Prevalence and associated factors of waterpipe tobacco smoking in Japan.

IF 1.9 4区 医学 Q2 PUBLIC, ENVIRONMENTAL & OCCUPATIONAL HEALTH
Tobacco Induced Diseases Pub Date : 2025-07-12 eCollection Date: 2025-01-01 DOI:10.18332/tid/205196
Yukari Isaka, Ai Hori, Bibha Dhungel, Takahiro Tabuchi, Kota Katanoda
{"title":"Prevalence and associated factors of waterpipe tobacco smoking in Japan.","authors":"Yukari Isaka, Ai Hori, Bibha Dhungel, Takahiro Tabuchi, Kota Katanoda","doi":"10.18332/tid/205196","DOIUrl":null,"url":null,"abstract":"<p><strong>Introduction: </strong>Despite the global increase in waterpipe tobacco use (hookah tobacco, shisha), its prevalence and characteristics are understudied in Japan. We aimed to investigate the prevalence and associated factors of waterpipe tobacco use in the Japanese population.</p><p><strong>Methods: </strong>Data were obtained from the Japan 'Society and New Tobacco' Internet Survey, conducted in February 2023. Of the 34000 surveyed participants, a total of 31037 respondents (91.3%) aged 15-82 years were included. Current waterpipe tobacco smokers were defined as those reporting use 'occasionally' or 'almost every day' in the past 30 days. Inverse probability weighting was used to calculate waterpipe tobacco use, which approximated the Japanese national population. Logistic regression analyses were conducted to estimate the effect of waterpipe tobacco use, adjusted for sociodemographic variables.</p><p><strong>Results: </strong>The prevalence of current and former waterpipe tobacco use in Japan was 1.4% and 3.9%, respectively, both with higher prevalence among men. Use was notably higher among individuals in their 20s, with prevalence rates of 4.4% among those aged 20-29 years. Waterpipe tobacco use among current tobacco product users was 2.5% for cigarette users, 4.7% for heated tobacco product users, and 32.5% for electronic cigarette users. Waterpipe tobacco use was more strongly associated with current e-cigarette (AOR=4.06; 95 % CI: 2.7-6.0) and heated tobacco product (HTP) use (AOR=2.44; 95 % CI: 1.9-3.2), while individuals with former combustible tobacco (AOR=3.12; 95 % CI: 2.4-4.1) or cannabis use (AOR=14.8; 95 % CI: 9.5-23.2) reported higher prevalence of current waterpipe use.</p><p><strong>Conclusions: </strong>We found a high prevalence of waterpipe tobacco smoking among young adults and other tobacco product users in Japan. Public health initiatives should focus on educating the population about the risks associated with waterpipe tobacco use and developing policies to regulate its availability and marketing.</p>","PeriodicalId":23202,"journal":{"name":"Tobacco Induced Diseases","volume":"23 ","pages":""},"PeriodicalIF":1.9000,"publicationDate":"2025-07-12","publicationTypes":"Journal Article","fieldsOfStudy":null,"isOpenAccess":false,"openAccessPdf":"https://www.ncbi.nlm.nih.gov/pmc/articles/PMC12254910/pdf/","citationCount":"0","resultStr":null,"platform":"Semanticscholar","paperid":null,"PeriodicalName":"Tobacco Induced Diseases","FirstCategoryId":"3","ListUrlMain":"https://doi.org/10.18332/tid/205196","RegionNum":4,"RegionCategory":"医学","ArticlePicture":[],"TitleCN":null,"AbstractTextCN":null,"PMCID":null,"EPubDate":"2025/1/1 0:00:00","PubModel":"eCollection","JCR":"Q2","JCRName":"PUBLIC, ENVIRONMENTAL & OCCUPATIONAL HEALTH","Score":null,"Total":0}
引用次数: 0

Abstract

Introduction: Despite the global increase in waterpipe tobacco use (hookah tobacco, shisha), its prevalence and characteristics are understudied in Japan. We aimed to investigate the prevalence and associated factors of waterpipe tobacco use in the Japanese population.

Methods: Data were obtained from the Japan 'Society and New Tobacco' Internet Survey, conducted in February 2023. Of the 34000 surveyed participants, a total of 31037 respondents (91.3%) aged 15-82 years were included. Current waterpipe tobacco smokers were defined as those reporting use 'occasionally' or 'almost every day' in the past 30 days. Inverse probability weighting was used to calculate waterpipe tobacco use, which approximated the Japanese national population. Logistic regression analyses were conducted to estimate the effect of waterpipe tobacco use, adjusted for sociodemographic variables.

