Analysis of risk factors of cholangiocarcinoma, role of diabetes mellitus and hepatitis B virus infection in the intrahepatic and extrahepatic cholangiocarcinoma: a retrospective case-based study in China.

IF 2.8 2区 医学 Q3 IMMUNOLOGY
Hasan Md Rasadul, Peng-Cheng Kang, Jing-Lin Li, Shi-Hui Ma, Cheng-Hong Duan, Xu-Dong Zhao, Yun-Fu Cui
{"title":"Analysis of risk factors of cholangiocarcinoma, role of diabetes mellitus and hepatitis B virus infection in the intrahepatic and extrahepatic cholangiocarcinoma: a retrospective case-based study in China.","authors":"Hasan Md Rasadul, Peng-Cheng Kang, Jing-Lin Li, Shi-Hui Ma, Cheng-Hong Duan, Xu-Dong Zhao, Yun-Fu Cui","doi":"10.1186/s13027-025-00681-z","DOIUrl":null,"url":null,"abstract":"<p><strong>Background: </strong>The cause and carcinogenesis of cholangiocarcinoma (CCA) remain unclear. In this study, we conducted a population-based case-control study in China to evaluate the effects of diabetes mellitus (DM), hepatitis B virus (HBV) infection, and other potential risk factors for cholangiocarcinoma (CCA).</p><p><strong>Methods: </strong>A hospital-based, case-control study was conducted, including 245 CCA patients (168 with extrahepatic cholangiocarcinoma (eCCA) and 77 with intrahepatic cholangiocarcinoma (iCCA), diagnosed at The Second Affiliated Hospital of Harbin Medical University in China between January 2019 and June 2024, along with 490 healthy controls matched in a 2:1 ratio. Conditional logistic regression and the synergism index were used to analyze risk factors for cholangiocarcinoma and their potential correlations.</p><p><strong>Results: </strong>There was an association between DM, HBV infection, cholelithiasis, choledocholithiasis, hepatolithiasis, and thyroid diseases were significantly and positively correlated with CCA, with adjusted odds ratios (AOR = 1.53; 95% CI = 1.26-1.85; P < 0.001), (AOR = 2.55; 95% CI = 1.25-5.20; P < 0.010), (AOR = 1.71; 95% CI = 1.14-2.58; P < 0.009), (AOR = 4.67; 95% CI = 1.76-12.37; P < 0.002), (AOR = 3.00; 95% CI = 1.24-7.25; P < 0.015), and (AOR = 5.46; 95% CI = 2.04-14.60; P < 0.001) respectively. A synergistic interaction between HBV infection and DM was investigated using an interactive bar chart. In the subgroup analyses, the results for eCCA included DM (AOR = 1.40; 95% CI = 1.10-1.78; P < 0.006), cholelithiasis (AOR = 1.60; 95% CI = 1.14-2.31; P < 0.013), CBD stones (AOR = 4.05; 95% CI = 1.47-11.12; P < 0.007), hepatolithiasis (AOR = 5.80; 95% CI = 1.50-22.40; P < 0.010), and thyroid diseases (AOR = 11.18; 95% CI = 2.57-48.5; P < 0.001), all of which were significant for eCCA. Whereas DM (AOR = 2.61; 95%CI = 1.52-4.48; P < 0.001), cholelithiasis (AOR = 4.34; 95%CI = 1.53-12.34; P < 0.006), hepatolithiasis (AOR = 3.55; 95%CI = 1.05-12.00; P < 0.042), and HBV infection (AOR = 3.55; 95%CI = 1.55-8.15; P < 0.003) were significant risk factors for iCCA. Synergistic interaction between HBV infection and DM was also observed, resulting in a stronger association. Furthermore, a history of cholecystectomy (AOR = 0.39; 95%CI = (0.15-0.99); p < 0.048) demonstrates a protective function.</p><p><strong>Conclusion: </strong>This Chinese study found that DM is an independent risk factor for CCA, particularly iCCA, and also increases the risk of eCCA. HBV infection is exclusively associated with iCCA, whereas choledocholithiasis, hepatolithiasis, and DM can cause both eCCA and iCCA. CBD stones enhance CCA risk, especially eCCA. By understanding this synergy, effective prevention methods for high-risk CCA may be established.</p>","PeriodicalId":13568,"journal":{"name":"Infectious Agents and Cancer","volume":"20 1","pages":"46"},"PeriodicalIF":2.8000,"publicationDate":"2025-07-15","publicationTypes":"Journal Article","fieldsOfStudy":null,"isOpenAccess":false,"openAccessPdf":"https://www.ncbi.nlm.nih.gov/pmc/articles/PMC12265379/pdf/","citationCount":"0","resultStr":null,"platform":"Semanticscholar","paperid":null,"PeriodicalName":"Infectious Agents and Cancer","FirstCategoryId":"3","ListUrlMain":"https://doi.org/10.1186/s13027-025-00681-z","RegionNum":2,"RegionCategory":"医学","ArticlePicture":[],"TitleCN":null,"AbstractTextCN":null,"PMCID":null,"EPubDate":"","PubModel":"","JCR":"Q3","JCRName":"IMMUNOLOGY","Score":null,"Total":0}
引用次数: 0

