Global, Regional, and National Burden of Pressure Ulcers From 1990 to 2021 and Projections Over the Next Decade: Results From the 2021 GBD Study.

IF 3.4 3区 医学 Q2 CELL BIOLOGY
Xiaodong Lan, Yong Tang, Zhenjia Huang, Tao Zhou, Chao Wang, Yan Ma, Dan Li, Zhiyong Huang, Yuesheng Huang
{"title":"Global, Regional, and National Burden of Pressure Ulcers From 1990 to 2021 and Projections Over the Next Decade: Results From the 2021 GBD Study.","authors":"Xiaodong Lan, Yong Tang, Zhenjia Huang, Tao Zhou, Chao Wang, Yan Ma, Dan Li, Zhiyong Huang, Yuesheng Huang","doi":"10.1111/wrr.70064","DOIUrl":null,"url":null,"abstract":"<p><p>Pressure ulcers (PUs) are chronic wounds that pose a significant burden on patients, families, and healthcare systems worldwide. This study evaluates the prevalence, trends, and burden of PUs to inform targeted public health policies. Using data from the Global Burden of Disease (GBD) Study 2021, we analysed PU incidence, mortality, and disability-adjusted life years (DALYs) across 204 countries from 1990 to 2021. Trends were assessed using the estimated annual percentage change (EAPC) in age-standardised rates (ASRs), and future projections were made using the ARIMA model. Globally, PU incident cases increased from 1,142,594.8 in 1990 to 2,468,317.5 in 2021. The ASIR showed a slight decrease, from 31.5 to 30.3 per 100,000. The mortality rose from 16,741.1 to 37,032.7, while the ASMR exhibited numerical stability (0.5 per 100,000). The DALYs increased from 408,887.0 in 1990 to 803,747.4 in 2021, with a decline in ASDR, from 10.7 to 9.7 per 100,000. Absolute numbers, ASRs, and EAPCs exhibit a pronounced correlation with the SDI. Moreover, there exist notable disparities across different regions or nations. The burden of PU was notably higher in elderly females, though the increase among the elderly males was also significant. Projections for 2022-2031 indicate a slight decrease in both ASIR and ASMR, while ASDR is expected to rise. While PU incidence remains high, disparities persist, especially in low-SDI regions. Strengthening prevention strategies and improving healthcare access are critical to reducing the global PU burden.</p>","PeriodicalId":23864,"journal":{"name":"Wound Repair and Regeneration","volume":"33 4","pages":"e70064"},"PeriodicalIF":3.4000,"publicationDate":"2025-07-01","publicationTypes":"Journal Article","fieldsOfStudy":null,"isOpenAccess":false,"openAccessPdf":"https://www.ncbi.nlm.nih.gov/pmc/articles/PMC12247018/pdf/","citationCount":"0","resultStr":null,"platform":"Semanticscholar","paperid":null,"PeriodicalName":"Wound Repair and Regeneration","FirstCategoryId":"3","ListUrlMain":"https://doi.org/10.1111/wrr.70064","RegionNum":3,"RegionCategory":"医学","ArticlePicture":[],"TitleCN":null,"AbstractTextCN":null,"PMCID":null,"EPubDate":"","PubModel":"","JCR":"Q2","JCRName":"CELL BIOLOGY","Score":null,"Total":0}
引用次数: 0

