Biosynthesis of conjugated linoleic acid: current status and future perspectives.

IF 5.1 3区 生物学 Q1 BIOTECHNOLOGY & APPLIED MICROBIOLOGY
Lu Lin, Mei-Li Sun, Kaifeng Wang, Jian Gao, Xiao-Jun Ji, Quanyu Zhao
{"title":"Biosynthesis of conjugated linoleic acid: current status and future perspectives.","authors":"Lu Lin, Mei-Li Sun, Kaifeng Wang, Jian Gao, Xiao-Jun Ji, Quanyu Zhao","doi":"10.1186/s40643-025-00911-7","DOIUrl":null,"url":null,"abstract":"<p><p>Conjugated linoleic acid (CLA) has received much attention for its beneficial physiological effects, particularly anticancer and metabolic control activity. However, traditional sources rely on extraction and chemical synthesis, both of which are not commercially viable. This article describes the research progress on sustainable alternative biosynthesis methods for the production of CLA, which is an attractive approach for commercial production because of its high stereoselectivity and convenient purification process. Here, we offer a comprehensive review of the current state and research progress in the biosynthesis of CLA, including production strains, biosynthesis mechanisms and improvements in the biosynthesis of CLA by genetic engineering. Finally, future research directions for improving the biosynthesis of CLA are defined in the light of recent advances, barriers and trends in this field.</p>","PeriodicalId":9067,"journal":{"name":"Bioresources and Bioprocessing","volume":"12 1","pages":"72"},"PeriodicalIF":5.1000,"publicationDate":"2025-07-11","publicationTypes":"Journal Article","fieldsOfStudy":null,"isOpenAccess":false,"openAccessPdf":"https://www.ncbi.nlm.nih.gov/pmc/articles/PMC12254105/pdf/","citationCount":"0","resultStr":null,"platform":"Semanticscholar","paperid":null,"PeriodicalName":"Bioresources and Bioprocessing","FirstCategoryId":"5","ListUrlMain":"https://doi.org/10.1186/s40643-025-00911-7","RegionNum":3,"RegionCategory":"生物学","ArticlePicture":[],"TitleCN":null,"AbstractTextCN":null,"PMCID":null,"EPubDate":"","PubModel":"","JCR":"Q1","JCRName":"BIOTECHNOLOGY & APPLIED MICROBIOLOGY","Score":null,"Total":0}
引用次数: 0

Abstract

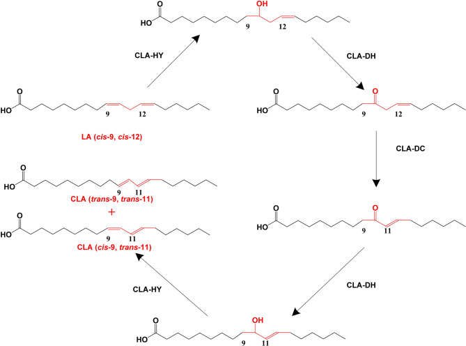
Conjugated linoleic acid (CLA) has received much attention for its beneficial physiological effects, particularly anticancer and metabolic control activity. However, traditional sources rely on extraction and chemical synthesis, both of which are not commercially viable. This article describes the research progress on sustainable alternative biosynthesis methods for the production of CLA, which is an attractive approach for commercial production because of its high stereoselectivity and convenient purification process. Here, we offer a comprehensive review of the current state and research progress in the biosynthesis of CLA, including production strains, biosynthesis mechanisms and improvements in the biosynthesis of CLA by genetic engineering. Finally, future research directions for improving the biosynthesis of CLA are defined in the light of recent advances, barriers and trends in this field.

Abstract Image

Abstract Image

Abstract Image

共轭亚油酸的生物合成:现状与展望。
共轭亚油酸(CLA)因其良好的生理作用,特别是抗癌和代谢控制作用而受到广泛关注。然而,传统的来源依赖于提取和化学合成,这两种方法在商业上都不可行。本文介绍了可持续替代生物合成法生产共轭亚酸的研究进展,共轭亚酸具有立体选择性高、纯化工艺方便等优点,是一种有吸引力的商业化生产途径。本文综述了CLA生物合成的现状和研究进展,包括生产菌株、生物合成机制和基因工程技术在CLA生物合成方面的研究进展。最后,针对CLA生物合成的最新进展、存在的障碍和发展趋势,提出了今后改进CLA生物合成的研究方向。
本文章由计算机程序翻译,如有差异,请以英文原文为准。
求助全文
约1分钟内获得全文 求助全文
来源期刊
Bioresources and Bioprocessing
Bioresources and Bioprocessing BIOTECHNOLOGY & APPLIED MICROBIOLOGY-
CiteScore
7.20
自引率
8.70%
发文量
118
审稿时长
13 weeks
期刊介绍: Bioresources and Bioprocessing (BIOB) is a peer-reviewed open access journal published under the brand SpringerOpen. BIOB aims at providing an international academic platform for exchanging views on and promoting research to support bioresource development, processing and utilization in a sustainable manner. As an application-oriented research journal, BIOB covers not only the application and management of bioresource technology but also the design and development of bioprocesses that will lead to new and sustainable production processes. BIOB publishes original and review articles on most topics relating to bioresource and bioprocess engineering, including: -Biochemical and microbiological engineering -Biocatalysis and biotransformation -Biosynthesis and metabolic engineering -Bioprocess and biosystems engineering -Bioenergy and biorefinery -Cell culture and biomedical engineering -Food, agricultural and marine biotechnology -Bioseparation and biopurification engineering -Bioremediation and environmental biotechnology
×
引用
GB/T 7714-2015
复制
MLA
复制
APA
复制
导出至
BibTeX EndNote RefMan NoteFirst NoteExpress
×
提示
您的信息不完整,为了账户安全,请先补充。
现在去补充
×
提示
您因"违规操作"
具体请查看互助需知
我知道了
×
提示
确定
请完成安全验证×
copy
已复制链接
快去分享给好友吧!
我知道了
右上角分享
点击右上角分享
0
联系我们:info@booksci.cn Book学术提供免费学术资源搜索服务,方便国内外学者检索中英文文献。致力于提供最便捷和优质的服务体验。 Copyright © 2023 布克学术 All rights reserved.
京ICP备2023020795号-1
ghs 京公网安备 11010802042870号
Book学术文献互助
Book学术文献互助群
群 号:604180095
Book学术官方微信