Association of circulating Notch1 and VEGF with flow-mediated dilation and aerobic fitness in healthy adults.

Translational exercise biomedicine Pub Date : 2025-05-28 eCollection Date: 2025-07-01 DOI:10.1515/teb-2025-0006
Brooke R Shepley, Nick J Lester, Lana H Yacoub, Anthony R Bain
{"title":"Association of circulating Notch1 and VEGF with flow-mediated dilation and aerobic fitness in healthy adults.","authors":"Brooke R Shepley, Nick J Lester, Lana H Yacoub, Anthony R Bain","doi":"10.1515/teb-2025-0006","DOIUrl":null,"url":null,"abstract":"<p><p>Notch1 is a mechanosensitive endothelial receptor that responds to vascular wall shear stress. However, data on Notch1 activity in humans remains limited, particularly regarding its role in endothelial function.</p><p><strong>Objectives: </strong>Accordingly, the purpose of this study was to determine whether Notch1 is associated with the flow-mediated dilatory (FMD) response and whether it is related to aerobic fitness. A secondary purpose was to determine whether Notch1 is related to concentrations of vascular endothelial growth factor (VEGF).</p><p><strong>Methods: </strong>Sixteen (8M/8F) young (20-30 yrs old) and healthy (BMI: 25 ± 4.2 kg/m<sup>2</sup>, blood pressure: 117 ± 11.63/69 ± 11.25 mmHg) adults participated in the study. Aerobic fitness was determined by cycle V̇O<sub>2</sub> peak. An FMD was performed on the brachial artery, and blood samples were taken from an antecubital vein at rest (baseline) and 1 min after cuff deflation (to align with peak vessel dilation). Concentrations of Notch1 extracellular domain (NECD) and VEGF were determined from plasma using enzyme-linked immunosorbent assays.</p><p><strong>Results: </strong>In contrast to our hypothesis, concentrations of NECD and VEGF did not change throughout the FMD and were unrelated to allometrically scaled FMD values (p all>0.05). Likewise, there was no relationship between changes in NECD and VEGF (p=0.331, r=0.127). However, the change in NECD across the FMD was moderately (r=0.515) and significantly (p=0.024) correlated with V̇O<sub>2</sub> peak.</p><p><strong>Conclusions: </strong>These novel data indicate that in healthy young adults, Notch1 activity is linked to aerobic fitness but may not be acutely involved in the shear-mediated vasodilatory response.</p>","PeriodicalId":519893,"journal":{"name":"Translational exercise biomedicine","volume":"2 2","pages":"74-82"},"PeriodicalIF":0.0000,"publicationDate":"2025-05-28","publicationTypes":"Journal Article","fieldsOfStudy":null,"isOpenAccess":false,"openAccessPdf":"https://www.ncbi.nlm.nih.gov/pmc/articles/PMC12239093/pdf/","citationCount":"0","resultStr":null,"platform":"Semanticscholar","paperid":null,"PeriodicalName":"Translational exercise biomedicine","FirstCategoryId":"1085","ListUrlMain":"https://doi.org/10.1515/teb-2025-0006","RegionNum":0,"RegionCategory":null,"ArticlePicture":[],"TitleCN":null,"AbstractTextCN":null,"PMCID":null,"EPubDate":"2025/7/1 0:00:00","PubModel":"eCollection","JCR":"","JCRName":"","Score":null,"Total":0}
引用次数: 0

Abstract

Notch1 is a mechanosensitive endothelial receptor that responds to vascular wall shear stress. However, data on Notch1 activity in humans remains limited, particularly regarding its role in endothelial function.

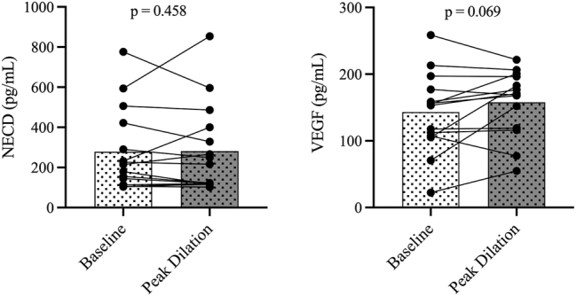
Objectives: Accordingly, the purpose of this study was to determine whether Notch1 is associated with the flow-mediated dilatory (FMD) response and whether it is related to aerobic fitness. A secondary purpose was to determine whether Notch1 is related to concentrations of vascular endothelial growth factor (VEGF).

