Impact of sanitation system types on residential and environmental presence of human waste and parasites in Alabama.

IF 5.5 1区 医学
Brandon Hunter, Catherine Coleman Flowers, Rojelio Mejia, Marc Arnold Deshusses
{"title":"Impact of sanitation system types on residential and environmental presence of human waste and parasites in Alabama.","authors":"Brandon Hunter, Catherine Coleman Flowers, Rojelio Mejia, Marc Arnold Deshusses","doi":"10.1186/s40249-025-01334-4","DOIUrl":null,"url":null,"abstract":"<p><p>Lowndes County is a predominantly Black rural county in Alabama, in the United States, which has a historical and current legacy of racial discrimination, creating inequitable infrastructure access and adverse health impacts. Over 80% rely on on-site sanitation infrastructure and most are failing. A community assessment of exposure to untreated sewage was conducted using samples from residential drinking water, surface swabs, and soil combined with environmental water and soil samples using culture-based and quantitative polymerase chain reaction (qPCR) methods. Testing varied slightly across samples, due to difficulty of access or availability. Of 43 households, 68% and 55% of houses had detectable presence of human fecal matter indicator in their soils and on their doorsteps, respectively, and 0% had detectable amounts of culturable Escherichia coli in their drinking water. Of 40 houses sampled, 88% tested positive for E. coli in soil samples. Of 39 residences, 31% had positive presence of environmental and zoonotic parasites in soil, but none for Necator americanus, Cryptosporidium species, or Giardia intestinalis. Of the 18 sampled environmental surface waters, 100% tested positive for culturable E. coli, 50% had detectable human fecal matter indicator present, and 27% tested positive for anthropogenic parasites. This work sheds light that there is presence of culturable E. coli, human fecal matter, and anthropogenic parasites in residential soil samples of all sanitation types (municipal, septic tank, and straight piping) and in environmental surface waters throughout the sampled areas. Our findings support the narrative that sanitation infrastructure of all types in Lowndes County, Alabama are compromised and highlights residential and environmental exposure to raw wastewater.</p>","PeriodicalId":48820,"journal":{"name":"Infectious Diseases of Poverty","volume":"14 1","pages":"65"},"PeriodicalIF":5.5000,"publicationDate":"2025-07-11","publicationTypes":"Journal Article","fieldsOfStudy":null,"isOpenAccess":false,"openAccessPdf":"https://www.ncbi.nlm.nih.gov/pmc/articles/PMC12247418/pdf/","citationCount":"0","resultStr":null,"platform":"Semanticscholar","paperid":null,"PeriodicalName":"Infectious Diseases of Poverty","FirstCategoryId":"3","ListUrlMain":"https://doi.org/10.1186/s40249-025-01334-4","RegionNum":1,"RegionCategory":"医学","ArticlePicture":[],"TitleCN":null,"AbstractTextCN":null,"PMCID":null,"EPubDate":"","PubModel":"","JCR":"","JCRName":"","Score":null,"Total":0}
引用次数: 0

Abstract

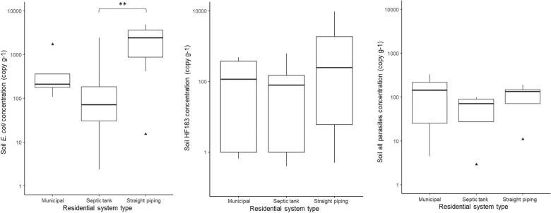
Lowndes County is a predominantly Black rural county in Alabama, in the United States, which has a historical and current legacy of racial discrimination, creating inequitable infrastructure access and adverse health impacts. Over 80% rely on on-site sanitation infrastructure and most are failing. A community assessment of exposure to untreated sewage was conducted using samples from residential drinking water, surface swabs, and soil combined with environmental water and soil samples using culture-based and quantitative polymerase chain reaction (qPCR) methods. Testing varied slightly across samples, due to difficulty of access or availability. Of 43 households, 68% and 55% of houses had detectable presence of human fecal matter indicator in their soils and on their doorsteps, respectively, and 0% had detectable amounts of culturable Escherichia coli in their drinking water. Of 40 houses sampled, 88% tested positive for E. coli in soil samples. Of 39 residences, 31% had positive presence of environmental and zoonotic parasites in soil, but none for Necator americanus, Cryptosporidium species, or Giardia intestinalis. Of the 18 sampled environmental surface waters, 100% tested positive for culturable E. coli, 50% had detectable human fecal matter indicator present, and 27% tested positive for anthropogenic parasites. This work sheds light that there is presence of culturable E. coli, human fecal matter, and anthropogenic parasites in residential soil samples of all sanitation types (municipal, septic tank, and straight piping) and in environmental surface waters throughout the sampled areas. Our findings support the narrative that sanitation infrastructure of all types in Lowndes County, Alabama are compromised and highlights residential and environmental exposure to raw wastewater.

