The role of Pan-Immune inflammation value and systemic Immune-Inflammation index as potential biomarkers in predicting infectious complications following retrograde intrarenal surgery.

IF 1.9 3区 医学 Q3 UROLOGY & NEPHROLOGY
Bedreddin Kalyenci, Ferhat Çoban, Hasan Sulhan, Mehmet Özgür Yücel, Can Benlioğlu, Gazi Kaz, Tayfun Şahinkanat, Ali Çift
{"title":"The role of Pan-Immune inflammation value and systemic Immune-Inflammation index as potential biomarkers in predicting infectious complications following retrograde intrarenal surgery.","authors":"Bedreddin Kalyenci, Ferhat Çoban, Hasan Sulhan, Mehmet Özgür Yücel, Can Benlioğlu, Gazi Kaz, Tayfun Şahinkanat, Ali Çift","doi":"10.1186/s12894-025-01859-8","DOIUrl":null,"url":null,"abstract":"<p><strong>Background: </strong>To predict postoperative infectious complications by utilizing hemogram parameters and derived inflammation indices and to analyze patient-related risk factors to propose a nomogram.</p><p><strong>Methods: </strong>The data of patients who underwent retrograde intrarenal surgery were reviewed. The patients were categorized into two groups: those without infectious complications (Group A) and those with infectious complications (Group B). Infectious complications were defined as fever persisting above 38 °C for 48 h and the presence of two or more systemic inflammatory response syndrome (SIRS) criteria. Hemogram parameters and inflammation indices were examined to predict infectious complications. The study utilized neutrophil-to-lymphocyte ratio (NLR), platelet-to-lymphocyte ratio (PLR), and lymphocyte-to-monocyte ratio (LMR), along with the pan-immune-inflammation value (PIV) and systemic immune-inflammation index (SII).</p><p><strong>Results: </strong>The data of 658 cases were evaluated. No infectious complications were observed in 610 cases (92.7%), while 33 cases (5.0%) developed fever, and 15 cases (2.3%) met the criteria for SIRS. The optimal cut-off values for distinguishing between groups were determined as follows: >2.66 for NLR, > 122.5 for PLR, < 2.81 for LMR, > 619.4 for SII, and > 500.2 for PIV. Patients with PIV > 500.2 exhibited a 13.737-fold increase (95% confidence interval [CI]: 7.260-25.994) in infectious complications compared to those with PIV ≤ 500.2, making PIV the strongest predictor. The most significant factors in differentiating between the groups were, in order of importance, Charlson comorbidity index, stone volume, preoperative serum creatinine level, and preoperative double-J stent placement. These factors were analyzed using multivariate logistic regression alongside PIV and SII, and two models were constructed. The predictive power of Model 1 was determined as Cox & Snell R² = 0.269 and Nagelkerke R² = 0.661, while Model 2 had a Cox & Snell R² value of 0.264 and a Nagelkerke R² value of 0.648.</p><p><strong>Conclusion: </strong>PIV and SII, derived from hemogram parameters, serve as predictive inflammatory indices for postoperative infectious complications. They provide valuable preoperative insight into the patient's immune and systemic inflammatory responses. When combined with other risk factors, these indices allow for the prediction of postoperative infectious complications.</p>","PeriodicalId":9285,"journal":{"name":"BMC Urology","volume":"25 1","pages":"168"},"PeriodicalIF":1.9000,"publicationDate":"2025-07-14","publicationTypes":"Journal Article","fieldsOfStudy":null,"isOpenAccess":false,"openAccessPdf":"https://www.ncbi.nlm.nih.gov/pmc/articles/PMC12257762/pdf/","citationCount":"0","resultStr":null,"platform":"Semanticscholar","paperid":null,"PeriodicalName":"BMC Urology","FirstCategoryId":"3","ListUrlMain":"https://doi.org/10.1186/s12894-025-01859-8","RegionNum":3,"RegionCategory":"医学","ArticlePicture":[],"TitleCN":null,"AbstractTextCN":null,"PMCID":null,"EPubDate":"","PubModel":"","JCR":"Q3","JCRName":"UROLOGY & NEPHROLOGY","Score":null,"Total":0}
引用次数: 0

Abstract

Background: To predict postoperative infectious complications by utilizing hemogram parameters and derived inflammation indices and to analyze patient-related risk factors to propose a nomogram.

Methods: The data of patients who underwent retrograde intrarenal surgery were reviewed. The patients were categorized into two groups: those without infectious complications (Group A) and those with infectious complications (Group B). Infectious complications were defined as fever persisting above 38 °C for 48 h and the presence of two or more systemic inflammatory response syndrome (SIRS) criteria. Hemogram parameters and inflammation indices were examined to predict infectious complications. The study utilized neutrophil-to-lymphocyte ratio (NLR), platelet-to-lymphocyte ratio (PLR), and lymphocyte-to-monocyte ratio (LMR), along with the pan-immune-inflammation value (PIV) and systemic immune-inflammation index (SII).