Abstract

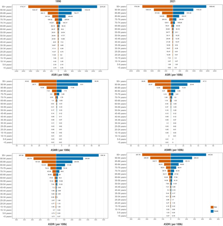
Pressure ulcers (PUs) are chronic wounds that pose a significant burden on patients, families, and healthcare systems worldwide. This study evaluates the prevalence, trends, and burden of PUs to inform targeted public health policies. Using data from the Global Burden of Disease (GBD) Study 2021, we analysed PU incidence, mortality, and disability-adjusted life years (DALYs) across 204 countries from 1990 to 2021. Trends were assessed using the estimated annual percentage change (EAPC) in age-standardised rates (ASRs), and future projections were made using the ARIMA model. Globally, PU incident cases increased from 1,142,594.8 in 1990 to 2,468,317.5 in 2021. The ASIR showed a slight decrease, from 31.5 to 30.3 per 100,000. The mortality rose from 16,741.1 to 37,032.7, while the ASMR exhibited numerical stability (0.5 per 100,000). The DALYs increased from 408,887.0 in 1990 to 803,747.4 in 2021, with a decline in ASDR, from 10.7 to 9.7 per 100,000. Absolute numbers, ASRs, and EAPCs exhibit a pronounced correlation with the SDI. Moreover, there exist notable disparities across different regions or nations. The burden of PU was notably higher in elderly females, though the increase among the elderly males was also significant. Projections for 2022-2031 indicate a slight decrease in both ASIR and ASMR, while ASDR is expected to rise. While PU incidence remains high, disparities persist, especially in low-SDI regions. Strengthening prevention strategies and improving healthcare access are critical to reducing the global PU burden.

Abstract Image

Abstract Image

Abstract Image

1990年至2021年全球、地区和国家压力性溃疡负担及未来十年预测:2021年GBD研究结果
压疮(PUs)是一种慢性伤口,对全世界的患者、家庭和医疗保健系统造成重大负担。本研究评估脓包的患病率、趋势和负担,为有针对性的公共卫生政策提供信息。使用来自2021年全球疾病负担(GBD)研究的数据,我们分析了1990年至2021年204个国家的PU发病率、死亡率和残疾调整生命年(DALYs)。使用年龄标准化率(asr)的估计年百分比变化(EAPC)评估趋势,并使用ARIMA模型进行未来预测。在全球范围内,PU事件从1990年的1142594.8例增加到2021年的2468317.5例。ASIR略有下降,从每10万人31.5人降至30.3人。死亡率从16,741.1上升到37,032.7,而ASMR表现出数值稳定性(0.5 / 100,000)。DALYs从1990年的408,887.0增加到2021年的803,747.4,ASDR从每10万人10.7下降到9.7。绝对数量、asr和EAPCs与SDI有明显的相关性。此外,不同地区或国家之间存在显著差异。老年女性的PU负担明显增加,而老年男性的PU负担也显著增加。对2022-2031年的预测表明,ASIR和ASMR均略有下降,而ASDR预计将上升。虽然PU发病率仍然很高,但差距仍然存在,特别是在低sdi地区。加强预防战略和改善卫生保健可及性对于减轻全球PU负担至关重要。
本文章由计算机程序翻译,如有差异,请以英文原文为准。
求助全文
约1分钟内获得全文 求助全文
来源期刊
Wound Repair and Regeneration
Wound Repair and Regeneration 医学-皮肤病学
CiteScore
5.90
自引率
3.40%
发文量
71
审稿时长
6-12 weeks
期刊介绍: Wound Repair and Regeneration provides extensive international coverage of cellular and molecular biology, connective tissue, and biological mediator studies in the field of tissue repair and regeneration and serves a diverse audience of surgeons, plastic surgeons, dermatologists, biochemists, cell biologists, and others. Wound Repair and Regeneration is the official journal of The Wound Healing Society, The European Tissue Repair Society, The Japanese Society for Wound Healing, and The Australian Wound Management Association.
×
引用
GB/T 7714-2015
复制
MLA
复制
APA
复制
导出至
BibTeX EndNote RefMan NoteFirst NoteExpress
×
提示
您的信息不完整,为了账户安全,请先补充。
现在去补充
×
提示
您因"违规操作"
具体请查看互助需知
我知道了
×
提示
确定
请完成安全验证×
copy
已复制链接
快去分享给好友吧!
我知道了
右上角分享
点击右上角分享
0
联系我们:info@booksci.cn Book学术提供免费学术资源搜索服务,方便国内外学者检索中英文文献。致力于提供最便捷和优质的服务体验。 Copyright © 2023 布克学术 All rights reserved.
京ICP备2023020795号-1
ghs 京公网安备 11010802042870号
Book学术文献互助
Book学术文献互助群
群 号:604180095
Book学术官方微信