Nocturnal hypoxemia is associated with poor pulmonary hemodynamics in patients with chronic thromboembolic pulmonary disease.

IF 5.8 2区 医学 Q1 Medicine
Teng Han, Qiang Huang, Zhenguo Zhai, Xiaolei Zhang
{"title":"Nocturnal hypoxemia is associated with poor pulmonary hemodynamics in patients with chronic thromboembolic pulmonary disease.","authors":"Teng Han, Qiang Huang, Zhenguo Zhai, Xiaolei Zhang","doi":"10.1186/s12931-025-03318-2","DOIUrl":null,"url":null,"abstract":"<p><strong>Background: </strong>Although a general association between nocturnal hypoxemia or sleep-disordered breathing (SDB) and pulmonary arterial hypertension has been established, little is known about the unique pathophysiologic contributions of SDB and nocturnal hypoxemia to chronic thromboembolic pulmonary disease (CTEPD). We therefore chose to examine the associations of SDB and nocturnal hypoxemia with hemodynamic indices obtained via right heart catheterization (RHC) in hospitalized patients with CTEPD. We hypothesized that the severity of CTEPD would be associated with SDB and nocturnal hypoxemia severity.</p><p><strong>Methods: </strong>Patients with CTEPD with or without pulmonary hypertension (PH) who had undergone polysomnography (PSG) between July 2022 and March 2024 were enrolled. A nocturnal mean oxygen saturation by pulse oximetry (MeanSpO<sub>2</sub>) < 90% was defined as nocturnal hypoxemia, and a percentage of total sleep time with oxygen saturation < 90% (T90) exceeding 20% indicated severe nocturnal hypoxemia. The relationships between right heart catheterization measurements and T90 or MeanSpO<sub>2</sub> were calculated using multiple linear regression and logistic regression analyses.</p><p><strong>Results: </strong>The prevalence of severe nocturnal hypoxemia in the entire cohort was 42.86%, and SDB (AHI ≥ 15/h) affected 55.84% of patients and was predominantly manifested as hypopnea. Nocturnal hypoxemia remained significantly associated with mean pulmonary artery pressure (mPAP) (T90: β = 0.296, P = 0.019; MeanSpO<sub>2</sub>: β= -0.333, P = 0.009) and pulmonary vascular resistance (PVR) (T90: β = 0.294, P = 0.021; MeanSpO<sub>2</sub>: β=-0.310, P = 0.015) after adjusting for age, sex, body mass index, apnea hypopnea index and diurnal arterial partial pressure of oxygen. Receiver operating characteristic (ROC) curves for the detection of a mPAP ≥ 25 mmHg, PVR > 3 WU and WHO FC III-IV indicated that nocturnal hypoxemia parameters had moderate predictive value. (T90: AUC<sub>mPAP</sub>=0.698, AUC<sub>PVR</sub>=0.733, AUC<sub>WHO-FC</sub>=0.729, respectively; MeanSpO<sub>2</sub>: AUC<sub>mPAP</sub>=0.691, AUC<sub>PVR</sub>=0.731, AUC<sub>WHO-FC</sub>=0.707, respectively).</p><p><strong>Conclusions: </strong>SDB is highly prevalent in patients with CTEPD, which is predominantly manifested as hypopnea rather than apnea, and overweight is not a commonly reported characteristic. Independent of the severity of SDB, nocturnal hypoxemia is significantly correlated with hemodynamics in patients with CTEPD, which indicated the clinical necessity of promoting nocturnal oximetry monitoring among patients with CTEPD.</p>","PeriodicalId":49131,"journal":{"name":"Respiratory Research","volume":"26 1","pages":"239"},"PeriodicalIF":5.8000,"publicationDate":"2025-07-10","publicationTypes":"Journal Article","fieldsOfStudy":null,"isOpenAccess":false,"openAccessPdf":"https://www.ncbi.nlm.nih.gov/pmc/articles/PMC12243409/pdf/","citationCount":"0","resultStr":null,"platform":"Semanticscholar","paperid":null,"PeriodicalName":"Respiratory Research","FirstCategoryId":"3","ListUrlMain":"https://doi.org/10.1186/s12931-025-03318-2","RegionNum":2,"RegionCategory":"医学","ArticlePicture":[],"TitleCN":null,"AbstractTextCN":null,"PMCID":null,"EPubDate":"","PubModel":"","JCR":"Q1","JCRName":"Medicine","Score":null,"Total":0}
引用次数: 0