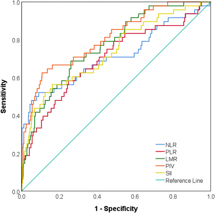
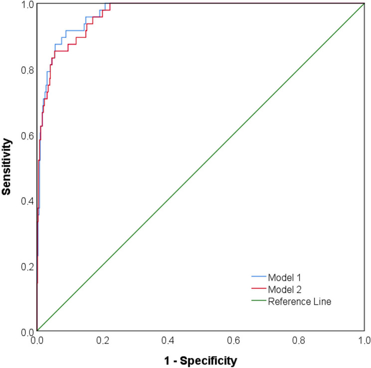
Results: The data of 658 cases were evaluated. No infectious complications were observed in 610 cases (92.7%), while 33 cases (5.0%) developed fever, and 15 cases (2.3%) met the criteria for SIRS. The optimal cut-off values for distinguishing between groups were determined as follows: >2.66 for NLR, > 122.5 for PLR, < 2.81 for LMR, > 619.4 for SII, and > 500.2 for PIV. Patients with PIV > 500.2 exhibited a 13.737-fold increase (95% confidence interval [CI]: 7.260-25.994) in infectious complications compared to those with PIV ≤ 500.2, making PIV the strongest predictor. The most significant factors in differentiating between the groups were, in order of importance, Charlson comorbidity index, stone volume, preoperative serum creatinine level, and preoperative double-J stent placement. These factors were analyzed using multivariate logistic regression alongside PIV and SII, and two models were constructed. The predictive power of Model 1 was determined as Cox & Snell R² = 0.269 and Nagelkerke R² = 0.661, while Model 2 had a Cox & Snell R² value of 0.264 and a Nagelkerke R² value of 0.648.

Conclusion: PIV and SII, derived from hemogram parameters, serve as predictive inflammatory indices for postoperative infectious complications. They provide valuable preoperative insight into the patient's immune and systemic inflammatory responses. When combined with other risk factors, these indices allow for the prediction of postoperative infectious complications.

Abstract Image

Abstract Image

Abstract Image

泛免疫炎症值和全身免疫炎症指数作为预测逆行肾内手术后感染并发症的潜在生物标志物的作用
背景:利用血象参数及衍生炎症指标预测术后感染并发症,分析患者相关危险因素,提出影像学图。方法:回顾性分析行逆行肾内手术的患者资料。将患者分为无感染并发症组(A组)和有感染并发症组(B组)。感染性并发症定义为发热持续38°C以上48小时,并存在两项或两项以上系统性炎症反应综合征(SIRS)标准。检查血象参数和炎症指标以预测感染并发症。研究采用中性粒细胞与淋巴细胞比值(NLR)、血小板与淋巴细胞比值(PLR)、淋巴细胞与单核细胞比值(LMR)以及泛免疫炎症值(PIV)和全身免疫炎症指数(SII)。结果:对658例患者的资料进行了评价。610例(92.7%)未出现感染性并发症,发热33例(5.0%),符合SIRS标准15例(2.3%)。两组间最佳区分临界值分别为:NLR为b>.66, PLR为b>22.5, SII为619.4,PIV为bbbb5002。与PIV≤5002的患者相比,PIV≤5002的患者感染并发症增加13.737倍(95%可信区间[CI]: 7.260-25.994),使PIV成为最强的预测因子。区分两组最重要的因素依次为Charlson合并症指数、结石体积、术前血清肌酐水平、术前双j型支架置入术。采用多变量logistic回归与PIV和SII进行分析,构建了两个模型。模型1的预测能力为Cox & Snell R²= 0.269,Nagelkerke R²= 0.661,模型2的Cox & Snell R²值为0.264,Nagelkerke R²值为0.648。结论:从血象参数得出的PIV和SII可作为预测术后感染并发症的炎症指标。他们提供了宝贵的术前洞察病人的免疫和全身炎症反应。当与其他危险因素结合时,这些指标可用于预测术后感染并发症。
本文章由计算机程序翻译,如有差异,请以英文原文为准。
求助全文
约1分钟内获得全文 求助全文
来源期刊
BMC Urology
BMC Urology UROLOGY & NEPHROLOGY-
CiteScore
3.20
自引率
0.00%
发文量
177
审稿时长
>12 weeks
期刊介绍: BMC Urology is an open access journal publishing original peer-reviewed research articles in all aspects of the prevention, diagnosis and management of urological disorders, as well as related molecular genetics, pathophysiology, and epidemiology. The journal considers manuscripts in the following broad subject-specific sections of urology: Endourology and technology Epidemiology and health outcomes Pediatric urology Pre-clinical and basic research Reconstructive urology Sexual function and fertility Urological imaging Urological oncology Voiding dysfunction Case reports.
×
引用
GB/T 7714-2015
复制
MLA
复制
APA
复制
导出至
BibTeX EndNote RefMan NoteFirst NoteExpress
×
提示
您的信息不完整,为了账户安全,请先补充。
现在去补充
×
提示
您因"违规操作"
具体请查看互助需知
我知道了
×
提示
确定
请完成安全验证×
copy
已复制链接
快去分享给好友吧!
我知道了
右上角分享
点击右上角分享
0
联系我们:info@booksci.cn Book学术提供免费学术资源搜索服务,方便国内外学者检索中英文文献。致力于提供最便捷和优质的服务体验。 Copyright © 2023 布克学术 All rights reserved.
京ICP备2023020795号-1
ghs 京公网安备 11010802042870号
Book学术文献互助
Book学术文献互助群
群 号:604180095
Book学术官方微信