Plasma circulating microRNAs and symptoms of depression: Results from a population-based study.

IF 6.2 3区 医学 Q1 CLINICAL NEUROLOGY
Psychiatry and Clinical Neurosciences Pub Date : 2025-10-01 Epub Date: 2025-07-14 DOI:10.1111/pcn.13869
Midas M Kuilman, Tim Finke, M Arfan Ikram, Annemarie I Luik, Alexander Neumann, Charlotte A M Cecil, Mohsen Ghanbari
{"title":"Plasma circulating microRNAs and symptoms of depression: Results from a population-based study.","authors":"Midas M Kuilman, Tim Finke, M Arfan Ikram, Annemarie I Luik, Alexander Neumann, Charlotte A M Cecil, Mohsen Ghanbari","doi":"10.1111/pcn.13869","DOIUrl":null,"url":null,"abstract":"<p><strong>Background: </strong>Depression is a complex mental disorder with a multifactorial etiology. Recent research has highlighted the potential of microRNAs (miRNAs) as novel biomarkers and their involvement in the molecular pathways underlying depression; yet, these studies often focus on limited clinical samples and specific subsets of miRNAs. Here we aimed to explore plasma miRNA expression profiles associated with depressive symptoms in a population-based study of middle-aged and older adults.</p><p><strong>Methods: </strong>We analyzed the levels of 591 circulating miRNAs well-expressed in plasma samples of 2,703 participants of the Rotterdam Study. The Center for Epidemiologic Studies Depression Scale was used to assess depressive symptoms in these participants. Negative-binomial regression models were employed to explore the relationship between individual miRNA levels and depressive symptoms, adjusting for potential confounders including age, sex, BMI, and other factors.</p><p><strong>Results: </strong>Our analysis suggests 38 circulating miRNAs to be potentially associated with depressive symptoms (P < 0.05). Although these miRNAs did not survive multiple testing correction, our subsequent in silico analysis of their target genes suggests involvement in neural and psychiatric pathways, as well as enrichment for associations with depressive symptoms based on previous genome-wide association studies.</p><p><strong>Conclusions: </strong>This study proposes several circulating miRNAs that may be associated with depressive symptoms within the general population. Our follow-up analyses indicate that the miRNAs with the largest effect estimates were potentially involved in neurological and psychiatric processes, warranting further investigation into their potential role in the biological mechanisms of depression. These results provide preliminary insights and should be considered exploratory and hypothesis-generating, warranting validation in future studies with larger and independent cohorts.</p>","PeriodicalId":20938,"journal":{"name":"Psychiatry and Clinical Neurosciences","volume":" ","pages":"636-644"},"PeriodicalIF":6.2000,"publicationDate":"2025-10-01","publicationTypes":"Journal Article","fieldsOfStudy":null,"isOpenAccess":false,"openAccessPdf":"https://www.ncbi.nlm.nih.gov/pmc/articles/PMC12498121/pdf/","citationCount":"0","resultStr":null,"platform":"Semanticscholar","paperid":null,"PeriodicalName":"Psychiatry and Clinical Neurosciences","FirstCategoryId":"3","ListUrlMain":"https://doi.org/10.1111/pcn.13869","RegionNum":3,"RegionCategory":"医学","ArticlePicture":[],"TitleCN":null,"AbstractTextCN":null,"PMCID":null,"EPubDate":"2025/7/14 0:00:00","PubModel":"Epub","JCR":"Q1","JCRName":"CLINICAL NEUROLOGY","Score":null,"Total":0}
引用次数: 0

Abstract

Background: Depression is a complex mental disorder with a multifactorial etiology. Recent research has highlighted the potential of microRNAs (miRNAs) as novel biomarkers and their involvement in the molecular pathways underlying depression; yet, these studies often focus on limited clinical samples and specific subsets of miRNAs. Here we aimed to explore plasma miRNA expression profiles associated with depressive symptoms in a population-based study of middle-aged and older adults.

Methods: We analyzed the levels of 591 circulating miRNAs well-expressed in plasma samples of 2,703 participants of the Rotterdam Study. The Center for Epidemiologic Studies Depression Scale was used to assess depressive symptoms in these participants. Negative-binomial regression models were employed to explore the relationship between individual miRNA levels and depressive symptoms, adjusting for potential confounders including age, sex, BMI, and other factors.

