Epigenetic age and fertility timeline: testing an epigenetic clock to forecast in vitro fertilization success rate.

IF 4.7 2区 医学 Q1 ENDOCRINOLOGY & METABOLISM
Davide Marinello, Marco Reschini, Giorgia Di Stefano, Giorgia Carullo, Maíra Casalechi, Letizia Tarantini, Benedetta Albetti, Valentina Bollati, Paola Viganò, Edgardo Somigliana, Letizia Li Piani
{"title":"Epigenetic age and fertility timeline: testing an epigenetic clock to forecast in vitro fertilization success rate.","authors":"Davide Marinello, Marco Reschini, Giorgia Di Stefano, Giorgia Carullo, Maíra Casalechi, Letizia Tarantini, Benedetta Albetti, Valentina Bollati, Paola Viganò, Edgardo Somigliana, Letizia Li Piani","doi":"10.1186/s12958-025-01429-5","DOIUrl":null,"url":null,"abstract":"<p><strong>Background: </strong>In the field of in vitro fertilization (IVF), the search for reliable success predictors is ongoing, with novel biomarkers gaining increasing attention. Epigenetic clocks, mathematical models based on DNA methylation (DNAm) patterns, have revolutionized aging research by providing insights into biological aging. However, the magnitude of the benefit of the use of a simplified and non-specific epigenetic clock is still insufficient to claim for its clinical use. We investigated the potential role of epigenetic clocks in predicting IVF success.</p><p><strong>Methods: </strong>This prospective observational study involved 379 women of reproductive age who underwent IVF treatment. On the day of recruitment, blood samples were collected, and genomic DNA was isolated from white blood cells. Epigenetic age was calculated using an algorithm based on the methylation patterns of 5 specific CpG sites and derived by pyrosequencing technique (\"Zbieć-Piekarska2\" model). Epigenetic age acceleration (EPA) was estimated from the residuals of a linear model, with epigenetic age regressed on chronological age. We compared the resulting epigenetic age and EPA between women who achieved a live birth and those who did not, alongside traditional ovarian reserve parameters (antral follicular count AFC; anti-müllerian hormone AMH).</p><p><strong>Results: </strong>Among 379 women, 204 (54%) achieved LB. They were younger, had better ovarian reserve markers, retrieved more oocytes and had lower epigenetic age (36 ± 5 vs. 39 ± 5 years, p < 0.001) with moderate predictive power (area under the curve AUC = 0.652). After adjusting for antral follicular count (AFC), epigenetic age remained significantly associated with live birth (adjusted odds ratio OR = 0.91 per year; p < 0.001), suggesting IVF success is more likely in epigenetically younger women, beyond their ovarian reserve. This association was lost in subgroup analysis by infertility cause. In women aged 31-35, epigenetic age and EPA were the best predictors (AUC = 0.637). Combining epigenetic age with ovarian reserve markers slightly improved predictive accuracy (AUC = 0.692 with AFC, 0.693 with AMH) over chronological age alone (AUC = 0.672).</p><p><strong>Conclusions: </strong>Epigenetic clocks may enhance IVF success prediction, particularly in women between 31 and 35. Our findings support the need for further research in this area and emphasize the importance of developing epigenetic models specifically tailored to fertility outcomes.</p>","PeriodicalId":21011,"journal":{"name":"Reproductive Biology and Endocrinology","volume":"23 1","pages":"99"},"PeriodicalIF":4.7000,"publicationDate":"2025-07-14","publicationTypes":"Journal Article","fieldsOfStudy":null,"isOpenAccess":false,"openAccessPdf":"https://www.ncbi.nlm.nih.gov/pmc/articles/PMC12257822/pdf/","citationCount":"0","resultStr":null,"platform":"Semanticscholar","paperid":null,"PeriodicalName":"Reproductive Biology and Endocrinology","FirstCategoryId":"3","ListUrlMain":"https://doi.org/10.1186/s12958-025-01429-5","RegionNum":2,"RegionCategory":"医学","ArticlePicture":[],"TitleCN":null,"AbstractTextCN":null,"PMCID":null,"EPubDate":"","PubModel":"","JCR":"Q1","JCRName":"ENDOCRINOLOGY & METABOLISM","Score":null,"Total":0}
引用次数: 0

Abstract

Background: In the field of in vitro fertilization (IVF), the search for reliable success predictors is ongoing, with novel biomarkers gaining increasing attention. Epigenetic clocks, mathematical models based on DNA methylation (DNAm) patterns, have revolutionized aging research by providing insights into biological aging. However, the magnitude of the benefit of the use of a simplified and non-specific epigenetic clock is still insufficient to claim for its clinical use. We investigated the potential role of epigenetic clocks in predicting IVF success.