Abstract

Background: The cause and carcinogenesis of cholangiocarcinoma (CCA) remain unclear. In this study, we conducted a population-based case-control study in China to evaluate the effects of diabetes mellitus (DM), hepatitis B virus (HBV) infection, and other potential risk factors for cholangiocarcinoma (CCA).

Methods: A hospital-based, case-control study was conducted, including 245 CCA patients (168 with extrahepatic cholangiocarcinoma (eCCA) and 77 with intrahepatic cholangiocarcinoma (iCCA), diagnosed at The Second Affiliated Hospital of Harbin Medical University in China between January 2019 and June 2024, along with 490 healthy controls matched in a 2:1 ratio. Conditional logistic regression and the synergism index were used to analyze risk factors for cholangiocarcinoma and their potential correlations.

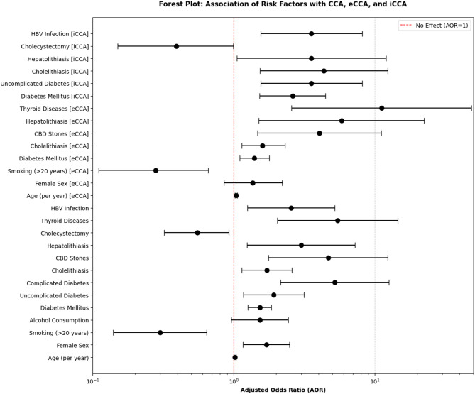
Results: There was an association between DM, HBV infection, cholelithiasis, choledocholithiasis, hepatolithiasis, and thyroid diseases were significantly and positively correlated with CCA, with adjusted odds ratios (AOR = 1.53; 95% CI = 1.26-1.85; P < 0.001), (AOR = 2.55; 95% CI = 1.25-5.20; P < 0.010), (AOR = 1.71; 95% CI = 1.14-2.58; P < 0.009), (AOR = 4.67; 95% CI = 1.76-12.37; P < 0.002), (AOR = 3.00; 95% CI = 1.24-7.25; P < 0.015), and (AOR = 5.46; 95% CI = 2.04-14.60; P < 0.001) respectively. A synergistic interaction between HBV infection and DM was investigated using an interactive bar chart. In the subgroup analyses, the results for eCCA included DM (AOR = 1.40; 95% CI = 1.10-1.78; P < 0.006), cholelithiasis (AOR = 1.60; 95% CI = 1.14-2.31; P < 0.013), CBD stones (AOR = 4.05; 95% CI = 1.47-11.12; P < 0.007), hepatolithiasis (AOR = 5.80; 95% CI = 1.50-22.40; P < 0.010), and thyroid diseases (AOR = 11.18; 95% CI = 2.57-48.5; P < 0.001), all of which were significant for eCCA. Whereas DM (AOR = 2.61; 95%CI = 1.52-4.48; P < 0.001), cholelithiasis (AOR = 4.34; 95%CI = 1.53-12.34; P < 0.006), hepatolithiasis (AOR = 3.55; 95%CI = 1.05-12.00; P < 0.042), and HBV infection (AOR = 3.55; 95%CI = 1.55-8.15; P < 0.003) were significant risk factors for iCCA. Synergistic interaction between HBV infection and DM was also observed, resulting in a stronger association. Furthermore, a history of cholecystectomy (AOR = 0.39; 95%CI = (0.15-0.99); p < 0.048) demonstrates a protective function.

