Challenges in subtyping disease entities of thyroid dysfunction following combined immune checkpoint inhibitor therapy: a case report.

IF 1.8 Q3 ENDOCRINOLOGY & METABOLISM
Marco Juul Thomsen, Stine Linding Andersen, Nanna Maria Uldall Torp, Stig Andersen, Allan Carlé
{"title":"Challenges in subtyping disease entities of thyroid dysfunction following combined immune checkpoint inhibitor therapy: a case report.","authors":"Marco Juul Thomsen, Stine Linding Andersen, Nanna Maria Uldall Torp, Stig Andersen, Allan Carlé","doi":"10.1186/s13044-025-00254-7","DOIUrl":null,"url":null,"abstract":"<p><strong>Background: </strong>Immune checkpoint inhibitor (ICI) therapy is used in the management of advanced malignancies. Thyroid function abnormalities have been reported, but more evidence is needed to substantiate the subtypes and course of thyroid disease associated with this treatment.</p><p><strong>Case presentation: </strong>A 51-year-old woman with metastatic pancreatic cancer and no previous history of autoimmune disease was referred to the Endocrine Department six days after the initiation of combined treatment with ipilimumab (anti-CTLA-4) and nivolumab (anti-PD-1). At the initial endocrinologic assessment, the patient had biochemical overt thyrotoxicosis with suppressed thyroid stimulating hormone < 0.01 mIU/L (reference range (RR), 0.3-4.5 mIU/L), elevated total thyroxine (TT4) > 309 nmol/L (> 24.0 µg/dL) (RR, 60-140 nmol/L; 4.7-10.9 µg/dL), and total triiodothyronine (TT3) 7.0 nmol/L (454.5 ng/dL) (RR, 1.1-2.5 nmol/L; 71.4-162.3 ng/dL). Despite marked biochemical thyrotoxicosis, the patient presented with few symptoms. TSH-receptor antibodies (TRAb) were negative, as were thyroid peroxidase antibodies, whereas elevated levels of thyroglobulin antibodies were found. Thyroid ultrasound revealed an enlarged, heterogeneous hypoechoic gland with increased vascularity. High-dose antithyroid drug (ATD) therapy were followed by a decline in thyroid hormone levels (after one week of treatment: TT4: >309 nmol/L (> 24.0 µg/dL); TT3: 1.8 nmol/L (116.9 ng/dL); after two weeks: TT4: 164 nmol/L (12.7 µg/dL); TT3: 0.9 nmol/L (58.4 ng/dL)). After five weeks, the patient developed biochemical hypothyroidism. Thus, ATD therapy was discontinued, and levothyroxine was initiated.</p><p><strong>Conclusion: </strong>This case report illustrates with a short time frame from the initiation of ICI therapy the onset of thyrotoxicosis, followed by the development of thyroid insufficiency. This case highlights the challenges associated with subtyping the cause of thyroid dysfunction in patients treated with ICIs. Further, this case highlights the importance of clinical awareness and close monitoring of thyroid function in patients receiving immunotherapy.</p>","PeriodicalId":39048,"journal":{"name":"Thyroid Research","volume":"18 1","pages":"35"},"PeriodicalIF":1.8000,"publicationDate":"2025-07-15","publicationTypes":"Journal Article","fieldsOfStudy":null,"isOpenAccess":false,"openAccessPdf":"https://www.ncbi.nlm.nih.gov/pmc/articles/PMC12261766/pdf/","citationCount":"0","resultStr":null,"platform":"Semanticscholar","paperid":null,"PeriodicalName":"Thyroid Research","FirstCategoryId":"1085","ListUrlMain":"https://doi.org/10.1186/s13044-025-00254-7","RegionNum":0,"RegionCategory":null,"ArticlePicture":[],"TitleCN":null,"AbstractTextCN":null,"PMCID":null,"EPubDate":"","PubModel":"","JCR":"Q3","JCRName":"ENDOCRINOLOGY & METABOLISM","Score":null,"Total":0}
引用次数: 0

Abstract

Background: Immune checkpoint inhibitor (ICI) therapy is used in the management of advanced malignancies. Thyroid function abnormalities have been reported, but more evidence is needed to substantiate the subtypes and course of thyroid disease associated with this treatment.