Methods: This prospective observational study involved 379 women of reproductive age who underwent IVF treatment. On the day of recruitment, blood samples were collected, and genomic DNA was isolated from white blood cells. Epigenetic age was calculated using an algorithm based on the methylation patterns of 5 specific CpG sites and derived by pyrosequencing technique ("Zbieć-Piekarska2" model). Epigenetic age acceleration (EPA) was estimated from the residuals of a linear model, with epigenetic age regressed on chronological age. We compared the resulting epigenetic age and EPA between women who achieved a live birth and those who did not, alongside traditional ovarian reserve parameters (antral follicular count AFC; anti-müllerian hormone AMH).

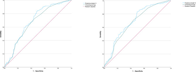
Results: Among 379 women, 204 (54%) achieved LB. They were younger, had better ovarian reserve markers, retrieved more oocytes and had lower epigenetic age (36 ± 5 vs. 39 ± 5 years, p < 0.001) with moderate predictive power (area under the curve AUC = 0.652). After adjusting for antral follicular count (AFC), epigenetic age remained significantly associated with live birth (adjusted odds ratio OR = 0.91 per year; p < 0.001), suggesting IVF success is more likely in epigenetically younger women, beyond their ovarian reserve. This association was lost in subgroup analysis by infertility cause. In women aged 31-35, epigenetic age and EPA were the best predictors (AUC = 0.637). Combining epigenetic age with ovarian reserve markers slightly improved predictive accuracy (AUC = 0.692 with AFC, 0.693 with AMH) over chronological age alone (AUC = 0.672).

Conclusions: Epigenetic clocks may enhance IVF success prediction, particularly in women between 31 and 35. Our findings support the need for further research in this area and emphasize the importance of developing epigenetic models specifically tailored to fertility outcomes.

Abstract Image

Abstract Image

表观遗传年龄和生育时间表:测试表观遗传时钟预测体外受精成功率。
背景:在体外受精(IVF)领域,寻找可靠的成功预测因素正在进行中,新的生物标志物越来越受到关注。表观遗传时钟是基于DNA甲基化(DNAm)模式的数学模型,通过提供对生物衰老的见解,彻底改变了衰老研究。然而,使用简化和非特异性表观遗传时钟的益处的大小仍然不足以要求其临床应用。我们研究了表观遗传时钟在预测试管婴儿成功方面的潜在作用。方法:这项前瞻性观察研究涉及379名接受体外受精治疗的育龄妇女。招募当天,采集血液样本,并从白细胞中分离基因组DNA。表观遗传年龄采用基于5个特定CpG位点甲基化模式的算法计算,并通过焦磷酸测序技术推导(“Zbieć-Piekarska2”模型)。表观遗传年龄加速(EPA)由一个线性模型的残差估计,表观遗传年龄回归到实足年龄。我们比较了活产妇女和未活产妇女的表观遗传年龄和EPA,以及传统的卵巢储备参数(窦卵泡计数AFC;抗勒氏杆菌激素(AMH)。结果:在379名女性中,204名(54%)实现了LB。她们更年轻,卵巢储备标志物更好,获得的卵母细胞更多,表观遗传年龄更低(36±5岁vs. 39±5岁)。结论:表观遗传时钟可增强体外受精成功率预测,特别是31 - 35岁的女性。我们的研究结果支持了在这一领域进一步研究的必要性,并强调了开发专门针对生育结果的表观遗传模型的重要性。
本文章由计算机程序翻译,如有差异,请以英文原文为准。
求助全文
约1分钟内获得全文 求助全文
来源期刊
Reproductive Biology and Endocrinology
Reproductive Biology and Endocrinology 医学-内分泌学与代谢
CiteScore
7.90
自引率
2.30%
发文量
161
审稿时长
4-8 weeks
期刊介绍: Reproductive Biology and Endocrinology publishes and disseminates high-quality results from excellent research in the reproductive sciences. The journal publishes on topics covering gametogenesis, fertilization, early embryonic development, embryo-uterus interaction, reproductive development, pregnancy, uterine biology, endocrinology of reproduction, control of reproduction, reproductive immunology, neuroendocrinology, and veterinary and human reproductive medicine, including all vertebrate species.
×
引用
GB/T 7714-2015
复制
MLA
复制
APA
复制
导出至
BibTeX EndNote RefMan NoteFirst NoteExpress
×
提示
您的信息不完整,为了账户安全,请先补充。
现在去补充
×
提示
您因"违规操作"
具体请查看互助需知
我知道了
×
提示
确定
请完成安全验证×
copy
已复制链接
快去分享给好友吧!
我知道了
右上角分享
点击右上角分享
0
联系我们:info@booksci.cn Book学术提供免费学术资源搜索服务,方便国内外学者检索中英文文献。致力于提供最便捷和优质的服务体验。 Copyright © 2023 布克学术 All rights reserved.
京ICP备2023020795号-1
ghs 京公网安备 11010802042870号
Book学术文献互助
Book学术文献互助群
群 号:604180095
Book学术官方微信