Abstract

Background: Although a general association between nocturnal hypoxemia or sleep-disordered breathing (SDB) and pulmonary arterial hypertension has been established, little is known about the unique pathophysiologic contributions of SDB and nocturnal hypoxemia to chronic thromboembolic pulmonary disease (CTEPD). We therefore chose to examine the associations of SDB and nocturnal hypoxemia with hemodynamic indices obtained via right heart catheterization (RHC) in hospitalized patients with CTEPD. We hypothesized that the severity of CTEPD would be associated with SDB and nocturnal hypoxemia severity.

Methods: Patients with CTEPD with or without pulmonary hypertension (PH) who had undergone polysomnography (PSG) between July 2022 and March 2024 were enrolled. A nocturnal mean oxygen saturation by pulse oximetry (MeanSpO2) < 90% was defined as nocturnal hypoxemia, and a percentage of total sleep time with oxygen saturation < 90% (T90) exceeding 20% indicated severe nocturnal hypoxemia. The relationships between right heart catheterization measurements and T90 or MeanSpO2 were calculated using multiple linear regression and logistic regression analyses.

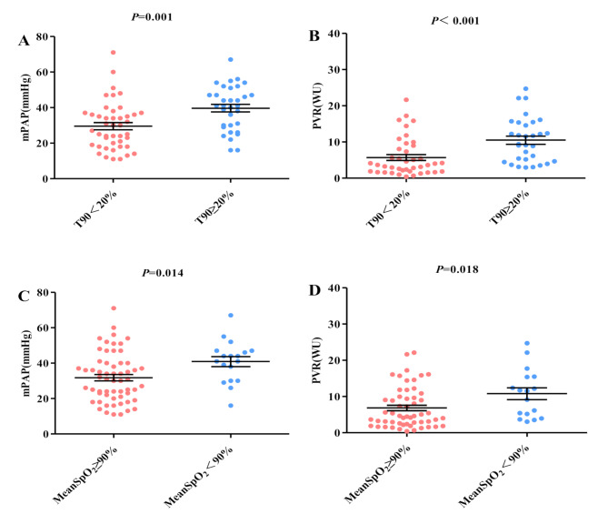
Results: The prevalence of severe nocturnal hypoxemia in the entire cohort was 42.86%, and SDB (AHI ≥ 15/h) affected 55.84% of patients and was predominantly manifested as hypopnea. Nocturnal hypoxemia remained significantly associated with mean pulmonary artery pressure (mPAP) (T90: β = 0.296, P = 0.019; MeanSpO2: β= -0.333, P = 0.009) and pulmonary vascular resistance (PVR) (T90: β = 0.294, P = 0.021; MeanSpO2: β=-0.310, P = 0.015) after adjusting for age, sex, body mass index, apnea hypopnea index and diurnal arterial partial pressure of oxygen. Receiver operating characteristic (ROC) curves for the detection of a mPAP ≥ 25 mmHg, PVR > 3 WU and WHO FC III-IV indicated that nocturnal hypoxemia parameters had moderate predictive value. (T90: AUCmPAP=0.698, AUCPVR=0.733, AUCWHO-FC=0.729, respectively; MeanSpO2: AUCmPAP=0.691, AUCPVR=0.731, AUCWHO-FC=0.707, respectively).

Conclusions: SDB is highly prevalent in patients with CTEPD, which is predominantly manifested as hypopnea rather than apnea, and overweight is not a commonly reported characteristic. Independent of the severity of SDB, nocturnal hypoxemia is significantly correlated with hemodynamics in patients with CTEPD, which indicated the clinical necessity of promoting nocturnal oximetry monitoring among patients with CTEPD.