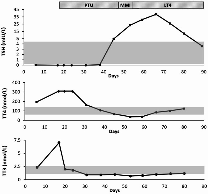
Case presentation: A 51-year-old woman with metastatic pancreatic cancer and no previous history of autoimmune disease was referred to the Endocrine Department six days after the initiation of combined treatment with ipilimumab (anti-CTLA-4) and nivolumab (anti-PD-1). At the initial endocrinologic assessment, the patient had biochemical overt thyrotoxicosis with suppressed thyroid stimulating hormone < 0.01 mIU/L (reference range (RR), 0.3-4.5 mIU/L), elevated total thyroxine (TT4) > 309 nmol/L (> 24.0 µg/dL) (RR, 60-140 nmol/L; 4.7-10.9 µg/dL), and total triiodothyronine (TT3) 7.0 nmol/L (454.5 ng/dL) (RR, 1.1-2.5 nmol/L; 71.4-162.3 ng/dL). Despite marked biochemical thyrotoxicosis, the patient presented with few symptoms. TSH-receptor antibodies (TRAb) were negative, as were thyroid peroxidase antibodies, whereas elevated levels of thyroglobulin antibodies were found. Thyroid ultrasound revealed an enlarged, heterogeneous hypoechoic gland with increased vascularity. High-dose antithyroid drug (ATD) therapy were followed by a decline in thyroid hormone levels (after one week of treatment: TT4: >309 nmol/L (> 24.0 µg/dL); TT3: 1.8 nmol/L (116.9 ng/dL); after two weeks: TT4: 164 nmol/L (12.7 µg/dL); TT3: 0.9 nmol/L (58.4 ng/dL)). After five weeks, the patient developed biochemical hypothyroidism. Thus, ATD therapy was discontinued, and levothyroxine was initiated.

Conclusion: This case report illustrates with a short time frame from the initiation of ICI therapy the onset of thyrotoxicosis, followed by the development of thyroid insufficiency. This case highlights the challenges associated with subtyping the cause of thyroid dysfunction in patients treated with ICIs. Further, this case highlights the importance of clinical awareness and close monitoring of thyroid function in patients receiving immunotherapy.

Abstract Image

联合免疫检查点抑制剂治疗后甲状腺功能障碍亚型疾病实体的挑战:一个病例报告。
背景:免疫检查点抑制剂(ICI)治疗被用于晚期恶性肿瘤的治疗。甲状腺功能异常已被报道,但需要更多的证据来证实与这种治疗相关的甲状腺疾病的亚型和病程。病例介绍:一名51岁女性转移性胰腺癌患者,既往无自身免疫性疾病史,在伊匹单抗(抗ctla -4)和纳武单抗(抗pd -1)联合治疗开始6天后转至内分泌科。在最初的内分泌评估中,患者有明显的生化甲状腺毒症,促甲状腺激素抑制309 nmol/L(> 24.0µg/dL) (RR, 60-140 nmol/L;总三碘甲状腺原氨酸(TT3) 7.0 nmol/L (454.5 ng/dL) (RR为1.1-2.5 nmol/L;71.4 - -162.3毫微克/分升)。尽管有明显的生化甲状腺毒症,但患者几乎没有症状。tsh受体抗体(TRAb)阴性,甲状腺过氧化物酶抗体阴性,而甲状腺球蛋白抗体水平升高。甲状腺超声显示腺体肿大,不均匀,低回声,血管增多。大剂量抗甲状腺药物(ATD)治疗后,甲状腺激素水平下降(治疗一周后:TT4: >: 309nmol /L(>: 24.0µg/dL);TT3: 1.8 nmol/L (116.9 ng/dL);两周后:TT4: 164 nmol/L(12.7µg/dL);TT3: 0.9 nmol/L (58.4 ng/dL))。5周后,患者出现生化性甲状腺功能减退。因此,停止ATD治疗,开始使用左甲状腺素。结论:本病例报告说明了从ICI治疗开始的短时间内出现甲状腺毒症,随后发展为甲状腺功能不全。本病例强调了与胰岛素注射治疗患者甲状腺功能障碍原因分型相关的挑战。此外,本病例强调了临床意识和密切监测接受免疫治疗患者甲状腺功能的重要性。
本文章由计算机程序翻译,如有差异,请以英文原文为准。
求助全文
约1分钟内获得全文 求助全文
来源期刊
Thyroid Research
Thyroid Research Medicine-Endocrinology, Diabetes and Metabolism
CiteScore
3.10
自引率
4.50%
发文量
21
审稿时长
8 weeks
×
引用
GB/T 7714-2015
复制
MLA
复制
APA
复制
导出至
BibTeX EndNote RefMan NoteFirst NoteExpress
×
提示
您的信息不完整,为了账户安全,请先补充。
现在去补充
×
提示
您因"违规操作"
具体请查看互助需知
我知道了
×
提示
确定
请完成安全验证×
copy
已复制链接
快去分享给好友吧!
我知道了
右上角分享
点击右上角分享
0
联系我们:info@booksci.cn Book学术提供免费学术资源搜索服务,方便国内外学者检索中英文文献。致力于提供最便捷和优质的服务体验。 Copyright © 2023 布克学术 All rights reserved.
京ICP备2023020795号-1
ghs 京公网安备 11010802042870号
Book学术文献互助
Book学术文献互助群
群 号:604180095
Book学术官方微信