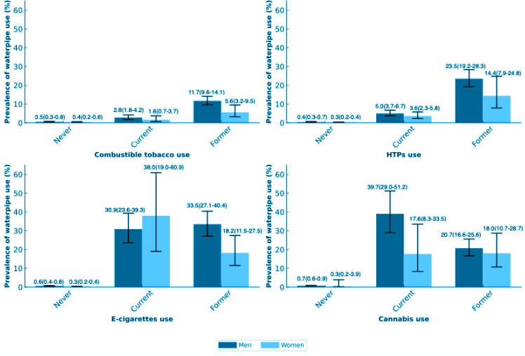
Results: The prevalence of current and former waterpipe tobacco use in Japan was 1.4% and 3.9%, respectively, both with higher prevalence among men. Use was notably higher among individuals in their 20s, with prevalence rates of 4.4% among those aged 20-29 years. Waterpipe tobacco use among current tobacco product users was 2.5% for cigarette users, 4.7% for heated tobacco product users, and 32.5% for electronic cigarette users. Waterpipe tobacco use was more strongly associated with current e-cigarette (AOR=4.06; 95 % CI: 2.7-6.0) and heated tobacco product (HTP) use (AOR=2.44; 95 % CI: 1.9-3.2), while individuals with former combustible tobacco (AOR=3.12; 95 % CI: 2.4-4.1) or cannabis use (AOR=14.8; 95 % CI: 9.5-23.2) reported higher prevalence of current waterpipe use.

Conclusions: We found a high prevalence of waterpipe tobacco smoking among young adults and other tobacco product users in Japan. Public health initiatives should focus on educating the population about the risks associated with waterpipe tobacco use and developing policies to regulate its availability and marketing.

Abstract Image

日本水烟吸烟的流行及相关因素。
导言:尽管全球水烟(水烟、水烟)的使用在增加,但其流行程度和特点在日本还没有得到充分的研究。我们的目的是调查日本人群中水烟使用的患病率和相关因素。方法:数据来源于日本“社会与新烟草”网络调查,于2023年2月进行。在34000名调查参与者中,年龄在15-82岁之间的受访者共有31037人(91.3%)。目前的水烟吸烟者被定义为在过去30天内“偶尔”或“几乎每天”使用水烟的人。采用逆概率加权法计算水烟的使用,其近似于日本全国人口。采用Logistic回归分析来估计水烟使用的影响,并根据社会人口变量进行调整。结果:日本目前和以前使用水烟的流行率分别为1.4%和3.9%,男性的流行率都较高。20多岁人群的使用率明显较高,20-29岁人群的患病率为4.4%。在目前的烟草制品使用者中,卷烟使用者使用水烟的比例为2.5%,加热烟草制品使用者为4.7%,电子烟使用者为32.5%。水烟烟草使用与当前使用电子烟的相关性更强(AOR=4.06;95% CI: 2.7-6.0)和加热烟草制品(HTP)使用(AOR=2.44;95% CI: 1.9-3.2),而前可燃烟草个体(AOR=3.12;95% CI: 2.4-4.1)或大麻使用(AOR=14.8;95% CI: 9.5-23.2)报告了目前使用水管的较高患病率。结论:我们发现日本年轻人和其他烟草制品使用者中水烟吸烟的流行率很高。公共卫生举措应侧重于教育民众了解与使用水烟有关的风险,并制定政策来管制水烟的供应和销售。
本文章由计算机程序翻译,如有差异,请以英文原文为准。
求助全文
约1分钟内获得全文 求助全文
来源期刊
Tobacco Induced Diseases
Tobacco Induced Diseases SUBSTANCE ABUSE-PUBLIC, ENVIRONMENTAL & OCCUPATIONAL HEALTH
CiteScore
5.30
自引率
5.40%
发文量
95
审稿时长
12 weeks
期刊介绍: Tobacco Induced Diseases encompasses all aspects of research related to the prevention and control of tobacco use at a global level. Preventing diseases attributable to tobacco is only one aspect of the journal, whose overall scope is to provide a forum for the publication of research articles that can contribute to reducing the burden of tobacco induced diseases globally. To address this epidemic we believe that there must be an avenue for the publication of research/policy activities on tobacco control initiatives that may be very important at a regional and national level. This approach provides a very important "hands on" service to the tobacco control community at a global scale - as common problems have common solutions. Hence, we see ourselves as "connectors" within this global community. The journal hence encourages the submission of articles from all medical, biological and psychosocial disciplines, ranging from medical and dental clinicians, through health professionals to basic biomedical and clinical scientists.
×
引用
GB/T 7714-2015
复制
MLA
复制
APA
复制
导出至
BibTeX EndNote RefMan NoteFirst NoteExpress
×
提示
您的信息不完整,为了账户安全,请先补充。
现在去补充
×
提示
您因"违规操作"
具体请查看互助需知
我知道了
×
提示
确定
请完成安全验证×
copy
已复制链接
快去分享给好友吧!
我知道了
右上角分享
点击右上角分享
0
联系我们:info@booksci.cn Book学术提供免费学术资源搜索服务,方便国内外学者检索中英文文献。致力于提供最便捷和优质的服务体验。 Copyright © 2023 布克学术 All rights reserved.
京ICP备2023020795号-1
ghs 京公网安备 11010802042870号
Book学术文献互助
Book学术文献互助群
群 号:604180095
Book学术官方微信