期病例数,我们给出了与全国人口相比的标准化发病率。我们使用了一个层次泊松回归模型,根据居住社区和最近的核设施之间的距离来估计每种癌症类型的调整发病率比。结果:我们没有发现居住在核设施附近社区的儿童中LNHL、中枢神经系统或所有实体瘤发病率升高的证据。在25公里范围内,没有证据表明靠近核电站的社区儿童患癌症的风险增加。结论:在1994年后的数据中,没有证据表明在英国核设施25公里范围内的社区儿童患癌症的风险增加。以前增加的风险不再明显。
本文章由计算机程序翻译,如有差异,请以英文原文为准。
求助全文
约1分钟内获得全文 求助全文
来源期刊
International journal of epidemiology
International journal of epidemiology 医学-公共卫生、环境卫生与职业卫生
CiteScore
13.60
自引率
2.60%
发文量
226
审稿时长
3 months
期刊介绍: The International Journal of Epidemiology is a vital resource for individuals seeking to stay updated on the latest advancements and emerging trends in the field of epidemiology worldwide. The journal fosters communication among researchers, educators, and practitioners involved in the study, teaching, and application of epidemiology pertaining to both communicable and non-communicable diseases. It also includes research on health services and medical care. Furthermore, the journal presents new methodologies in epidemiology and statistics, catering to professionals working in social and preventive medicine. Published six times a year, the International Journal of Epidemiology provides a comprehensive platform for the analysis of data. Overall, this journal is an indispensable tool for staying informed and connected within the dynamic realm of epidemiology.
×
引用
GB/T 7714-2015
复制
MLA
复制
APA
复制
导出至
BibTeX EndNote RefMan NoteFirst NoteExpress
×
提示
您的信息不完整,为了账户安全,请先补充。
现在去补充
×
提示
您因"违规操作"
具体请查看互助需知
我知道了
×
提示
确定
请完成安全验证×
copy
已复制链接
快去分享给好友吧!
我知道了
右上角分享
点击右上角分享
0
联系我们:info@booksci.cn Book学术提供免费学术资源搜索服务,方便国内外学者检索中英文文献。致力于提供最便捷和优质的服务体验。 Copyright © 2023 布克学术 All rights reserved.
京ICP备2023020795号-1
ghs 京公网安备 11010802042870号
Book学术文献互助
Book学术文献互助群
群 号:604180095
Book学术官方微信