Methods: Sixteen (8M/8F) young (20-30 yrs old) and healthy (BMI: 25 ± 4.2 kg/m2, blood pressure: 117 ± 11.63/69 ± 11.25 mmHg) adults participated in the study. Aerobic fitness was determined by cycle V̇O2 peak. An FMD was performed on the brachial artery, and blood samples were taken from an antecubital vein at rest (baseline) and 1 min after cuff deflation (to align with peak vessel dilation). Concentrations of Notch1 extracellular domain (NECD) and VEGF were determined from plasma using enzyme-linked immunosorbent assays.

Results: In contrast to our hypothesis, concentrations of NECD and VEGF did not change throughout the FMD and were unrelated to allometrically scaled FMD values (p all>0.05). Likewise, there was no relationship between changes in NECD and VEGF (p=0.331, r=0.127). However, the change in NECD across the FMD was moderately (r=0.515) and significantly (p=0.024) correlated with V̇O2 peak.

Conclusions: These novel data indicate that in healthy young adults, Notch1 activity is linked to aerobic fitness but may not be acutely involved in the shear-mediated vasodilatory response.

Abstract Image

Abstract Image

Abstract Image

健康成人循环Notch1和VEGF与血流介导的扩张和有氧适应度的关系
Notch1是一种对血管壁剪切应力有反应的机械敏感内皮受体。然而,人类Notch1活性的数据仍然有限,特别是关于其在内皮功能中的作用。目的:因此,本研究的目的是确定Notch1是否与血流介导的扩张性(FMD)反应相关,以及Notch1是否与有氧适能有关。次要目的是确定Notch1是否与血管内皮生长因子(VEGF)浓度相关。方法:16名(8M/8F)年龄在20-30岁,身体健康(BMI: 25±4.2 kg/m2,血压:117±11.63/69±11.25 mmHg)的成年人参与研究。用周期V (O2)峰值测定有氧适能。对肱动脉进行FMD,静息时(基线)和袖带放气后1 min(与血管扩张峰值一致)从肘前静脉采集血样。采用酶联免疫吸附法测定血浆中Notch1细胞外结构域(NECD)和VEGF的浓度。结果:与我们的假设相反,NECD和VEGF的浓度在整个FMD过程中没有变化,并且与异速缩放FMD值无关(p均为0.05)。同样,NECD与VEGF的变化也无相关性(p=0.331, r=0.127)。然而,在整个FMD中,NECD的变化与V (O2)峰值呈中度(r=0.515)和显著(p=0.024)相关。结论:这些新数据表明,在健康的年轻人中,Notch1活性与有氧适应性有关,但可能不直接参与剪切介导的血管舒张反应。
本文章由计算机程序翻译,如有差异,请以英文原文为准。
求助全文
约1分钟内获得全文 求助全文
来源期刊
自引率
0.00%
发文量
0
×
引用
GB/T 7714-2015
复制
MLA
复制
APA
复制
导出至
BibTeX EndNote RefMan NoteFirst NoteExpress
×
提示
您的信息不完整,为了账户安全,请先补充。
现在去补充
×
提示
您因"违规操作"
具体请查看互助需知
我知道了
×
提示
确定
请完成安全验证×
copy
已复制链接
快去分享给好友吧!
我知道了
右上角分享
点击右上角分享
0
联系我们:info@booksci.cn Book学术提供免费学术资源搜索服务,方便国内外学者检索中英文文献。致力于提供最便捷和优质的服务体验。 Copyright © 2023 布克学术 All rights reserved.
京ICP备2023020795号-1
ghs 京公网安备 11010802042870号
Book学术文献互助
Book学术文献互助群
群 号:604180095
Book学术官方微信