Conclusion: This Chinese study found that DM is an independent risk factor for CCA, particularly iCCA, and also increases the risk of eCCA. HBV infection is exclusively associated with iCCA, whereas choledocholithiasis, hepatolithiasis, and DM can cause both eCCA and iCCA. CBD stones enhance CCA risk, especially eCCA. By understanding this synergy, effective prevention methods for high-risk CCA may be established.

Abstract Image

Abstract Image

Abstract Image

胆管癌的危险因素分析,糖尿病和乙型肝炎病毒感染在肝内和肝外胆管癌中的作用:一项基于中国病例的回顾性研究
背景:胆管癌(CCA)的病因和癌变机制尚不清楚。在这项研究中,我们在中国进行了一项基于人群的病例对照研究,以评估糖尿病(DM)、乙型肝炎病毒(HBV)感染和其他潜在危险因素对胆管癌(CCA)的影响。方法:开展了一项以医院为基础的病例对照研究,纳入了2019年1月至2024年6月在中国哈尔滨医科大学第二附属医院诊断的245例CCA患者(168例为肝外胆管癌(eCCA), 77例为肝内胆管癌(iCCA)),以及490例按2:1比例匹配的健康对照。采用条件logistic回归和协同效应指数分析胆管癌的危险因素及其潜在相关性。结果:糖尿病、HBV感染、胆石症、胆总管结石、肝结石、甲状腺疾病与CCA呈正相关,校正优势比(AOR = 1.53;95% ci = 1.26-1.85;P结论:本中国研究发现,糖尿病是CCA,尤其是iCCA的独立危险因素,同时也增加了eCCA的风险。HBV感染仅与iCCA相关,而胆总管结石、肝结石和糖尿病可引起eCCA和iCCA。CBD结石增加CCA风险,尤其是eCCA。通过了解这种协同作用,可以建立有效的预防高风险CCA的方法。
本文章由计算机程序翻译,如有差异,请以英文原文为准。
求助全文
约1分钟内获得全文 求助全文
来源期刊
Infectious Agents and Cancer
Infectious Agents and Cancer ONCOLOGY-IMMUNOLOGY
CiteScore
5.80
自引率
2.70%
发文量
54
期刊介绍: Infectious Agents and Cancer is an open access, peer-reviewed online journal that encompasses all aspects of basic, clinical, epidemiological and translational research providing an insight into the association between chronic infections and cancer. The journal welcomes submissions in the pathogen-related cancer areas and other related topics, in particular: • HPV and anogenital cancers, as well as head and neck cancers; • EBV and Burkitt lymphoma; • HCV/HBV and hepatocellular carcinoma as well as lymphoproliferative diseases; • HHV8 and Kaposi sarcoma; • HTLV and leukemia; • Cancers in Low- and Middle-income countries. The link between infection and cancer has become well established over the past 50 years, and infection-associated cancer contribute up to 16% of cancers in developed countries and 33% in less developed countries. Preventive vaccines have been developed for only two cancer-causing viruses, highlighting both the opportunity to prevent infection-associated cancers by vaccination and the gaps that remain before vaccines can be developed for other cancer-causing agents. These gaps are due to incomplete understanding of the basic biology, natural history, epidemiology of many of the pathogens that cause cancer, the mechanisms they exploit to cause cancer, and how to interrupt progression to cancer in human populations. Early diagnosis or identification of lesions at high risk of progression represent the current most critical research area of the field supported by recent advances in genomics and proteomics technologies.
×
引用
GB/T 7714-2015
复制
MLA
复制
APA
复制
导出至
BibTeX EndNote RefMan NoteFirst NoteExpress
×
提示
您的信息不完整,为了账户安全,请先补充。
现在去补充
×
提示
您因"违规操作"
具体请查看互助需知
我知道了
×
提示
确定
请完成安全验证×
copy
已复制链接
快去分享给好友吧!
我知道了
右上角分享
点击右上角分享
0
联系我们:info@booksci.cn Book学术提供免费学术资源搜索服务,方便国内外学者检索中英文文献。致力于提供最便捷和优质的服务体验。 Copyright © 2023 布克学术 All rights reserved.
京ICP备2023020795号-1
ghs 京公网安备 11010802042870号
Book学术文献互助
Book学术文献互助群
群 号:604180095
Book学术官方微信