A Potential Predictor of Proximal Flow-Diverter Stent Jailed Artery Stenosis: Distal to Proximal Artery Diameter Ratio.

IF 3.2 3区 医学 Q1 MEDICINE, GENERAL & INTERNAL
International Journal of Medical Sciences Pub Date : 2025-06-20 eCollection Date: 2025-01-01 DOI:10.7150/ijms.115452
Yudi Tang, Peike Chen, Jian Lv, Haining Wei, Xiaoyan Wang, Junqiang Feng, Yuhua Jiang, Peng Liu, Youxiang Li, Yunna Yang
{"title":"A Potential Predictor of Proximal Flow-Diverter Stent Jailed Artery Stenosis: Distal to Proximal Artery Diameter Ratio.","authors":"Yudi Tang, Peike Chen, Jian Lv, Haining Wei, Xiaoyan Wang, Junqiang Feng, Yuhua Jiang, Peng Liu, Youxiang Li, Yunna Yang","doi":"10.7150/ijms.115452","DOIUrl":null,"url":null,"abstract":"<p><strong>Background: </strong>Flow-diverting stents (FDS) are widely used in the treatment of intracranial aneurysms. During treatment, many side branches-especially small ones-are inevitably covered, leading to narrowing and impaired blood flow. However, the factors contributing to stenosis have not been thoroughly studied.</p><p><strong>Methods: </strong>A retrospective cross-sectional study was conducted. Digital subtraction angiography (DSA) images and clinical data were collected. Two neuroradiologists independently assessed arterial geometry characteristics. Participants were divided into a narrow group and unchanged group based on preoperative and follow-up data, and the characteristics of the two groups were compared. A simplified model was established to evaluate changes in wall shear stress (WSS) before and after FDS implantation.</p><p><strong>Results: </strong>The distal small branch diameter in the unchanged group was significantly smaller than that in the narrow group. The ratio of distal to proximal diameters of the ophthalmic artery (DPOA) in the narrow group was concentrated between 0.9 and 1.1. WSS in the proximal ophthalmic artery region (POAR) increased with larger distal ophthalmic artery diameters, both pre- and post-operatively. The difference between preoperative and postoperative WSS also increased with higher DPOA. <b>Conclusions:</b> After FDS implantation, the WSS of most jailed ophthalmic arteries in POAR decreased. However, in cases with proximal stenosis, the DPOA of these jailed ophthalmic arteries was primarily concentrated between 0.9 and 1.1. This pattern may occur because WSS decreased from high level to low level.</p>","PeriodicalId":14031,"journal":{"name":"International Journal of Medical Sciences","volume":"22 12","pages":"3044-3052"},"PeriodicalIF":3.2000,"publicationDate":"2025-06-20","publicationTypes":"Journal Article","fieldsOfStudy":null,"isOpenAccess":false,"openAccessPdf":"https://www.ncbi.nlm.nih.gov/pmc/articles/PMC12244041/pdf/","citationCount":"0","resultStr":null,"platform":"Semanticscholar","paperid":null,"PeriodicalName":"International Journal of Medical Sciences","FirstCategoryId":"3","ListUrlMain":"https://doi.org/10.7150/ijms.115452","RegionNum":3,"RegionCategory":"医学","ArticlePicture":[],"TitleCN":null,"AbstractTextCN":null,"PMCID":null,"EPubDate":"2025/1/1 0:00:00","PubModel":"eCollection","JCR":"Q1","JCRName":"MEDICINE, GENERAL & INTERNAL","Score":null,"Total":0}
引用次数: 0

Abstract

Background: Flow-diverting stents (FDS) are widely used in the treatment of intracranial aneurysms. During treatment, many side branches-especially small ones-are inevitably covered, leading to narrowing and impaired blood flow. However, the factors contributing to stenosis have not been thoroughly studied.

Methods: A retrospective cross-sectional study was conducted. Digital subtraction angiography (DSA) images and clinical data were collected. Two neuroradiologists independently assessed arterial geometry characteristics. Participants were divided into a narrow group and unchanged group based on preoperative and follow-up data, and the characteristics of the two groups were compared. A simplified model was established to evaluate changes in wall shear stress (WSS) before and after FDS implantation.

