Disorder-induced universality and scaling in hole-doped iron-based superconductors.

IF 9.6 Q1 MATERIALS SCIENCE, MULTIDISCIPLINARY
Communications Materials Pub Date : 2025-01-01 Epub Date: 2025-07-10 DOI:10.1038/s43246-025-00843-x
Omar Chmaissem, Ryan Stadel, Keith M Taddei, Daniel Bugaris, Dmitry D Khalyavin, Pascal Manuel, Duck Young Chung, Mercouri G Kanatzidis, Raymond Osborn, Stephan Rosenkranz
{"title":"Disorder-induced universality and scaling in hole-doped iron-based superconductors.","authors":"Omar Chmaissem, Ryan Stadel, Keith M Taddei, Daniel Bugaris, Dmitry D Khalyavin, Pascal Manuel, Duck Young Chung, Mercouri G Kanatzidis, Raymond Osborn, Stephan Rosenkranz","doi":"10.1038/s43246-025-00843-x","DOIUrl":null,"url":null,"abstract":"<p><p>Iron-based superconductors exhibit various magnetic and electronic phases that are highly sensitive to structural and chemical modifications. Elucidating the origins of these phases remains a central challenge. Here, using neutron and x-ray diffraction, we uncover a universal phase diagram that identifies disorder as a hidden tuning parameter governing these phase transitions. By analyzing nine hole-doped phase diagrams, we observe the emergence of a double-Q tetragonal magnetic phase in proximity to ideal FeAs<sub>4</sub> tetrahedral configurations, thereby demonstrating a strong link between bond-angle stabilization and magnetic transitions. Beyond stabilizing the double-Q phase, atomic disorder also influences charge doping and magnetic anisotropy. We further observe similar scaling behavior of the transition temperatures of the double-Q and the more prevalent orthorhombic single-Q magnetic phases, evidencing a unified origin of structural and magnetic properties linked to itinerant nesting instability. Our findings establish a comprehensive basis for understanding how chemical disorder, charge doping, and structural features collectively shape the magnetic and superconducting properties of iron-based superconductors.</p>","PeriodicalId":10589,"journal":{"name":"Communications Materials","volume":"6 1","pages":"146"},"PeriodicalIF":9.6000,"publicationDate":"2025-01-01","publicationTypes":"Journal Article","fieldsOfStudy":null,"isOpenAccess":false,"openAccessPdf":"https://www.ncbi.nlm.nih.gov/pmc/articles/PMC12245714/pdf/","citationCount":"0","resultStr":null,"platform":"Semanticscholar","paperid":null,"PeriodicalName":"Communications Materials","FirstCategoryId":"1085","ListUrlMain":"https://doi.org/10.1038/s43246-025-00843-x","RegionNum":0,"RegionCategory":null,"ArticlePicture":[],"TitleCN":null,"AbstractTextCN":null,"PMCID":null,"EPubDate":"2025/7/10 0:00:00","PubModel":"Epub","JCR":"Q1","JCRName":"MATERIALS SCIENCE, MULTIDISCIPLINARY","Score":null,"Total":0}
引用次数: 0

