Early-life undernutrition increases the risk of death from chronic diseases in adulthood: a population-based cohort study.

IF 4.6 2区 医学 Q1 PUBLIC, ENVIRONMENTAL & OCCUPATIONAL HEALTH
Mengqiu Wu, Hongrui Tian, Chuanhai Guo, Zhen Liu, Yaqi Pan, Fangfang Liu, Ying Liu, Wenlei Yang, Huanyu Chen, Zhe Hu, Mengfei Liu, Zhonghu He, Yang Ke
{"title":"Early-life undernutrition increases the risk of death from chronic diseases in adulthood: a population-based cohort study.","authors":"Mengqiu Wu, Hongrui Tian, Chuanhai Guo, Zhen Liu, Yaqi Pan, Fangfang Liu, Ying Liu, Wenlei Yang, Huanyu Chen, Zhe Hu, Mengfei Liu, Zhonghu He, Yang Ke","doi":"10.1186/s41256-025-00422-0","DOIUrl":null,"url":null,"abstract":"<p><strong>Background: </strong>Early-life undernutrition, particularly during critical developmental periods, may have lasting impacts on non-communicable diseases (NCDs) in adulthood. The Chinese Great Famine (1959-1961) provides a unique opportunity to evaluate these effects in a large-scale population study. To investigate the impact of early-life undernutrition on adult mortality due to NCDs in individuals exposed to the Chinese Great Famine.</p><p><strong>Methods: </strong>We analyzed data from a medical insurance database in Hua County, China, including 15,088 individuals born during the famine (1959-1961) and 49,924 individuals deemed unexposed because they were born after the famine (1962-1964), with follow-up from 2012 to 2023. Multivariable Cox regression and competing risks regression were used to assess the association between early-life undernutrition and mortality.</p><p><strong>Results: </strong>Early-life undernutrition was associated with increased risks of all-cause mortality (HR<sub>adjusted</sub> = 1.49, 95% CI 1.37-1.62), cancer mortality (HR<sub>adjusted</sub> = 1.41, 95% CI 1.22-1.64), cardiovascular and cerebrovascular diseases mortality (HR<sub>adjusted</sub> = 1.51, 95% CI 1.34-1.71), and chronic obstructive pulmonary disease mortality (HR<sub>adjusted</sub> = 4.37, 95% CI 2.51-7.61). Subgroup analysis revealed that the exposed group had a higher risk of death from lung, esophageal, gastric, hepato-biliary, and pancreatic cancers, cerebrovascular disease and cardiovascular disease.</p><p><strong>Conclusions: </strong>This study demonstrates the long-term adverse effects of early-life undernutrition on NCD mortality in adulthood, underscoring the importance of nutritional interventions during critical developmental periods to reduce the burden of NCDs.</p><p><strong>Clinical trial registration: </strong>Endoscopic Screening for Esophageal Cancer in China (ESECC) randomized controlled trial (Clinical trial: NCT01688908).</p>","PeriodicalId":52405,"journal":{"name":"Global Health Research and Policy","volume":"10 1","pages":"28"},"PeriodicalIF":4.6000,"publicationDate":"2025-07-10","publicationTypes":"Journal Article","fieldsOfStudy":null,"isOpenAccess":false,"openAccessPdf":"https://www.ncbi.nlm.nih.gov/pmc/articles/PMC12243173/pdf/","citationCount":"0","resultStr":null,"platform":"Semanticscholar","paperid":null,"PeriodicalName":"Global Health Research and Policy","FirstCategoryId":"3","ListUrlMain":"https://doi.org/10.1186/s41256-025-00422-0","RegionNum":2,"RegionCategory":"医学","ArticlePicture":[],"TitleCN":null,"AbstractTextCN":null,"PMCID":null,"EPubDate":"","PubModel":"","JCR":"Q1","JCRName":"PUBLIC, ENVIRONMENTAL & OCCUPATIONAL HEALTH","Score":null,"Total":0}
引用次数: 0

Abstract

Background: Early-life undernutrition, particularly during critical developmental periods, may have lasting impacts on non-communicable diseases (NCDs) in adulthood. The Chinese Great Famine (1959-1961) provides a unique opportunity to evaluate these effects in a large-scale population study. To investigate the impact of early-life undernutrition on adult mortality due to NCDs in individuals exposed to the Chinese Great Famine.