Abstract Image

Abstract Image

Abstract Image

慢性血栓栓塞性肺病患者夜间低氧血症与肺血流动力学不良相关。
背景:虽然夜间低氧血症或睡眠呼吸障碍(SDB)与肺动脉高压之间的普遍关联已经建立,但SDB和夜间低氧血症对慢性血栓栓塞性肺病(CTEPD)的独特病理生理贡献知之甚少。因此,我们选择检查SDB和夜间低氧血症与住院CTEPD患者通过右心导管(RHC)获得的血流动力学指标的关系。我们假设CTEPD的严重程度与SDB和夜间低氧血症的严重程度有关。方法:纳入2022年7月至2024年3月期间接受多导睡眠描记(PSG)检查的伴有或不伴有肺动脉高压(PH)的CTEPD患者。采用多元线性回归和logistic回归分析计算夜间平均血氧饱和度(MeanSpO2) 2。结果:整个队列中重度夜间低氧血症发生率为42.86%,SDB (AHI≥15/h)发生率为55.84%,主要表现为低通气。夜间低氧血症仍与平均肺动脉压(mPAP)显著相关(T90: β = 0.296, P = 0.019;MeanSpO2: β= -0.333, P = 0.009)和肺血管阻力(PVR) (T90: β= 0.294, P = 0.021;在调整年龄、性别、体重指数、呼吸暂停低通气指数和每日动脉血氧分压后,MeanSpO2: β=-0.310, P = 0.015)。检测mPAP≥25 mmHg、PVR bbb3wu和WHO FC III-IV的受试者工作特征(ROC)曲线表明,夜间低氧血症参数具有中等预测价值。(T90: AUCmPAP=0.698, AUCPVR=0.733, AUCWHO-FC=0.729;MeanSpO2: AUCmPAP=0.691, AUCPVR=0.731, AUCWHO-FC=0.707)。结论:SDB在CTEPD患者中非常普遍,主要表现为低通气而非呼吸暂停,超重并不是常见的特征。与SDB的严重程度无关,CTEPD患者夜间低氧血症与血流动力学显著相关,提示在CTEPD患者中推广夜间血氧监测的临床必要性。
本文章由计算机程序翻译,如有差异,请以英文原文为准。
求助全文
约1分钟内获得全文 求助全文
来源期刊
Respiratory Research
Respiratory Research RESPIRATORY SYSTEM-
CiteScore
9.70
自引率
1.70%
发文量
314
审稿时长
4-8 weeks
期刊介绍: Respiratory Research publishes high-quality clinical and basic research, review and commentary articles on all aspects of respiratory medicine and related diseases. As the leading fully open access journal in the field, Respiratory Research provides an essential resource for pulmonologists, allergists, immunologists and other physicians, researchers, healthcare workers and medical students with worldwide dissemination of articles resulting in high visibility and generating international discussion. Topics of specific interest include asthma, chronic obstructive pulmonary disease, cystic fibrosis, genetics, infectious diseases, interstitial lung diseases, lung development, lung tumors, occupational and environmental factors, pulmonary circulation, pulmonary pharmacology and therapeutics, respiratory immunology, respiratory physiology, and sleep-related respiratory problems.
×
引用
GB/T 7714-2015
复制
MLA
复制
APA
复制
导出至
BibTeX EndNote RefMan NoteFirst NoteExpress
×
提示
您的信息不完整,为了账户安全,请先补充。
现在去补充
×
提示
您因"违规操作"
具体请查看互助需知
我知道了
×
提示
确定
请完成安全验证×
copy
已复制链接
快去分享给好友吧!
我知道了
右上角分享
点击右上角分享
0
联系我们:info@booksci.cn Book学术提供免费学术资源搜索服务,方便国内外学者检索中英文文献。致力于提供最便捷和优质的服务体验。 Copyright © 2023 布克学术 All rights reserved.
京ICP备2023020795号-1
ghs 京公网安备 11010802042870号
Book学术文献互助
Book学术文献互助群
群 号:604180095
Book学术官方微信