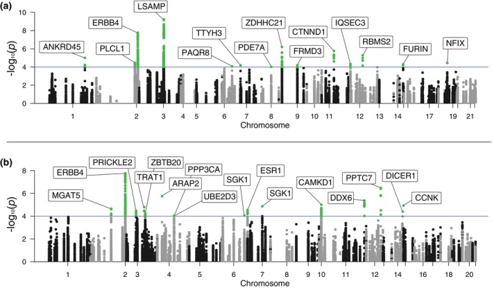
Results: Our analysis suggests 38 circulating miRNAs to be potentially associated with depressive symptoms (P < 0.05). Although these miRNAs did not survive multiple testing correction, our subsequent in silico analysis of their target genes suggests involvement in neural and psychiatric pathways, as well as enrichment for associations with depressive symptoms based on previous genome-wide association studies.

Conclusions: This study proposes several circulating miRNAs that may be associated with depressive symptoms within the general population. Our follow-up analyses indicate that the miRNAs with the largest effect estimates were potentially involved in neurological and psychiatric processes, warranting further investigation into their potential role in the biological mechanisms of depression. These results provide preliminary insights and should be considered exploratory and hypothesis-generating, warranting validation in future studies with larger and independent cohorts.

Abstract Image

Abstract Image

Abstract Image

血浆循环microrna与抑郁症状:一项基于人群的研究结果
背景:抑郁症是一种复杂的精神障碍,具有多因素的病因。最近的研究强调了microRNAs (miRNAs)作为新型生物标志物的潜力,以及它们参与抑郁症的分子途径;然而,这些研究往往集中在有限的临床样本和特定的mirna亚群上。在这项以人群为基础的研究中,我们旨在探讨血浆miRNA表达谱与中老年成年人抑郁症状的关系。方法:我们分析了2,703名鹿特丹研究参与者血浆样本中表达良好的591种循环mirna的水平。使用流行病学研究中心抑郁量表来评估这些参与者的抑郁症状。采用负二项回归模型探讨个体miRNA水平与抑郁症状之间的关系,调整潜在混杂因素,包括年龄、性别、BMI和其他因素。结果:我们的分析表明,38种循环miRNAs可能与抑郁症状相关(P结论:本研究提出了几种可能与普通人群抑郁症状相关的循环miRNAs。我们的后续分析表明,影响最大的mirna可能与神经和精神过程有关,因此有必要进一步研究它们在抑郁症生物学机制中的潜在作用。这些结果提供了初步的见解,应该被认为是探索性的和假设的产生,保证在未来的研究中更大的和独立的队列验证。
本文章由计算机程序翻译,如有差异,请以英文原文为准。
求助全文
约1分钟内获得全文 求助全文
来源期刊
CiteScore
7.40
自引率
4.20%
发文量
181
审稿时长
6-12 weeks
期刊介绍: PCN (Psychiatry and Clinical Neurosciences) Publication Frequency: Published 12 online issues a year by JSPN Content Categories: Review Articles Regular Articles Letters to the Editor Peer Review Process: All manuscripts undergo peer review by anonymous reviewers, an Editorial Board Member, and the Editor Publication Criteria: Manuscripts are accepted based on quality, originality, and significance to the readership Authors must confirm that the manuscript has not been published or submitted elsewhere and has been approved by each author
×
引用
GB/T 7714-2015
复制
MLA
复制
APA
复制
导出至
BibTeX EndNote RefMan NoteFirst NoteExpress
×
提示
您的信息不完整,为了账户安全,请先补充。
现在去补充
×
提示
您因"违规操作"
具体请查看互助需知
我知道了
×
提示
确定
请完成安全验证×
copy
已复制链接
快去分享给好友吧!
我知道了
右上角分享
点击右上角分享
0
联系我们:info@booksci.cn Book学术提供免费学术资源搜索服务,方便国内外学者检索中英文文献。致力于提供最便捷和优质的服务体验。 Copyright © 2023 布克学术 All rights reserved.
京ICP备2023020795号-1
ghs 京公网安备 11010802042870号
Book学术文献互助
Book学术文献互助群
群 号:604180095
Book学术官方微信