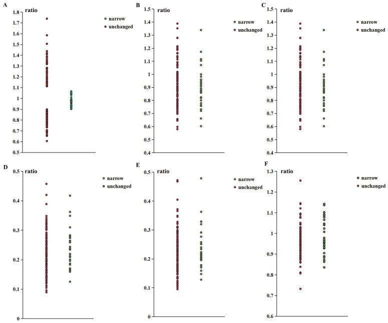
Results: The distal small branch diameter in the unchanged group was significantly smaller than that in the narrow group. The ratio of distal to proximal diameters of the ophthalmic artery (DPOA) in the narrow group was concentrated between 0.9 and 1.1. WSS in the proximal ophthalmic artery region (POAR) increased with larger distal ophthalmic artery diameters, both pre- and post-operatively. The difference between preoperative and postoperative WSS also increased with higher DPOA. Conclusions: After FDS implantation, the WSS of most jailed ophthalmic arteries in POAR decreased. However, in cases with proximal stenosis, the DPOA of these jailed ophthalmic arteries was primarily concentrated between 0.9 and 1.1. This pattern may occur because WSS decreased from high level to low level.

Abstract Image

Abstract Image

Abstract Image

近端血流分流支架监禁动脉狭窄的潜在预测因素:远端与近端动脉直径比。
背景:血流分流支架(FDS)广泛应用于颅内动脉瘤的治疗。在治疗过程中,许多侧分支——尤其是小分支——不可避免地被覆盖,导致狭窄和血流受损。然而,导致狭窄的因素尚未得到充分研究。方法:采用回顾性横断面研究。收集数字减影血管造影(DSA)图像及临床资料。两名神经放射学家独立评估动脉几何特征。根据术前和随访资料将患者分为窄组和不变组,比较两组患者的特点。建立了一个简化模型来评估FDS植入前后壁面剪切应力(WSS)的变化。结果:不变组远端小支直径明显小于窄支组。窄眼组眼动脉远端直径与近端直径之比(DPOA)集中在0.9 ~ 1.1之间。术前和术后,眼近端动脉区(POAR) WSS随眼远端动脉直径增大而增加。术前和术后WSS的差异也随着DPOA的增加而增加。结论:FDS植入术后,POAR中大多数囚禁眼动脉的WSS降低。然而,在近端狭窄的病例中,这些囚禁的眼动脉的DPOA主要集中在0.9 - 1.1之间。这种模式可能是因为WSS从高水平下降到低水平。
本文章由计算机程序翻译,如有差异,请以英文原文为准。
求助全文
约1分钟内获得全文 求助全文
来源期刊
International Journal of Medical Sciences
International Journal of Medical Sciences MEDICINE, GENERAL & INTERNAL-
CiteScore
7.20
自引率
0.00%
发文量
185
审稿时长
2.7 months
期刊介绍: Original research papers, reviews, and short research communications in any medical related area can be submitted to the Journal on the understanding that the work has not been published previously in whole or part and is not under consideration for publication elsewhere. Manuscripts in basic science and clinical medicine are both considered. There is no restriction on the length of research papers and reviews, although authors are encouraged to be concise. Short research communication is limited to be under 2500 words.
×
引用
GB/T 7714-2015
复制
MLA
复制
APA
复制
导出至
BibTeX EndNote RefMan NoteFirst NoteExpress
×
提示
您的信息不完整,为了账户安全,请先补充。
现在去补充
×
提示
您因"违规操作"
具体请查看互助需知
我知道了
×
提示
确定
请完成安全验证×
copy
已复制链接
快去分享给好友吧!
我知道了
右上角分享
点击右上角分享
0
联系我们:info@booksci.cn Book学术提供免费学术资源搜索服务,方便国内外学者检索中英文文献。致力于提供最便捷和优质的服务体验。 Copyright © 2023 布克学术 All rights reserved.
京ICP备2023020795号-1
ghs 京公网安备 11010802042870号
Book学术文献互助
Book学术文献互助群
群 号:604180095
Book学术官方微信