Considering What We Know and What We Don't Know: Expectations and Confidence Guide Value Integration in Value-Based Decision-Making.

Q1 Social Sciences
Open Mind Pub Date : 2025-06-25 eCollection Date: 2025-01-01 DOI:10.1162/opmi.a.3
Romy Frömer, Frederick Callaway, Thomas L Griffiths, Amitai Shenhav
{"title":"Considering What We Know and What We Don't Know: Expectations and Confidence Guide Value Integration in Value-Based Decision-Making.","authors":"Romy Frömer, Frederick Callaway, Thomas L Griffiths, Amitai Shenhav","doi":"10.1162/opmi.a.3","DOIUrl":null,"url":null,"abstract":"<p><p>When making decisions, we often have more information about some options than others. Previous work has shown that people are more likely to choose options that they look at more and those that they are more confident in. But should one always prefer options one knows more about? Intuition suggests not. Rather, how additional information impacts our preferences should depend critically on how valuable we expect the options to be. Here, we formalize this intuition in a Bayesian sequential sampling model where attention and confidence influence the precision of momentary evidence. Our model makes a key prediction: attention and confidence both increase choice probability for better-than-average options, and both decrease choice probability for worse-than-average options. We confirm this prediction in two experiments in which we independently manipulate value and attention. Our results offer a novel perspective on prior work on the role of attention and confidence in decision-making, showing that people rely on contextual knowledge and uncertainty estimates to adaptively learn about their options and make better decisions.</p>","PeriodicalId":32558,"journal":{"name":"Open Mind","volume":"9 ","pages":"791-813"},"PeriodicalIF":0.0000,"publicationDate":"2025-06-25","publicationTypes":"Journal Article","fieldsOfStudy":null,"isOpenAccess":false,"openAccessPdf":"https://www.ncbi.nlm.nih.gov/pmc/articles/PMC12240722/pdf/","citationCount":"0","resultStr":null,"platform":"Semanticscholar","paperid":null,"PeriodicalName":"Open Mind","FirstCategoryId":"1085","ListUrlMain":"https://doi.org/10.1162/opmi.a.3","RegionNum":0,"RegionCategory":null,"ArticlePicture":[],"TitleCN":null,"AbstractTextCN":null,"PMCID":null,"EPubDate":"2025/1/1 0:00:00","PubModel":"eCollection","JCR":"Q1","JCRName":"Social Sciences","Score":null,"Total":0}
引用次数: 0

Abstract

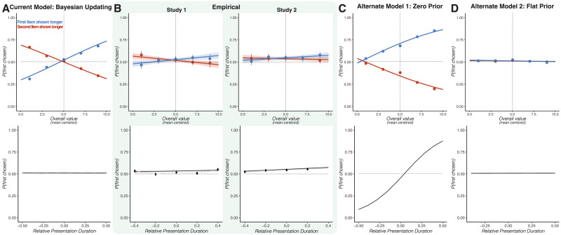
When making decisions, we often have more information about some options than others. Previous work has shown that people are more likely to choose options that they look at more and those that they are more confident in. But should one always prefer options one knows more about? Intuition suggests not. Rather, how additional information impacts our preferences should depend critically on how valuable we expect the options to be. Here, we formalize this intuition in a Bayesian sequential sampling model where attention and confidence influence the precision of momentary evidence. Our model makes a key prediction: attention and confidence both increase choice probability for better-than-average options, and both decrease choice probability for worse-than-average options. We confirm this prediction in two experiments in which we independently manipulate value and attention. Our results offer a novel perspective on prior work on the role of attention and confidence in decision-making, showing that people rely on contextual knowledge and uncertainty estimates to adaptively learn about their options and make better decisions.

Abstract Image

Abstract Image

Abstract Image

考虑我们知道什么和我们不知道什么:期望和信心引导价值决策中的价值整合。
在做决定的时候,我们通常会对某些选项有更多的了解。之前的研究表明,人们更有可能选择他们看得更多的选项和他们更有信心的选项。但是,一个人应该总是更喜欢自己更了解的选择吗?直觉告诉我们不是。相反,额外的信息如何影响我们的偏好,应该主要取决于我们对这些选择的预期价值。在这里,我们将这种直觉形式化在贝叶斯顺序抽样模型中,其中注意力和置信度影响瞬时证据的精度。我们的模型做出了一个关键的预测:注意力和信心都增加了高于平均水平的选择概率,并且都降低了低于平均水平的选择概率。我们在两个独立操纵价值和注意力的实验中证实了这一预测。我们的研究结果为先前关于注意力和信心在决策中的作用的研究提供了一个新的视角,表明人们依赖上下文知识和不确定性估计来自适应地了解他们的选择并做出更好的决策。
本文章由计算机程序翻译,如有差异,请以英文原文为准。
求助全文
约1分钟内获得全文 求助全文
来源期刊
Open Mind
Open Mind Social Sciences-Linguistics and Language
CiteScore
3.20
自引率
0.00%
发文量
15
审稿时长
53 weeks
×
引用
GB/T 7714-2015
复制
MLA
复制
APA
复制
导出至
BibTeX EndNote RefMan NoteFirst NoteExpress
×
提示
您的信息不完整,为了账户安全,请先补充。
现在去补充
×
提示
您因"违规操作"
具体请查看互助需知
我知道了
×
提示
确定
请完成安全验证×
copy
已复制链接
快去分享给好友吧!
我知道了
右上角分享
点击右上角分享
0
联系我们:info@booksci.cn Book学术提供免费学术资源搜索服务,方便国内外学者检索中英文文献。致力于提供最便捷和优质的服务体验。 Copyright © 2023 布克学术 All rights reserved.
京ICP备2023020795号-1
ghs 京公网安备 11010802042870号
Book学术文献互助
Book学术文献互助群
群 号:604180095
Book学术官方微信