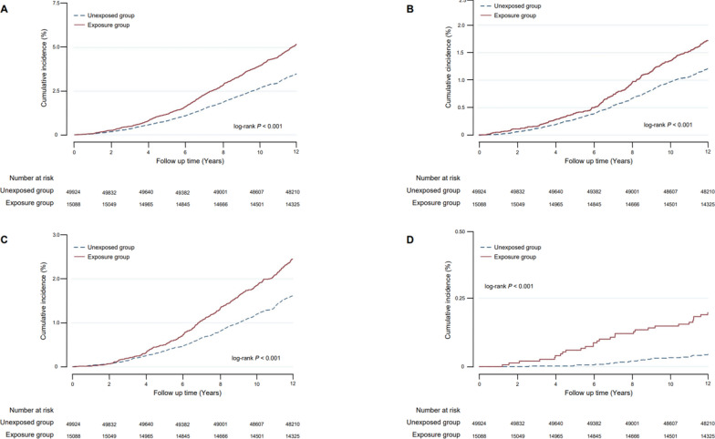
Methods: We analyzed data from a medical insurance database in Hua County, China, including 15,088 individuals born during the famine (1959-1961) and 49,924 individuals deemed unexposed because they were born after the famine (1962-1964), with follow-up from 2012 to 2023. Multivariable Cox regression and competing risks regression were used to assess the association between early-life undernutrition and mortality.

Results: Early-life undernutrition was associated with increased risks of all-cause mortality (HRadjusted = 1.49, 95% CI 1.37-1.62), cancer mortality (HRadjusted = 1.41, 95% CI 1.22-1.64), cardiovascular and cerebrovascular diseases mortality (HRadjusted = 1.51, 95% CI 1.34-1.71), and chronic obstructive pulmonary disease mortality (HRadjusted = 4.37, 95% CI 2.51-7.61). Subgroup analysis revealed that the exposed group had a higher risk of death from lung, esophageal, gastric, hepato-biliary, and pancreatic cancers, cerebrovascular disease and cardiovascular disease.

Conclusions: This study demonstrates the long-term adverse effects of early-life undernutrition on NCD mortality in adulthood, underscoring the importance of nutritional interventions during critical developmental periods to reduce the burden of NCDs.

Clinical trial registration: Endoscopic Screening for Esophageal Cancer in China (ESECC) randomized controlled trial (Clinical trial: NCT01688908).

Abstract Image

Abstract Image

Abstract Image

早期营养不良会增加成年后死于慢性病的风险:一项基于人群的队列研究
背景:生命早期营养不良,特别是在关键发育时期,可能对成年后的非传染性疾病(NCDs)产生持久影响。中国大饥荒(1959-1961)提供了一个独特的机会,在大规模的人口研究中评估这些影响。研究中国大饥荒中早期营养不良对非传染性疾病导致的成人死亡率的影响。方法:我们分析了中国华县医疗保险数据库的数据,其中包括15088名在饥荒期间(1959-1961)出生的人,以及49924名因饥荒后出生(1962-1964)而被认为未暴露的人,并从2012年到2023年进行了随访。使用多变量Cox回归和竞争风险回归来评估生命早期营养不良与死亡率之间的关系。结果:生命早期营养不良与全因死亡率(hr调整= 1.49,95% CI 1.37-1.62)、癌症死亡率(hr调整= 1.41,95% CI 1.22-1.64)、心脑血管疾病死亡率(hr调整= 1.51,95% CI 1.34-1.71)和慢性阻塞性肺疾病死亡率(hr调整= 4.37,95% CI 2.51-7.61)的风险增加相关。亚组分析显示,暴露组死于肺癌、食道癌、胃癌、肝胆癌、胰腺癌、脑血管疾病和心血管疾病的风险更高。结论:本研究证明了早期营养不良对成年期非传染性疾病死亡率的长期不利影响,强调了在关键发育时期进行营养干预以减轻非传染性疾病负担的重要性。临床试验注册:中国食管癌内镜筛查(ESECC)随机对照试验(临床试验号:NCT01688908)。
本文章由计算机程序翻译,如有差异,请以英文原文为准。
求助全文
约1分钟内获得全文 求助全文
来源期刊
Global Health Research and Policy
Global Health Research and Policy Social Sciences-Health (social science)
CiteScore
12.00
自引率
1.10%
发文量
43
审稿时长
5 weeks
期刊介绍: Global Health Research and Policy, an open-access, multidisciplinary journal, publishes research on various aspects of global health, addressing topics like health equity, health systems and policy, social determinants of health, disease burden, population health, and other urgent global health issues. It serves as a forum for high-quality research focused on regional and global health improvement, emphasizing solutions for health equity.
×
引用
GB/T 7714-2015
复制
MLA
复制
APA
复制
导出至
BibTeX EndNote RefMan NoteFirst NoteExpress
×
提示
您的信息不完整,为了账户安全,请先补充。
现在去补充
×
提示
您因"违规操作"
具体请查看互助需知
我知道了
×
提示
确定
请完成安全验证×
copy
已复制链接
快去分享给好友吧!
我知道了
右上角分享
点击右上角分享
0
联系我们:info@booksci.cn Book学术提供免费学术资源搜索服务,方便国内外学者检索中英文文献。致力于提供最便捷和优质的服务体验。 Copyright © 2023 布克学术 All rights reserved.
京ICP备2023020795号-1
ghs 京公网安备 11010802042870号
Book学术文献互助
Book学术文献互助群
群 号:604180095
Book学术官方微信