Abstract Image

Abstract Image

Abstract Image

卫生系统类型对居住和环境中人类废物和寄生虫存在的影响。
朗兹县是美国阿拉巴马州一个以黑人为主的农村县,历史上和现在都有种族歧视的遗留问题,造成了不公平的基础设施获取和不利的健康影响。超过80%的人依赖于现场的卫生基础设施,但大多数都已经失效。采用基于培养和定量聚合酶链反应(qPCR)的方法,从居民饮用水、表面拭子和土壤中提取样本,并结合环境水和土壤样本,对未经处理的污水暴露进行了社区评估。由于难以获取或可用性,不同样本的测试略有不同。在43个家庭中,68%和55%的家庭分别在其土壤和门口台阶上检测到人类粪便指标,0%的家庭在其饮用水中检测到可培养大肠杆菌。在抽样的40所房屋中,88%的土壤样本中大肠杆菌呈阳性。在39个家庭中,31%的家庭土壤中存在环境寄生虫和人畜共患寄生虫,但没有美洲Necator、隐孢子虫和肠贾第虫。在18个采样的环境地表水中,100%的可培养大肠杆菌检测呈阳性,50%存在可检测到的人类粪便指标,27%的人为寄生虫检测呈阳性。这项工作揭示了在所有卫生类型(市政、化粪池和直管)的居住土壤样本和整个采样地区的环境地表水中存在可培养的大肠杆菌、人类粪便和人为寄生虫。我们的研究结果支持了这样一种说法,即阿拉巴马州朗兹县所有类型的卫生基础设施都受到了损害,并突出了居民和环境对原始废水的暴露。
本文章由计算机程序翻译,如有差异,请以英文原文为准。
求助全文
约1分钟内获得全文 求助全文
来源期刊
Infectious Diseases of Poverty
Infectious Diseases of Poverty INFECTIOUS DISEASES-
自引率
1.20%
发文量
368
期刊介绍: Infectious Diseases of Poverty is an open access, peer-reviewed journal that focuses on addressing essential public health questions related to infectious diseases of poverty. The journal covers a wide range of topics including the biology of pathogens and vectors, diagnosis and detection, treatment and case management, epidemiology and modeling, zoonotic hosts and animal reservoirs, control strategies and implementation, new technologies and application. It also considers the transdisciplinary or multisectoral effects on health systems, ecohealth, environmental management, and innovative technology. The journal aims to identify and assess research and information gaps that hinder progress towards new interventions for public health problems in the developing world. Additionally, it provides a platform for discussing these issues to advance research and evidence building for improved public health interventions in poor settings.
×
引用
GB/T 7714-2015
复制
MLA
复制
APA
复制
导出至
BibTeX EndNote RefMan NoteFirst NoteExpress
×
提示
您的信息不完整,为了账户安全,请先补充。
现在去补充
×
提示
您因"违规操作"
具体请查看互助需知
我知道了
×
提示
确定
请完成安全验证×
copy
已复制链接
快去分享给好友吧!
我知道了
右上角分享
点击右上角分享
0
联系我们:info@booksci.cn Book学术提供免费学术资源搜索服务,方便国内外学者检索中英文文献。致力于提供最便捷和优质的服务体验。 Copyright © 2023 布克学术 All rights reserved.
京ICP备2023020795号-1
ghs 京公网安备 11010802042870号
Book学术文献互助
Book学术文献互助群
群 号:604180095
Book学术官方微信