Abstract

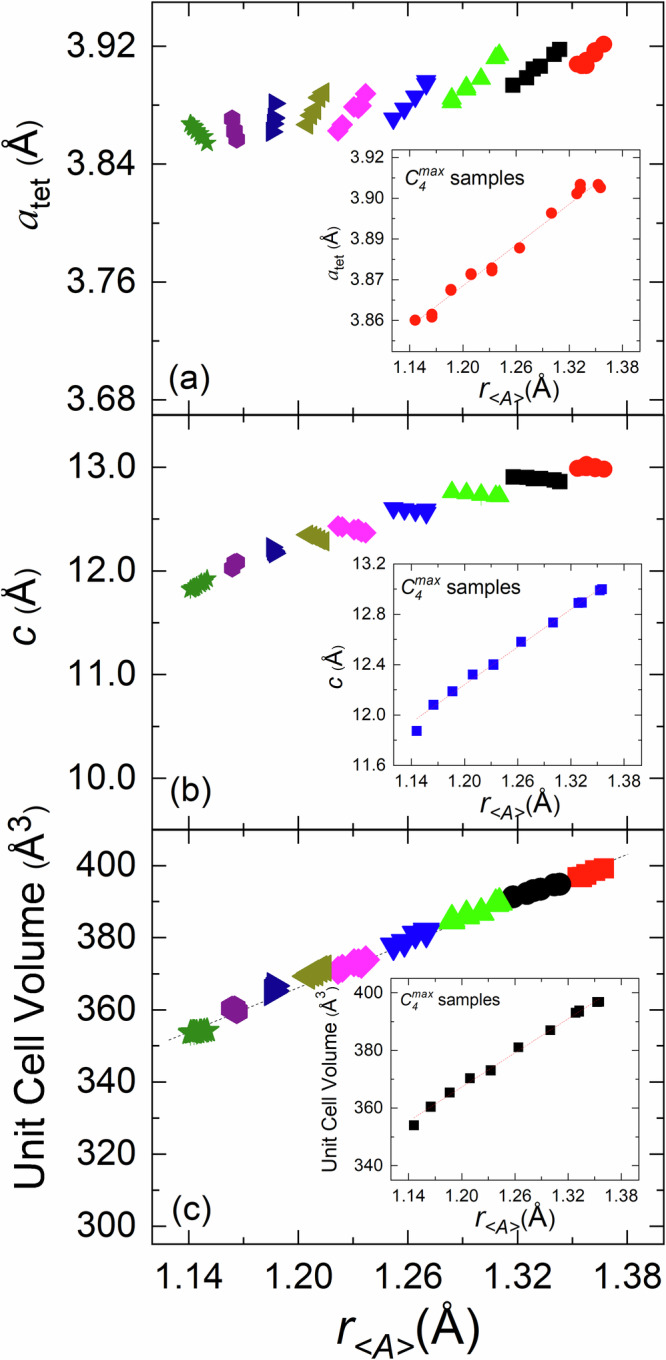
Iron-based superconductors exhibit various magnetic and electronic phases that are highly sensitive to structural and chemical modifications. Elucidating the origins of these phases remains a central challenge. Here, using neutron and x-ray diffraction, we uncover a universal phase diagram that identifies disorder as a hidden tuning parameter governing these phase transitions. By analyzing nine hole-doped phase diagrams, we observe the emergence of a double-Q tetragonal magnetic phase in proximity to ideal FeAs4 tetrahedral configurations, thereby demonstrating a strong link between bond-angle stabilization and magnetic transitions. Beyond stabilizing the double-Q phase, atomic disorder also influences charge doping and magnetic anisotropy. We further observe similar scaling behavior of the transition temperatures of the double-Q and the more prevalent orthorhombic single-Q magnetic phases, evidencing a unified origin of structural and magnetic properties linked to itinerant nesting instability. Our findings establish a comprehensive basis for understanding how chemical disorder, charge doping, and structural features collectively shape the magnetic and superconducting properties of iron-based superconductors.

Abstract Image

Abstract Image

Abstract Image

空穴掺杂铁基超导体的无序诱导普适性和标度。
铁基超导体表现出对结构和化学修饰高度敏感的各种磁相和电子相。阐明这些阶段的起源仍然是一个核心挑战。在这里,使用中子和x射线衍射,我们发现了一个通用相图,将无序识别为控制这些相变的隐藏调谐参数。通过分析9个空穴掺杂相图,我们观察到在理想的FeAs4四面体结构附近出现了双q四面体磁相,从而证明了键角稳定与磁跃迁之间的紧密联系。除了稳定双q相外,原子无序性还影响电荷掺杂和磁各向异性。我们进一步观察到双q相和更普遍的正交单q相的转变温度相似的标度行为,证明了与流动嵌套不稳定性相关的结构和磁性能的统一起源。我们的发现为理解化学无序、电荷掺杂和结构特征如何共同塑造铁基超导体的磁性和超导性奠定了全面的基础。
本文章由计算机程序翻译,如有差异,请以英文原文为准。
求助全文
约1分钟内获得全文 求助全文
来源期刊
Communications Materials
Communications Materials MATERIALS SCIENCE, MULTIDISCIPLINARY-
CiteScore
12.10
自引率
1.30%
发文量
85
审稿时长
17 weeks
期刊介绍: Communications Materials, a selective open access journal within Nature Portfolio, is dedicated to publishing top-tier research, reviews, and commentary across all facets of materials science. The journal showcases significant advancements in specialized research areas, encompassing both fundamental and applied studies. Serving as an open access option for materials sciences, Communications Materials applies less stringent criteria for impact and significance compared to Nature-branded journals, including Nature Communications.
×
引用
GB/T 7714-2015
复制
MLA
复制
APA
复制
导出至
BibTeX EndNote RefMan NoteFirst NoteExpress
×
提示
您的信息不完整,为了账户安全,请先补充。
现在去补充
×
提示
您因"违规操作"
具体请查看互助需知
我知道了
×
提示
确定
请完成安全验证×
copy
已复制链接
快去分享给好友吧!
我知道了
右上角分享
点击右上角分享
0
联系我们:info@booksci.cn Book学术提供免费学术资源搜索服务,方便国内外学者检索中英文文献。致力于提供最便捷和优质的服务体验。 Copyright © 2023 布克学术 All rights reserved.
京ICP备2023020795号-1
ghs 京公网安备 11010802042870号
Book学术文献互助
Book学术文献互助群
群 号:604180095
Book学术官方微信